Stein损失函数下层次模型正参数的经验贝叶斯估计
目录 笔记 搜索
图

.

【点击观看 AI 速读解析视频,轻松读懂全书重点】

Preface

The book aims to develop empirical Bayes estimators for positive parameters in seven hierarchical models under Stein’s loss function, with theoretical derivations, simulations, and real data examples.
Chapter 1 is an introduction, including introductory texts on the empirical Bayes method, gamma and inverse gamma distributions, hierarchical models with positive restricted parameters, estimating the hyperparameters, Stein’s loss function, Bayes estimators and Posterior Expected Stein’s Losses (PESLs), theoretical comparisons of the Bayes estimators and the PESLs of three methods, simulation techniques, and R codes. Chapters 2–8 contain the main results of the research. Each chapter deals with a different hierarchical model, and calculates the empirical Bayes estimators of the positive parameter of the hierarchical model under Stein’s loss function. Chapter 9 is devoted to 16 common loss functions, namely, squared error loss function, weighted squared error loss function, Stein’s loss function, power-power loss function, power-log loss function, Zhang’s loss function, LINEX loss function, absolute error loss function, weighted absolute error loss function, power loss function, weighted power loss function, log-1 loss function, log-2 loss function, generalized log loss function, generalized Stein’s loss function, and generalized power-power loss function. Chapter 10 contains some summaries and discussions of the book. Appendix A contains some technical derivations of the results in chapters 2–8. Appendix B summarizes some basic results on common univariate distributions.
The contents of chapters 2–8 are summarized in table 1. From the table, we observe the following facts.
1. Each chapter contains a theoretical section, simulations section, and/or a real data section.
2. For the theoretical section, every chapter contains two subsections: Bayes estimators and PESLs, and empirical Bayes estimators of .
3. For the simulations section, every chapter contains four subsections: Two inequalities of Bayes estimators and PESLs, consistencies of moment estimators and Maximum Likelihood Estimators (MLEs), goodness-of-fit of the model, and marginal distributions for various hyperparameters.
4. If a chapter contains a subsection, then we place a . However, if a chapter does not contain a subsection, then we place a .
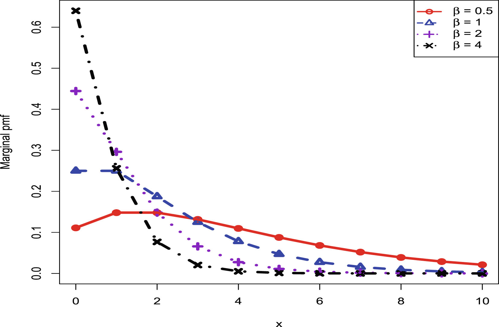
5. The marginal distributions of the first six hierarchical models (Inverse Gamma-Inverse Gamma (IG-IG), Gamma-Gamma (G-G), Exponential-Inverse Gamma (Exp-IG), Normal-Inverse Gamma (N-IG), Normal-Normal Inverse Gamma (N-NIG), and Uniform-Inverse Gamma (U-IG)) are continuous. Thus they can be used to model continuous data. The Kolmogorov-Smirnov (KS) test is used to perform the goodness-of-fit of the model to the data. The marginal distribution of the last hierarchical model (Poisson-Gamma (P-G)) is discrete, and thus it can be used to model discrete data. The chi-square test is utilized to perform the goodness-of-fit of the model to the data.
TAB. 1 — P: The contents of chapters 2–8.
Subsection IG-IG G-G Exp-IG N-IG N-NIG U-IG P-G
Theoretical section Bayes estimators and PESLs
Empirical Bayes estimators of
Theoretical comparisons of Bayes estimators and PESLs of three methods
Simulations section Two inequalities of Bayes estimators and PESLs
Consistencies of moment estimators and MLEs
Goodness-of-fit of the model
Numerical comparisons of Bayes estimators and PESLs of three methods
Marginal distributions for various hyperparameters
Real data section A real data example
In the Table of Contents, List of Figures, List of Tables, List of Abbreviations, and appendix A, there are some abbreviations. They are used to indicate relevant chapters. More specifically, IG-IG, G-G, Exp-IG, N-IG, N-NIG, U-IG, and P-G are used to indicate relevant chapters of hierarchical models. P is short for Preface. LoA is short for List of Abbreviations. I is short for Introduction. SCLF is short for Several Common Loss Functions.
This book is supported by the First Class Construction Fund for Statistics Discipline of Yunnan University and the High-level Talent Research Start-up Fund Project of Yunnan University.
Ying-Ying Zhang
October, 2025

图

Chapter 1 Introduction

图

1.1 Empirical Bayes Method

In this section, we will introduce some literature on the empirical Bayes method, statistical inference, and Bayesian books.
The empirical Bayes method relies on a conjugate prior modeling, where the hyperparameters are estimated from the observations, and the “estimated prior” is then used as a regular prior in the subsequent inference. See Carlin and Louis (2000a); Maritz and Lwin (1989); Berger (1985) and the references therein. The empirical Bayes method is introduced in Robbins (1955, 1964, 1983). From a Bayesian point of view, it means that the sampling distribution is known, but the prior distribution is not. The marginal distribution is then used to recover the prior distribution from the observations. More literature on empirical Bayes method can be found, for example, in Li et al. (2025); Shi et al. (2025); Zhang (2025); Sun et al. (2024); Zhang et al. (2024); Sun et al. (2021); Zhou et al. (2021); Mikulich-Gilbertson et al. (2019); Zhang et al. (2019a, 2019b); Martin et al. (2017); Satagopan et al. (2016); Ghosh et al. (2015); van Houwelingen (2014); Efron (2011); Coram and Tang (2007); Pensky (2002); Carlin and Louis (2000b); Maritz and Lwin (1992); Morris (1983); Deely and Lindley (1981).
Statistical inferences are covered by many classical textbooks, see for instance, Shi and Tao (2008); Lehmann and Romano (2005); Shao (2003); Casella and Berger (2002); Stuart et al. (1999); Lehmann and Casella (1998); Bickel and Doksum (1977); Ferguson (1967). Point estimation is an important class of statistical inference. The study of the performance and the optimality of point estimators is usually evaluated through the loss function. In Bayesian analysis, we usually compute the Bayes risk to assess the performance of an estimator with respect to a given loss function.
Bayesian approaches are continually developing, and some of the most important works are Huang (2021); Wei and Zhang (2021); Wu (2021); Jiang (2020); Wu (2020); Han (2017); Huang (2017a, 2017b); Liu and Xia (2016); Wei (2016); Han (2015); Wei (2015); Gelman et al. (2013); Lee (2011); Albert (2009); Robert and Casella (2009); Robert (2007); Robert and Casella (2005); Chen et al. (2000); Bernardo and Smith (1994); Box and Tiao (1992); Berger (1985); Novick and Jackson (1974); Savage (1972); Zellner (1971); DeGroot (1970); Good (1965); Lindley (1965).
图

1.2 The Gamma and Inverse Gamma Distributions

In this section, we will give the probability density functions (pdfs) of the gamma and inverse gamma distributions.
Suppose that and . More specifically, the pdfs of and are respectively given by
It is easy to calculate
and
Suppose that and . The pdfs of and are respectively given by
It is easy to calculate
and
For more results about the gamma and inverse gamma distributions, we refer readers to Zhang and Zhang (2022). Positive, continuous, and right-skewed data are fitted by a mixture of gamma and inverse gamma distributions. For 16 hierarchical models of gamma and inverse gamma distributions, there are only 8 of them that have conjugate priors. They first discuss some common typical problems for the 8 hierarchical models that do not have conjugate priors. Then they calculate Bayesian posterior densities and marginal densities of the 8 hierarchical models that have conjugate priors. After that, they discuss relations among the 8 analytical marginal densities. Furthermore, they find some relations among the random variables of the marginal densities and the beta densities. Moreover, they discuss random variable generations for the gamma and inverse gamma distributions by using the R software. In addition, some numerical simulations are performed to illustrate four aspects: the plots of marginal densities, the generations of random variables from the marginal density, the transformations of moment estimators of hyperparameters of a hierarchical model, and the conclusions about the properties of the 8 marginal densities that do not have a closed form. Finally, they have illustrated their method by a real data example, in which the original and transformed data are fitted by the marginal density with different hyperparameters.
图

1.3 Hierarchical Models with Positive Parameters

In this section, we will introduce 7 hierarchical models with positive parameters. The hierarchical models are in the following general form:
(1.1)
where are hyperparameters to be estimated, , , or in this book, is the unknown parameter of interest, is the distribution of with parameter , and is the prior distribution of with hyperparameters . It is useful to point out that some hyperparameters may exist in , and thus is more accurate. However, for simplicity, we will use . The hierarchical models that we will consider in this book are IG-IG (2.1), G-G (3.1), Exp-IG (4.1), N-IG (5.1), N-NIG (6.2), U-IG (7.1), and P-G (8.1).
图

1.4 Estimating the Hyperparameters

In this section, we will introduce how to estimate the hyperparameters of the hierarchical model (1.1).
In empirical Bayes analysis, the hyperparameters are unknown, and the marginal distribution is used to estimate the hyperparameters from the observations. There are two common methods to estimate the hyperparameters by exploiting the marginal distribution: the moment method and the Maximum Likelihood Estimation (MLE) method. In this book, we will use the two methods to estimate the hyperparameters of the hierarchical model (1.1).
The moment method to estimate the hyperparameters is performed by equating the population moments to the sample moments. In general, if there are hyperparameters, then we need to calculate the first origin moments of , . We can use the iterated expectation method to calculate , that is,
where . Assume that can be calculated. Then
and this expectation may be calculated by noting .
The MLE method to estimate the hyperparameters proceeds as follows. First, we calculate the likelihood function of :
(1.2)
where
is the marginal distribution of the hierarchical model (1.1), is the probability density function (pdf) or probability mass function (pmf) of , and is the prior pdf of . Second, we obtain the log-likelihood function of :
Third, taking partial derivatives with respect to and setting them to zeros, we obtain
Fourth, after some algebra, the above equations reduce to
(1.3)
(1.4)
(1.5)
In general, the analytical calculations of the Maximum Likelihood Estimators (MLEs) of by solving the equations (1.3), (1.4), ..., and (1.5) are impossible, and thus we have to resort to numerical solutions. Finally, we can exploit Newton’s method to solve the equations (1.3), (1.4), ..., and (1.5) and to numerically obtain the MLEs of . The iterative scheme of Newton’s method is
where is the Jacobian matrix of , and . Note that the MLEs of are very sensitive to the initial estimators, and the moment estimators are usually proved to be good initial estimators. The Jacobian matrix can be calculated as follows:
where
It is important to note that in calculating (1.2), we have implicitly used the property of independency of . And this independency property is guaranteed by
(1.6)
If (1.6) is true, then we have
that is,
(1.7)
Moreover, if (1.7) is true, then we have (1.6) is true. In other words, (1.6) and (1.7) are equivalent. In addition, (1.7) implies
(1.8)
It is also important to note that
(1.9)
can not guarantee (1.8), and vice versa.
图

1.5 Stein’s Loss Function

In this section, we will introduce Stein’s loss function and justify why Stein’s loss function is better than the squared error loss function on .
The (weighted) squared error loss function has been used by many authors for the problem of estimating the variance, , based on a random sample from a normal distribution with an unknown mean (see, for example, Maatta and Casella (1990); Stein (1964)). As pointed out by Casella and Berger (2002), the (weighted) squared error loss function penalizes equally for overestimation and underestimation, and it is fine for the unrestricted parameter space . In the positive parameter space where 0 is a natural lower bound, and the estimation problem is not symmetric, we should not select the (weighted) squared error loss function, but select a loss function which penalizes gross overestimation and gross underestimation equally, that is, an action will incur an infinite loss when it tends to 0 or ∞. Stein’s loss function has this property, and hence it is recommended to use for the positive parameter space by many authors (see for instance Li et al. (2025); Shi et al. (2025); Zhang (2025); Sun et al. (2024); Zhang et al. (2024); Sun et al. (2021); Bobotas and Kourouklis (2010); Zhang et al. (2019b); Xie et al. (2018); Zhang et al. (2018); Zhang (2017); Oono and Shinozaki (2006); Petropoulos and Kourouklis (2005); Parsian and Nematollahi (1996); Brown (1990, 1968); James and Stein (1961)).
Now, let us give the justifications of why Stein’s loss function is better than the squared error loss function on . Stein’s loss function is given by
(1.10)
while the squared error loss function is given by
(1.11)
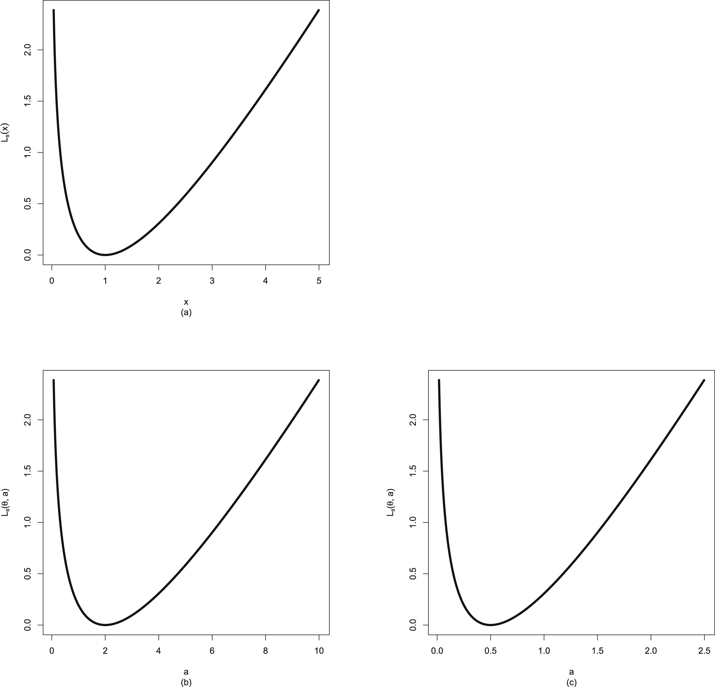
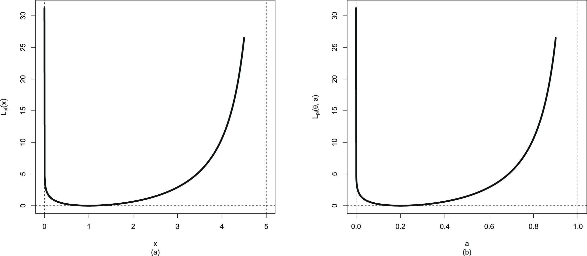
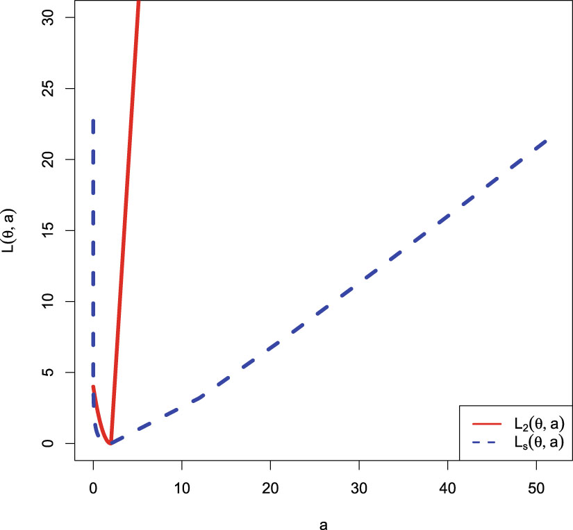
Note that on the positive parameter space , Stein’s loss function penalizes gross overestimation and gross underestimation equally, that is, an action will incur an infinite loss when it tends to 0 or ∞. However, the squared error loss function does not penalize gross overestimation and gross underestimation equally, as an action will incur a finite loss (in fact ) when it tends to 0 and incur an infinite loss when it tends to ∞. Figure 1.1 shows Stein’s loss function and the squared error loss function on when .
FIG. 1.1 — I: Stein’s loss function and the squared error loss function on when .
For more details of the squared error loss function, the weighted squared error loss function, and Stein’s loss function, we refer readers to relevant subsections in chapter 9.
图

1.6 The Bayes Estimators and the PESLs

In this section, we will calculate the Bayes estimator of under Stein’s loss function , the Bayes estimator of under the usual squared error loss function , and the Posterior Expected Stein’s Losses (PESLs) at and ( and ) for any hierarchical model such that the posterior expectations exist.
Similar to Zhang (2017), the two Bayes estimators and the two PESLs are respectively given by
(1.12)
(1.13)
(1.14)
(1.15)
To calculate the two Bayes estimators and the two PESLs, it remains to calculate
It has been shown in Zhang (2017) that
(1.16)
by exploiting Jensen’s inequality. Moreover,
(1.17)
which is a direct consequence of the general methodology for finding a Bayes estimator. According to construction, minimizes the Posterior Expected Stein’s Loss (PESL). In the simulations section and the real data section, we will exemplify the two inequalities (1.16) and (1.17).
图

1.7 Theoretical Comparisons of the Bayes Estimators and the PESLs of Three Methods

In this section, similar to Sun et al. (2021), we will theoretically compare the Bayes estimators and the PESLs of the three methods (the oracle method, the moment method, and the MLE method).
Note that the subscripts 0, 1, and 2 below are for the oracle method, the moment method, and the MLE method, respectively. Similar to the derivations in Sun et al. (2021); Zhang (2017), the PESL functions of the three methods are respectively given by
for .
Now we calculate the Bayes estimators and , and the PESLs and following the route of Sun et al. (2021); Zhang (2017). The Bayes estimators of under Stein’s loss function, , minimize the corresponding PESL, that is,
where is the action space, is an action (estimator), given by (1.10) is Stein’s loss function, and is the unknown parameter of interest. Similar to Sun et al. (2021); Zhang (2017), it is easy to obtain
(1.18)
The Bayes estimators of under the squared error loss function are given by
(1.19)
The PESLs evaluated at the Bayes estimators are given by
(1.20)
The PESLs evaluated at the Bayes estimators are given by
(1.21)
Similar to Sun et al. (2021), our primary objectives are to estimate the Bayes estimators and the PESLs
by the oracle method. However, the hyperparameters are unknown. The oracle method knows the hyperparameters only in simulations. But in reality, the hyperparameters are unknown.
The good news is that we can actually obtain the Bayes estimators and the PESLs
by the moment method, and
by the MLE method, once the data are given.
To compare the moment method and the MLE method, we can compare the Bayes estimators and the PESLs by the two methods with those quantities by the oracle method in simulations. The method that produces closer Bayes estimators and PESLs to the ones by the oracle method in simulations, is a better method.
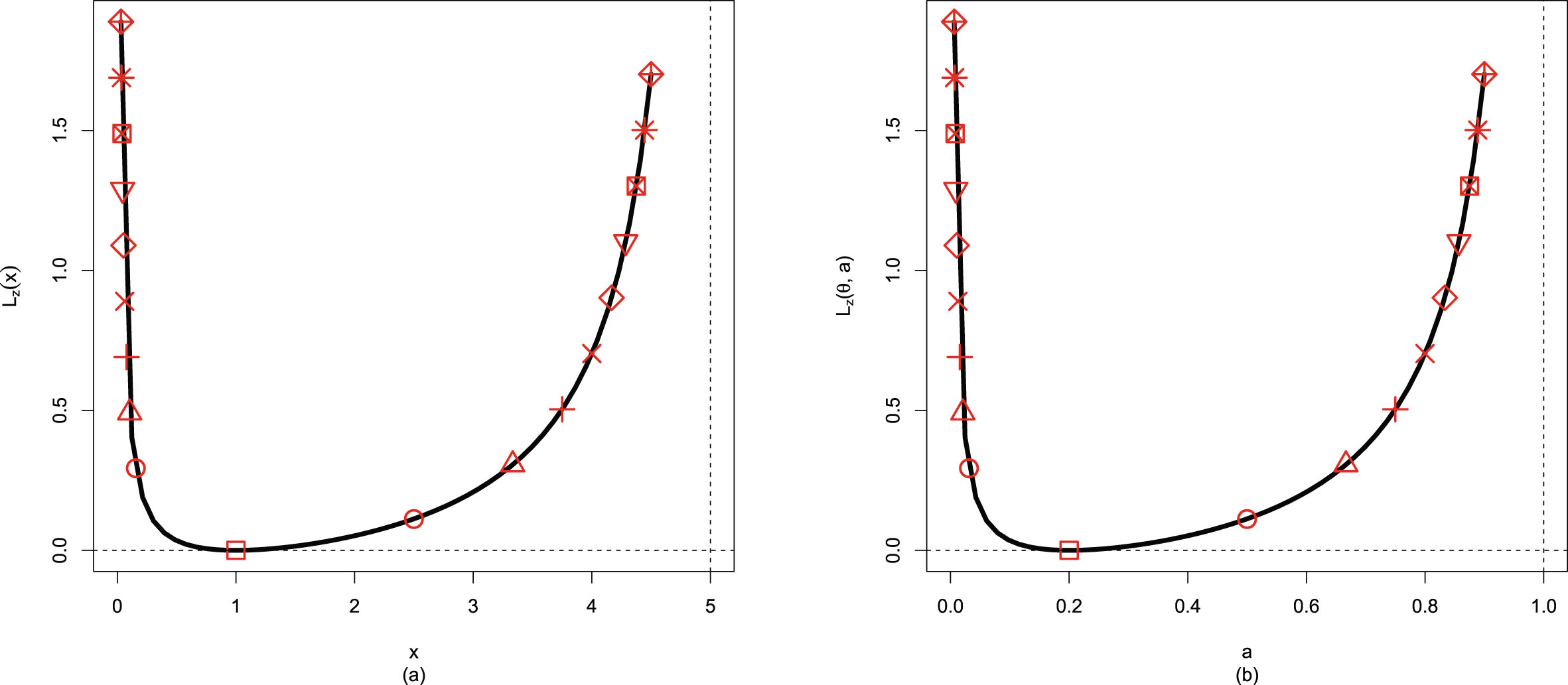
Similar to Sun et al. (2021), the Bayes estimators , the PESL functions , and the PESLs are depicted in figure 1.2. From the figure, we see that the Bayes estimators are the minimizers of the PESL functions , and the PESLs are the PESL functions evaluated at the Bayes estimators . Note that for the Bayes estimators, and maybe larger or smaller than . Similarly, for the PESLs, and maybe larger or smaller than .
FIG. 1.2 — I: The Bayes estimators , the PESL functions , and the PESLs . (a) The Bayes estimators and the PESLs by the oracle method are larger. (b) The Bayes estimators and the PESLs by the oracle method are smaller.
图

1.8 Simulation Techniques

图

1.8.1 Consistencies of the Moment Estimators and the MLEs

In this subsection, taking the hyperparameters from Sun et al. (2021) as an example, we will introduce a simulation technique to numerically exemplify that the moment estimators (, , and ) and the MLEs (, , and ) are consistent estimators of the hyperparameters (, , and ) of the hierarchical inverse gamma and inverse gamma model (2.1). Note that only are used in this subsection.
Let denote the hyperparameter , , or . Then the consistency means that
for , where is for the moment estimator, is for the MLE, means convergence in probability, and is the sample size. Alternatively, the consistency means that
(1.22)
for every and every . The probabilities are approximated by the corresponding frequencies:
for , where is the indicator function of , which is equal to 1 if is true and otherwise, and is the number of simulations. Therefore, the frequencies (, , , or , ) tend to means that the estimators are consistent.
图

1.8.2 Goodness-of-Fit of the Model

In this subsection, we will introduce two simulation techniques to calculate the goodness-of-fit of the hierarchical model to the simulated data (see Ross (2013); Xue and Chen (2007)). The first simulation technique is the chi-square test, which is mainly used for discrete distributions. The second simulation technique is the Kolmogorov-Smirnov (KS) test, which is mainly used for continuous distributions. Note that only are used in this subsection.
Chi-square test
Let us take the hierarchical Poisson and gamma model (8.1) as an example to illustrate the process of the chi-square test. Two cases of the goodness-of-fit will be considered. In the first case, the hyperparameters and are assumed known. In the second case, the hyperparameters and are unknown, and this is also the case encountered in real applications.
Case 1. The hyperparameters and are assumed known.
In this case, the hyperparameters and are assumed known. For example, and . Let the null hypothesis be
where is the marginal distribution of the hierarchical Poisson and gamma model (8.1) with the marginal pmf given by (8.3).
The chi-square goodness-of-fit is performed as follows. We first divide the domain of , , into groups:
Let the theoretical probabilities under on these subintervals be
where
and is the probability when is distributed under . Let , denote the number of that lie in the th subinterval . Then the chi-square statistics (Ross (2013); Xue and Chen (2007))
where is convergence in distribution. Moreover, we can compute the p-value, which gives the probability that a value of as large as would have occurred if the null hypothesis were true. Hence,
where pchisq(), which calculates the cumulative distribution function (cdf) of a chi-square random variable, is an R built-in function (R Core Team (2023)). Note that a large p-value (>0.05 in the usual case) indicates that the model specified by fits the (simulated) data well, while a small p-value (≤0.05 in the usual case) indicates that the model specified by does not fit the (simulated) data well. The larger the p-value, the better the model specified by fits the (simulated) data.
Case 2. The hyperparameters and are unknown.
Let the null hypothesis be
where and are unknown. First, the hyperparameters and need to be estimated by the sample. The estimators could be the moment estimators or the MLEs. Let and be given in Case 1. The theoretical probabilities under on the subintervals are calculated by
that is, the unknown hyperparameters and are estimated by their estimators and based on the sample. Then the chi-square statistics (Ross (2013); Xue and Chen (2007))
Note that the degree of freedom is now lost by 2, since two unknown parameters are estimated by the sample. Moreover, the p-value is given by
KS test
Chi-square test is a measure of the goodness-of-fit. However, the chi-square test is very sensitive because of the problem of choosing the number of groups and the problem of finding the cut-points. Therefore, instead of using the chi-square test as a measure of the goodness-of-fit, we may use the Kolmogorov-Smirnov test (or the KS test) as a measure of the goodness-of-fit.
The Kolmogorov-Smirnov statistic is the distance between the empirical cdf and the population cdf , that is,
(1.23)
In R software, the built-in function ks.test() can perform the KS test (see Marsaglia et al. (2003); Durbin (1973); Conover (1971)). Note that the KS test is generally valid for one-dimensional continuous cumulative distribution functions (cdfs). But in literature, KS-type tests have been developed for discrete data too (Santitissadeekorn et al. (2020); Aldirawi et al. (2019); Dimitrova et al. (2020)).
The return value of ks.test() is a list containing the components statistic (the value of the test statistic, or the value) and p-value (the p-value of the test). It is well known in the literature that a smaller value or a larger p-value indicates a better fit of the model to the simulated data. Inspired by and based on the value and p-value, Sun et al. (2021) propose five indices (, , , , and ) to compare the three methods, namely, the oracle method, the moment method, and the MLE method in simulations. is the average values (1.23) of simulations (the smaller the better). is the average p-value of simulations (the larger the better). is the percentage of simulations that attain the minimum value in the three methods (the larger the better). The three values should sum to . is the percentage of simulations which attain the maximum p-value in the three methods (the larger the better). The three values should sum to . is the percentage of accepting (defined as p-value >0.05) in simulations for each method (the larger the better). Each value should between 0%–100%.
图

1.8.3 Numerical Comparisons of the Bayes Estimators and the PESLs of Three Methods

In this subsection, we will introduce two simulation techniques to numerically compare the Bayes estimators and the PESLs of the three methods (the oracle method, the moment method, and the MLE method). The first simulation technique is to calculate the averages and proportions of the absolute errors from the oracle method by the moment method and the MLE method, for the estimators of the hyperparameters, the Bayes estimators, and the PESLs. The second simulation technique is to calculate the Mean Square Error (MSE), Mean Absolute Error (MAE), and Mean Entropy Error (MEE) of the estimators of the hyperparameters.
The averages and proportions of the absolute errors
We can calculate the averages and proportions of the absolute errors from the oracle method by the moment method and the MLE method for the estimators of the hyperparameters, the Bayes estimators, and the PESLs. The averages of the absolute errors from the oracle method by the moment method and the MLE method are the sample averages of the absolute error vectors from the oracle method by the moment method and the MLE method; the smaller the better. The proportions of the absolute errors from the oracle method, by the moment method, and the MLE method are the sample proportions of the absolute errors by the method being equal to the minimum of the two absolute errors, the larger the better.
We will only give the mathematical formulas of the averages and proportions of the absolute errors from the oracle method by the moment method and the MLE method for the Bayes estimator under Stein’s loss function . These quantities for the estimators of the hyperparameters, the Bayes estimator , and the PESLs and are similar, and thus they are omitted.
To calculate the averages and proportions of the absolute errors from the oracle method by the moment method, and the MLE method for , we need the absolute error vectors by the moment method and the MLE method for , which are respectively given by
and
The averages of the absolute errors from the oracle method by the moment method, and the MLE method for are the sample averages of the absolute error vectors and , and the averages are respectively given by
and
With the two absolute error vectors and , we can compute a parallel minima vector of the absolute error vectors by
where pmin() is an R built-in function which returns a single vector giving the parallel minima of the argument vectors. Finally, the proportions and of the absolute errors from the oracle method by the moment method, and the MLE method for are computed by
and
where is the indicator function of which is equal to if is true and otherwise. To avoid the case of equal absolute errors from the oracle method by the moment method, and the MLE method for , we could compute
to ensure that the two proportions sum to .
MSE, MAE, and MEE
The MSE, MAE, and MEE are criteria to compare two different estimators. The MSE, MAE, and MEE are risk functions (expected loss functions) of the estimators of the hyperparameters, and they could measure the performance of the estimators. The smaller the MSE, MAE, and MEE values, the better the estimator.
Let be a hyperparameter. Let be an estimator of θ, where is for the moment estimator and is for the MLE. The MSE of the estimator is defined by (see Casella and Berger (2002))
Similarly, the MAE of the estimator is defined by (see Casella and Berger (2002))
Moreover, the MEE of the estimator is defined by
where the entropy loss function is also known as Stein’s loss function, given by (1.10).
图

1.9 R Codes

The R codes for the hierarchical IG-IG, G-G, Exp-IG, N-IG, N-NIG, U-IG, and P-G models and the figures of Several Common Loss Functions are available at Édition Diffusion Press (EDP) Sciences bookshop website: https://laboutique.edpsciences.fr/produit/1511/9782759839124/empirical-bayes-estimators-of-positive-parameters-in-hierarchical-models-under-stein-s-loss-function. Alternatively, one can send an email to the author at robertzhangyying@qq.com.
图

Chapter 2 The Empirical Bayes Estimators of the Rate Parameter of the Inverse Gamma Distribution with a Conjugate Inverse Gamma Prior under Stein’s Loss Function

For the hierarchical inverse gamma and inverse gamma model, we calculate the Bayes estimator of the rate parameter of the inverse gamma distribution under Stein’s loss function, which penalizes gross overestimation and gross underestimation equally, and the corresponding PESL. We also obtain the Bayes estimator of the rate parameter under the squared error loss and the corresponding PESL. Moreover, we obtain the empirical Bayes estimators of the rate parameter of the inverse gamma distribution with a conjugate inverse gamma prior by the moment and MLE methods under Stein’s loss function. In numerical simulations, we have illustrated five aspects: The two inequalities of the Bayes estimators and the PESLs for the oracle method; the moment estimators and the MLEs are consistent estimators of the hyperparameters; the goodness-of-fit of the model to the simulated data; the comparisons of the Bayes estimators and the PESLs of the oracle, moment, and MLE methods; and the marginal densities of the model for various hyperparameters. The numerical results indicate that the MLEs are better than the moment estimators when estimating the hyperparameters. Finally, the model could potentially be used to fit right-skewed data, not left-skewed data.
Acknowledgement. This chapter is derived in part from an article Sun et al. (2021) published in the Journal of Statistical Computation and Simulation, 12 December 2020 <copyright Taylor & Francis>, available online: http://www.tandfonline.com/10.1080/00949655.2020.1858299.
图

2.1 Introduction

Since the rate parameter of the inverse gamma distribution with a conjugate inverse gamma prior is a positive parameter, , the Bayes estimator of under the squared error loss function, is not appropriate. In contrast, we should select Stein’s loss function because it penalizes gross overestimation and gross underestimation equally. To determine the unknown hyperparameters, we adopt the empirical Bayes method. In this chapter, we calculate the Bayes estimator of under Stein’s loss function and the corresponding PESL. We also obtain the Bayes estimator of under the squared error loss function and the corresponding PESL. Moreover, we obtain the empirical Bayes estimators of the rate parameter of the inverse gamma distribution with a conjugate inverse gamma prior by the moment method and the MLE method under Stein’s loss function.
The rest of the chapter is organized as follows. In section 2.2, we calculate the Bayes estimators and the PESLs, and they satisfy two inequalities (2.6) and (2.9). Moreover, we summarize the empirical Bayes estimators of the parameter of the model (2.1) under Stein’s loss function by the moment method and the MLE method in Theorem 2.4. Furthermore, we have theoretically compared the Bayes estimators and the PESLs of the three methods (the oracle method, the moment method, and the MLE method). In section 2.3, we will carry out some numerical simulations, where we will illustrate five aspects. First, we will numerically exemplify the two inequalities of the Bayes estimators and the PESLs for the oracle method. Second, we will illustrate that the moment estimators and the MLEs are consistent estimators of the hyperparameters. Third, we will calculate the goodness-of-fit of the model (2.1) to the simulated data. Fourth, we will numerically compare the Bayes estimators and the PESLs of the three methods. Finally, we will plot the marginal densities of the hierarchical inverse gamma and inverse gamma model (2.1) for various hyperparameters. Some conclusions and discussions are provided in section 2.4.
图

2.2 Theoretical Results

In this section, we will give some theoretical results for the hierarchical inverse gamma and inverse gamma model (2.1). First, we will calculate the Bayes estimators and the PESLs of the rate parameter of the inverse gamma distribution with a conjugate inverse gamma prior. Second, we will obtain the empirical Bayes estimators of the rate parameter of the inverse gamma distribution with a conjugate inverse gamma prior. Third, we will theoretically compare the Bayes estimators and the PESLs of three methods (the oracle method, the moment method, and the MLE method).
Suppose that we observe from the hierarchical inverse gamma and inverse gamma model:
(2.1)
where , , and are hyperparameters to be estimated, is the unknown parameter of interest, is the inverse gamma distribution with shape parameter and rate parameter , and is the inverse gamma distribution with shape parameter and rate parameter . The pdf of the inverse gamma distribution can be found in section 1.2. As described in Deely and Lindley (1981), the statistician observes data and wishes to make an inference about . Therefore, provides direct information about the parameter , while supplementary information is also available. The connection between the prime data and the supplementary information is provided by the common distributions and .
Now we give the justifications of why is the only parameter of interest. The pdf of is
for and . We can only handle the case of unknown rate parameter , letting the shape parameter be a hyperparameter to be determined. If the shape parameter is also an unknown parameter of interest, then we have to deal with the part in the posterior distribution, which is very complicated and has no analytical solutions. It seems that the Bayesian community avoids dealing with such a situation by letting be a known constant or assuming be a hyperparameter to be determined.
图

2.2.1 The Bayes Estimators and the PESLs

In this subsection, we will calculate the Bayes estimators and the PESLs of the rate parameter of the inverse gamma distribution with a conjugate inverse gamma prior.
For the hierarchical inverse gamma and inverse gamma model (2.1), the posterior density of and the marginal density of are given by the following theorem, whose proof can be found in appendix A.1.
Theorem 2.1. For the hierarchical inverse gamma and inverse gamma model (2.1), the posterior density of is
where
(2.2)
Moreover, the marginal density of is
(2.3)
for and .
From Theorem 2.1, we have
Since is a rate parameter of the inverse gamma distribution, the Bayes estimator of under the squared error loss function is not appropriate. In contrast, we should choose Stein’s loss function (James and Stein (1961); see also Brown (1990)) because it penalizes gross overestimation and gross underestimation equally. The Bayes estimator of under Stein’s loss function is given by (see Zhang (2017))
(2.4)
where and are given by (2.2). Moreover, we also calculate the Bayes estimator of under the usual squared error loss function,
(2.5)
It is easy to show that
(2.6)
which exemplifies the theoretical study of (1.16). Furthermore, from Zhang (2017), the PESLs at and are respectively given by
(2.7)
and
(2.8)
where
is the digamma function. It is easy to show that
(2.9)
which exemplifies the theoretical study of (1.17). The numerical simulations will exemplify (2.6) and (2.9).
It is worth noting that the Bayes estimators ( and ) and the PESLs and in this subsection assume that the hyperparameters , , and are known. In other words, the Bayes estimators and the PESLs in this subsection are calculated by the oracle method, which will be further discussed in subsection 2.2.3.
图

2.2.2 The Empirical Bayes Estimators of θn+1

In this subsection, we will obtain the empirical Bayes estimators of the rate parameter of the inverse gamma distribution with a conjugate inverse gamma prior.
To obtain the empirical Bayes estimators of , we need to estimate the hyperparameters from the supplementary information . There are two common methods to estimate the hyperparameters: the moment method and the MLE method.
The estimators of the hyperparameters of the model (2.1) by the moment method , , and and their consistencies are summarized in the following theorem, whose proof can be found in appendix A.2.
Theorem 2.2. The estimators of the hyperparameters of the model (2.1) by the moment method are
(2.10)
(2.11)
(2.12)
where , , is the sample kth moment of . Moreover, the moment estimators are consistent estimators of the hyperparameters.
The estimators of the hyperparameters of the model (2.1) by the MLE method , , and and their consistencies are summarized in the following theorem whose proof can be found in appendix A.3.
Theorem 2.3. The estimators of the hyperparameters of the model (2.1) by the MLE method , , and are the solutions to the following equations:
(2.13)
(2.14)
(2.15)
Moreover, the MLEs are consistent estimators of the hyperparameters.
The analytical calculations of the MLEs of , , and by solving the equations (2.13)–(2.15) are impossible, and thus we have to resort to numerical solutions. We can exploit Newton’s method to solve the equations equations (2.13)–(2.15) and to obtain the MLEs of , , and . Note that the MLEs of , , and are very sensitive to the initial estimators, and the moment estimators are usually proved to be good initial estimators.
Finally, the empirical Bayes estimators of the parameter of the model (2.1) under Stein’s loss function by the moment method and the MLE method are summarized in the following theorem.
Theorem 2.4. The empirical Bayes estimator of the parameter of the model (2.1) under Stein’s loss function by the moment method is given by (2.4) with the hyperparameters estimated by in Theorem 2.2. Alternatively, the empirical Bayes estimator of the parameter of the model (2.1) under Stein’s loss function by the MLE method is given by (2.4) with the hyperparameters estimated by numerically determined in Theorem 2.3.
图

2.2.3 Theoretical Comparisons of the Bayes Estimators and the PESLs of Three Methods

In this subsection, similar to section 1.7, we will theoretically compare the Bayes estimators and the PESLs of three methods (the oracle method, the moment method, and the MLE method) for the hierarchical inverse gamma and inverse gamma model (2.1). Note that the numerical comparisons of the Bayes estimators and the PESLs of the three methods can be found in subsection 2.3.4.
Note that the subscripts 0, 1, and 2 below are for the oracle method, the moment method, and the MLE method, respectively. The PESLs of the three methods are respectively given by
where
, , and are unknown hyperparameters, , , and are the moment estimators of the hyperparameters given in Theorem 2.2, and , , and are the MLEs of the hyperparameters numerically determined in Theorem 2.3.
The Bayes estimators of under Stein’s loss function, are given by
and
The Bayes estimators of under the squared error loss function are given by
for .
The PESLs evaluated at the Bayes estimators are given by
The PESLs evaluated at the Bayes estimators are given by
图

2.3 Simulations

In this section, we will carry out the numerical simulations for the hierarchical inverse gamma and inverse gamma model (2.1). We will illustrate five aspects. First, we will numerically exemplify (2.6) and (2.9) for the oracle method. Second, we will illustrate that the moment estimators and the MLEs are consistent estimators of the hyperparameters. Third, we will calculate the goodness-of-fit of the model (2.1) to the simulated data. Fourth, we will numerically compare the Bayes estimators and the PESLs of the three methods (the oracle method, the moment method, and the MLE method). Finally, we will plot the marginal densities of the model (2.1) for various hyperparameters.
The simulated data are generated according to model (2.1) with the hyperparameters specified by , , and . The reason why we choose these values is that , , and are required in the moment estimations of the hyperparameters. Other numerical values of the hyperparameters can also be specified.
图

2.3.1 Two Inequalities of the Bayes Estimators and the PESLs

In this subsection, we will numerically exemplify the two inequalities of the Bayes estimators and the PESLs (2.6) and (2.9) for the oracle method. The motivation of this subsection is that theoretically we have the two inequalities (2.6) and (2.9).
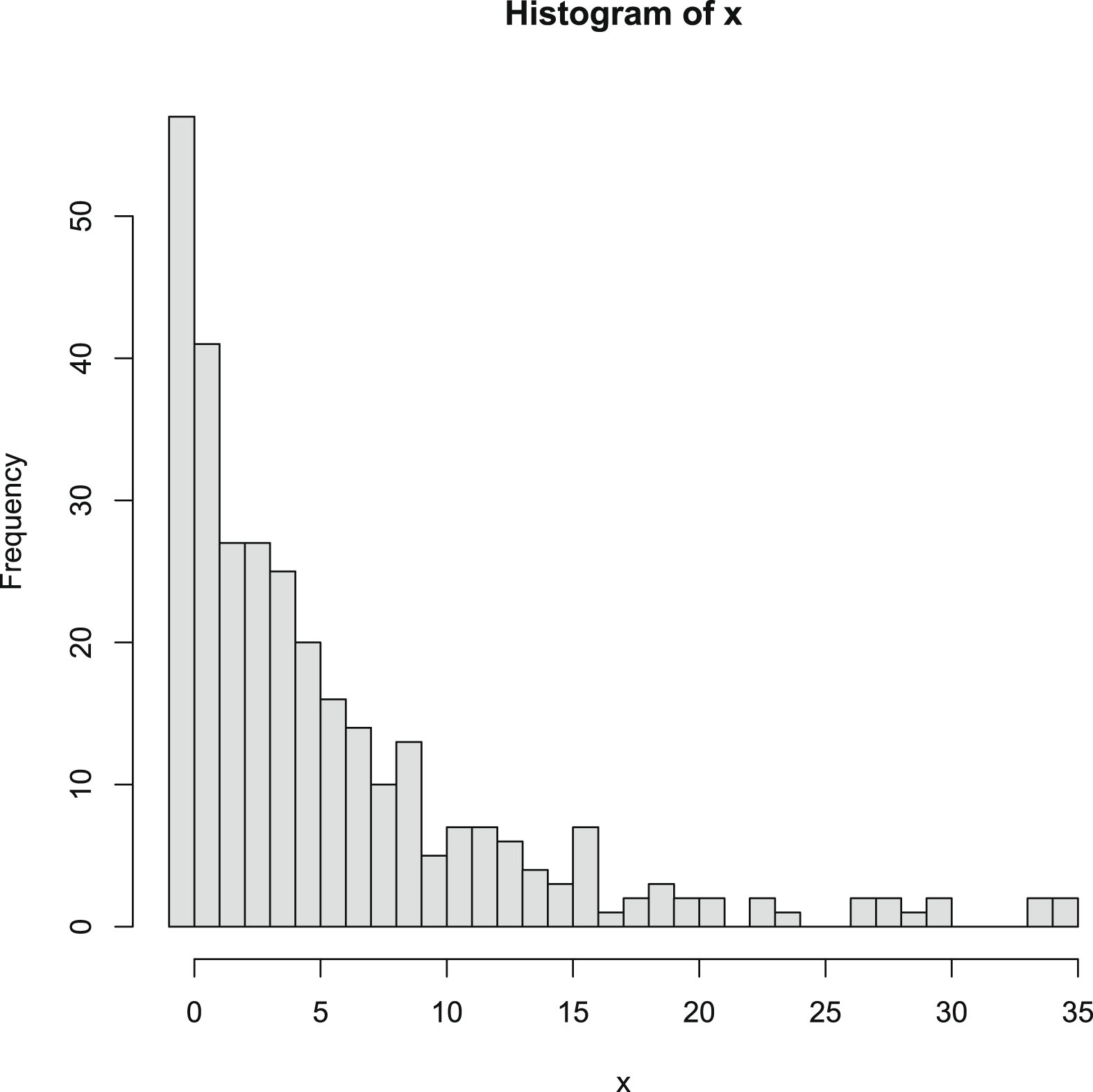
First, we fix , , and . Then we set a seed number 1 in R software and draw from . After that, we draw from . Figure 2.1 shows the histogram of and the density estimation curve of . It is that we find to minimize the PESL. Numerical results show that
and
which exemplify the theoretical studies of (2.6) and (2.9).
FIG. 2.1 — IG-IG: The histogram of and the density estimation curve of .
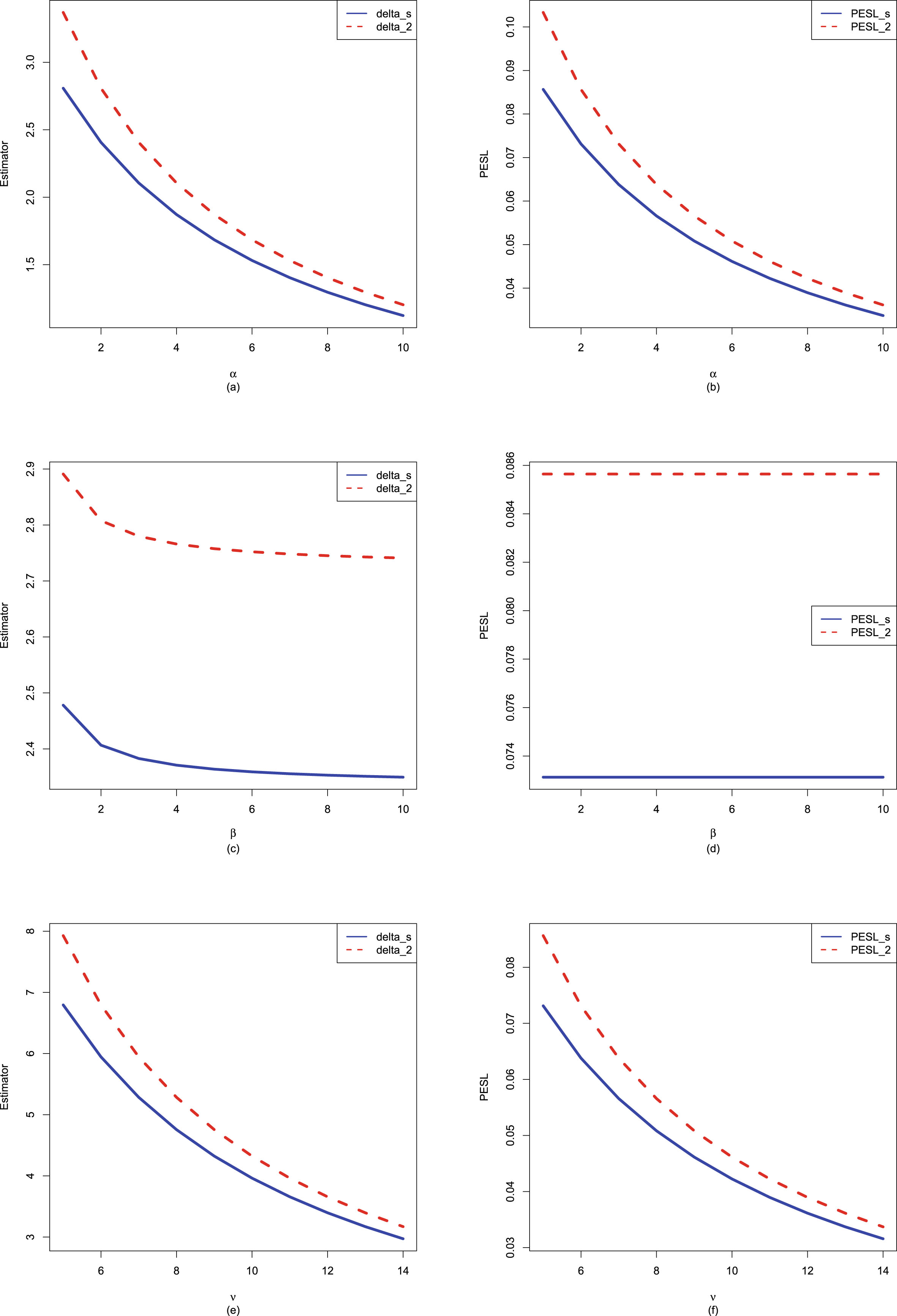
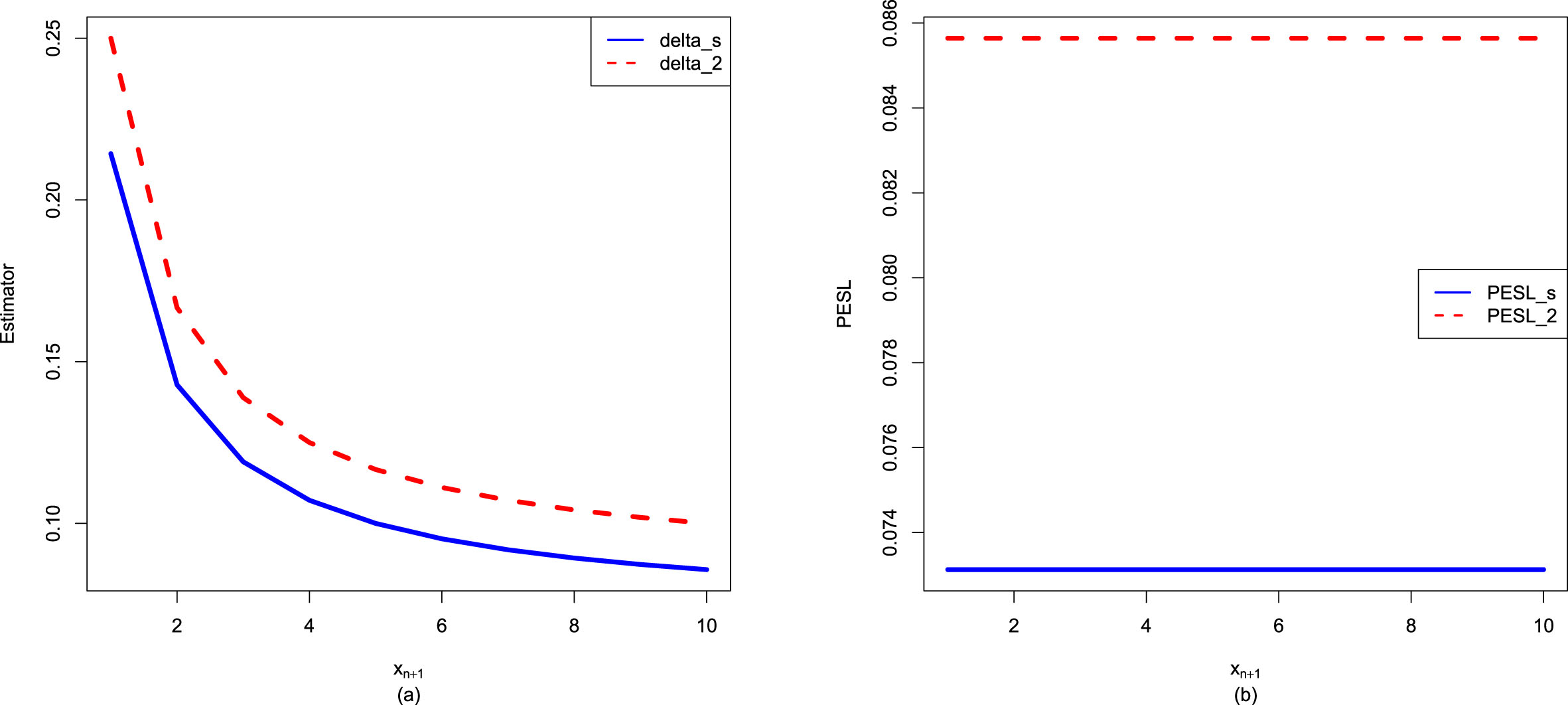
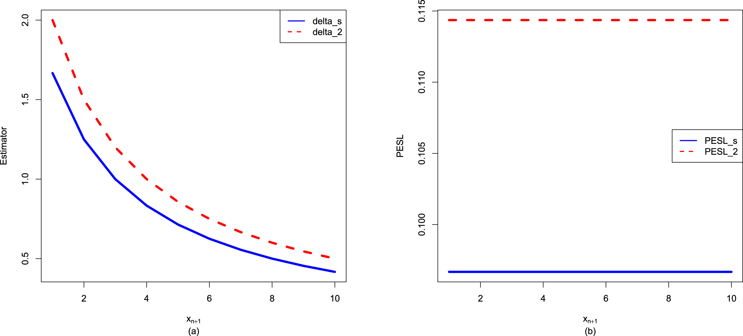
In figure 2.2, we fix , , and , but allow to change from 1 to 10. From the figure, we see that the Bayes estimators and PESLs are functions of . The numerical values of the Bayes estimators and the PESLs in the figure are displayed in table 2.1. We see from plot (a) or the first two lines of table 2.1 that the Bayes estimators are decreasing functions of , and are unanimously smaller than , and thus (2.6) is exemplified. Plot (b) or the last two lines of table 2.1 exhibit that the PESLs do not depend on , and are unanimously smaller than , and thus (2.9) is exemplified.
FIG. 2.2 — IG-IG: The Bayes estimators and the PESLs as functions of . (a) Bayes estimators. (b) PESLs.
TAB. 2.1 — IG-IG: The numerical values of the Bayes estimators and the PESLs in figure 2.2: changes.
1 2 3 4 5 6 7 8 9 10
0.2143 0.1429 0.1190 0.1071 0.1000 0.0952 0.0918 0.0893 0.0873 0.0857
0.2500 0.1667 0.1389 0.1250 0.1167 0.1111 0.1071 0.1042 0.1019 0.1000
0.0731 0.0731 0.0731 0.0731 0.0731 0.0731 0.0731 0.0731 0.0731 0.0731
0.0856 0.0856 0.0856 0.0856 0.0856 0.0856 0.0856 0.0856 0.0856 0.0856
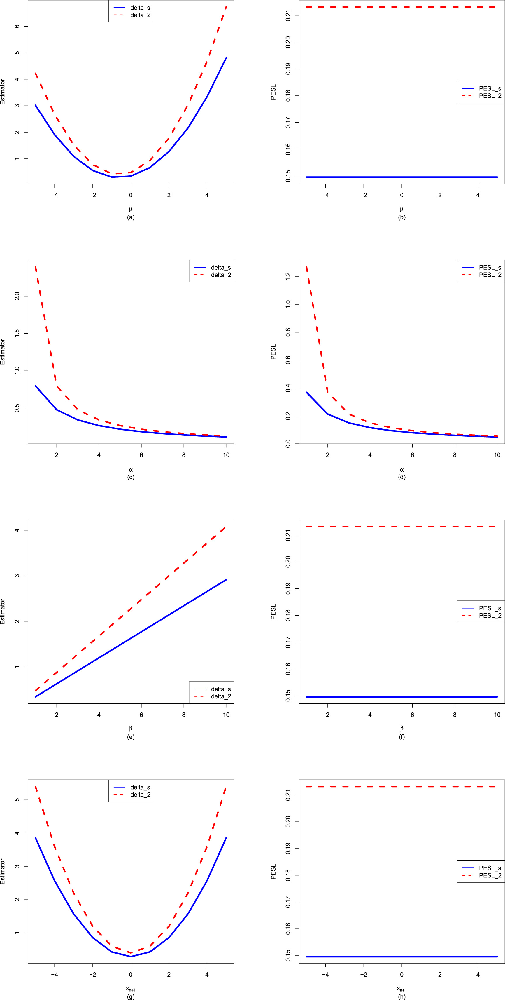
Now we allow one of the three parameters , , and to change, holding other parameters fixed. Moreover, we also assume that the datum is fixed, as is the case for the real data. Figure 2.3 shows the Bayes estimators and the PESLs as functions of , , and . We see from the left plots of the figure that the Bayes estimators depend on , , and , and (2.6) is exemplified. The right plots of the figure exhibit that the PESLs depend on and , but not on , and (2.9) is exemplified. Furthermore, tables 2.22.4 display the numerical values of the Bayes estimators and the PESLs in figure 2.3. In summary, the results of figure 2.3 and tables 2.22.4 exemplify the theoretical studies of (2.6) and (2.9).
FIG. 2.3 — IG-IG: The Bayes estimators and the PESLs as functions of , , and . (a) Bayes estimators vs. . (b) PESLs vs. . (c) Bayes estimators vs. . (d) PESLs vs. . (e) Bayes estimators vs. . (f) PESLs vs. .
TAB. 2.2 — IIG-IG: The numerical values of the Bayes estimators and the PESLs in figure 2.3: changes.
1 2 3 4 5 6 7 8 9 10
2.8077 2.4066 2.1058 1.8718 1.6846 1.5315 1.4038 1.2958 1.2033 1.1231
3.3692 2.8077 2.4066 2.1058 1.8718 1.6846 1.5315 1.4038 1.2958 1.2033
0.0856 0.0731 0.0638 0.0566 0.0508 0.0461 0.0422 0.0390 0.0361 0.0337
0.1033 0.0856 0.0731 0.0638 0.0566 0.0508 0.0461 0.0422 0.0390 0.0361
TAB. 2.3 — IIG-IG: The numerical values of the Bayes estimators and the PESLs in figure 2.3: changes.
1 2 3 4 5 6 7 8 9 10
2.4780 2.4066 2.3828 2.3709 2.3637 2.3590 2.3556 2.3530 2.3510 2.3494
2.8910 2.8077 2.7799 2.7660 2.7577 2.7521 2.7481 2.7452 2.7429 2.7410
0.0731 0.0731 0.0731 0.0731 0.0731 0.0731 0.0731 0.0731 0.0731 0.0731
0.0856 0.0856 0.0856 0.0856 0.0856 0.0856 0.0856 0.0856 0.0856 0.0856
TAB. 2.4 — IIG-IG: The numerical values of the Bayes estimators and the PESLs in figure 2.3: changes.
5 6 7 8 9 10 11 12 13 14
6.7943 5.9450 5.2844 4.7560 4.3236 3.9633 3.6585 3.3971 3.1707 2.9725
7.9267 6.7943 5.9450 5.2844 4.7560 4.3236 3.9633 3.6585 3.3971 3.1707
0.0731 0.0638 0.0566 0.0508 0.0461 0.0422 0.0390 0.0361 0.0337 0.0316
0.0856 0.0731 0.0638 0.0566 0.0508 0.0461 0.0422 0.0390 0.0361 0.0337
Since the Bayes estimators and and the PESLs and depend on and , where and , we can plot the surfaces of the Bayes estimators and the PESLs on the domain via the R function persp3d() in the R package rgl (see Adler et al. (2017)). We remark that the R function persp() in the R package graphics can not add another surface to the existing surface, but persp3d() can. Moreover, persp3d() allows one to rotate the perspective plots of the surface according to one’s wishes. Figure 2.4 plots the surfaces of the Bayes estimators and the PESLs, and the surfaces of the differences of the Bayes estimators and the PESLs. The domain for is for all the plots. a is for and b is for in the axes of all the plots. The red surface is for and the blue surface is for in the upper two plots. From the left two plots of the figure, we see that for all on . From the right two plots of the figure, we see that for all on . The results of the figure exemplify the theoretical studies of (2.6) and (2.9).
FIG. 2.4 — IG-IG: (a) The Bayes estimators as functions of and . (b) The PESLs as functions of and . (c) The surface of which is positive for all on . (d) The surface of which is also positive for all on .
图

2.3.2 Consistencies of the Moment Estimators and the MLEs

In this subsection, similar to subsection 1.8.1, we will numerically exemplify that the moment estimators and the MLEs are consistent estimators of the hyperparameters , , and of the hierarchical inverse gamma and inverse gamma model (2.1). The motivation of this subsection is that in Theorems 2.2 and 2.3, we have theoretically shown that the moment estimators and the MLEs are consistent estimators of the hyperparameters. Note that only are used in this subsection. The simulation design of this subsection is detailed in appendix A.4.
The frequencies of the moment estimators (, , and ) and the MLEs (, , and ) of the hyperparameters (, , and ) as varies for and , 0.5, and 0.1 are reported in table 2.5. From this table, we observe the following facts.
1. Given , 0.5, or 0.1, the frequencies of the estimators (, , , or , ) tend to 0 as increases to infinity, which means that the moment estimators and the MLEs are consistent estimators of the hyperparameters. For , the frequencies of the estimators are still very large. However, we observe the tendencies of declining to 0 as increases to infinity.
2. Comparing the frequencies corresponding to , 0.5, and 0.1, we observe that as gets smaller, the frequencies tend to be larger, since the constraints
are easier to meet.
3. Comparing the moment estimators and the MLEs of the hyperparameters , , and , we see that the frequencies of the MLEs are smaller than those of the moment estimators, which means that the MLEs are better than the moment estimators when estimating the hyperparameters in terms of consistency.
TAB. 2.5 — IIG-IG: The frequencies of the moment estimators and the MLEs of the hyperparameters as varies for and , 0.5, and 0.1.
Moment estimators MLEs
n
1e4 0.01 0.25 0.33 0.01 0.03 0.04
2e4 0.00 0.09 0.12 0.00 0.00 0.01
4e4 0.00 0.01 0.07 0.00 0.00 0.00
8e4 0.00 0.00 0.00 0.00 0.00 0.00
1e4 0.07 0.62 0.63 0.05 0.07 0.12
2e4 0.05 0.55 0.60 0.02 0.05 0.07
4e4 0.03 0.45 0.48 0.01 0.06 0.09
8e4 0.01 0.20 0.27 0.00 0.01 0.02
1e4 0.82 0.94 0.88 0.14 0.56 0.75
2e4 0.83 0.92 0.93 0.09 0.40 0.65
4e4 0.71 0.92 0.90 0.10 0.32 0.53
8e4 0.62 0.87 0.88 0.07 0.19 0.34
图

2.3.3 Goodness-of-Fit of the Model: KS Test

In this subsection, similar to subsection 1.8.2, we will calculate the goodness-of-fit of the hierarchical inverse gamma and inverse gamma model (2.1) to the simulated data. The motivation of this subsection is that we want to check whether the marginal distribution of the hierarchical inverse gamma and inverse gamma model (2.1) fits the simulated data well. Note that only are used in this subsection.
In our problem, the null hypothesis specifies that
where is the marginal distribution of the hierarchical inverse gamma and inverse gamma model (2.1). The marginal density of the distribution is given by (2.3), which is obviously one-dimensional continuous. Hence, the KS test can be utilized as a measure of the goodness-of-fit.
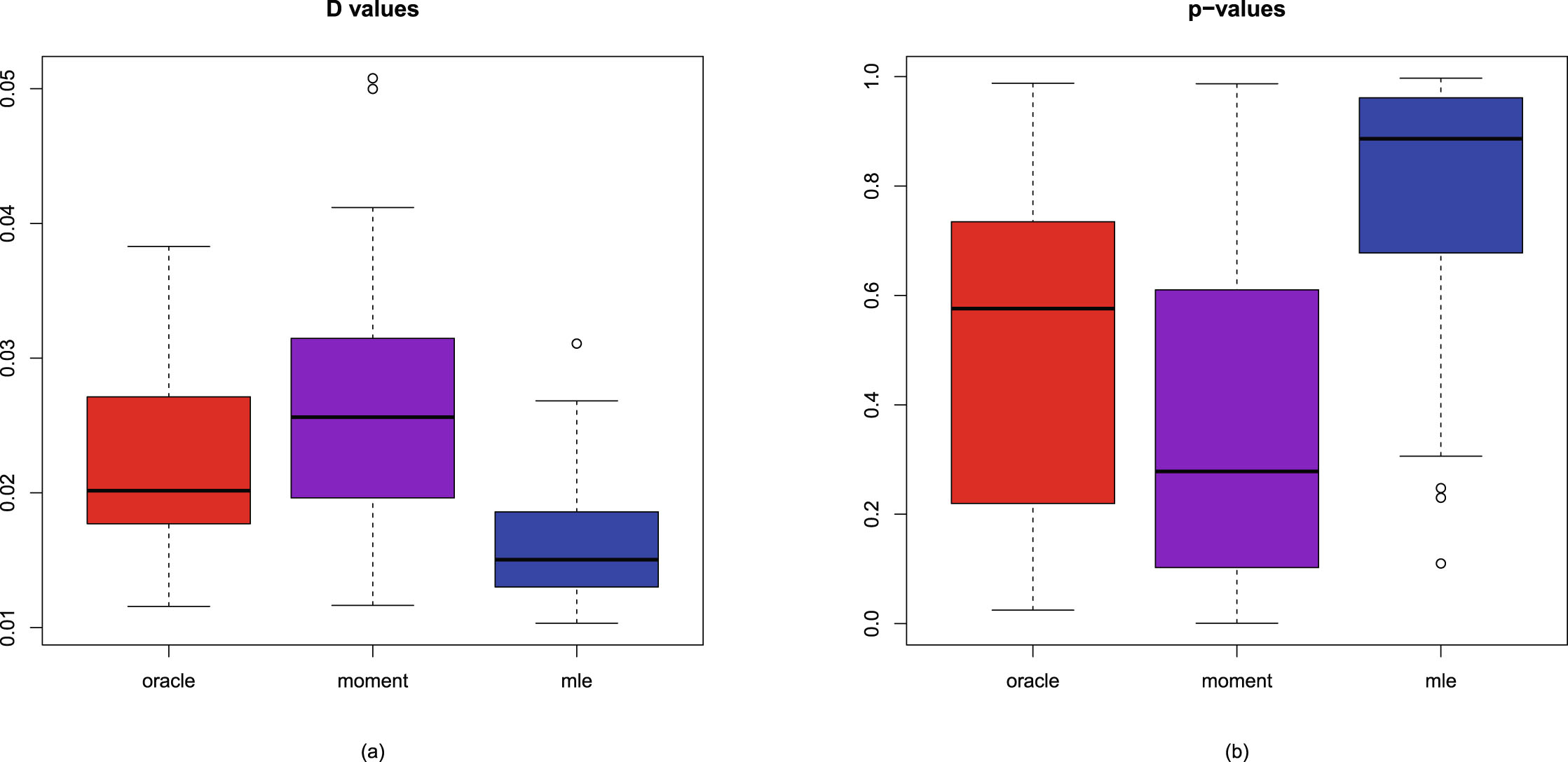
The results of the KS test goodness-of-fit of the model (2.1) to the simulated data are reported in table 2.6. Note that the data are simulated according to the hierarchical inverse gamma and inverse gamma model (2.1) with , , and . In the table, the hyperparameters , , and are estimated by three methods. The first method is the oracle method, in that we know the hyperparameters , , and . The second method is the moment method, in that the hyperparameters , , and are estimated by their moment estimators (see Theorem 2.2). The third method is the MLE method, in that the hyperparameters , , and are estimated by their MLEs (see Theorem 2.3). In the table, the sample size is , and the number of simulations is .
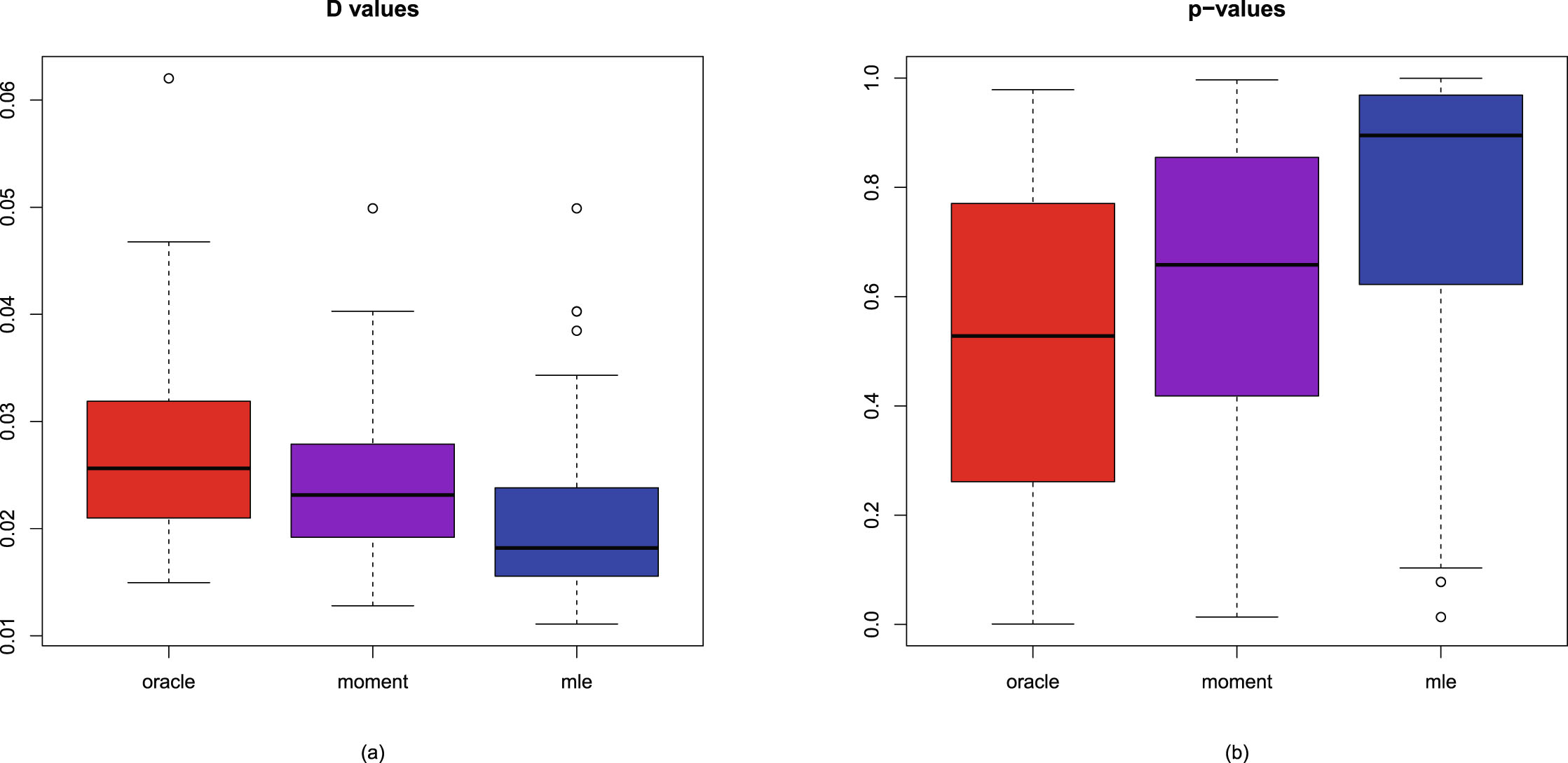
1. From table 2.6, we observe the following facts.
The values for the three methods are respectively given by 0.2983, 0.0338, and 0.0255, which means that the MLE method is the best method, the moment method is the second-best method, and the oracle method is the worst method. A possible explanation for this phenomenon is that in (1.23), the empirical cdf is based on data, and the population cdfs for the MLE method and the moment method are also based on data, while the population cdf for the oracle method is not based on data.
2. The values for the three methods are respectively given by 0.0677, 0.4077, and 0.6503, which also means that the MLE method ranks first, the moment method ranks second, and the oracle method ranks third. The possible explanation for this phenomenon is described in the previous paragraph.
3. The values for the three methods are respectively given by 0.02, 0.40, and 0.58. The value for the MLE method accounts for over half of the simulations. The order of preference for the three methods is the MLE method, the moment method, and the oracle method.
4. The values for the three methods are respectively given by 0.02, 0.40, and 0.58. A small value corresponds to a large p-value. Hence, the smallest value corresponds to the largest p-value. Therefore, the value and the value for the three methods are the same. The order of preference for the three methods is the MLE method, the moment method, and the oracle method.
5. The values for the three methods are respectively given by 0.14, 0.81, and 0.91. Once again, the order of preference for the three methods is the MLE method, the moment method, and the oracle method. The values for the moment method and the MLE method are over , which means that the two methods have good performances in terms of goodness-of-fit.
6. In summary, for the five indices (, , , , ), the order of preference for the three methods is the MLE method, the moment method, and the oracle method. Comparing the moment method and the MLE method, we find that the MLE method has a better performance than the moment method in terms of all five indices.
TAB. 2.6 — IIG-IG: The results of the KS test goodness-of-fit of the model (2.1) to the simulated data.
Oracle method Moment method MLE method
0.2983 0.0338 0.0255
0.0677 0.4077 0.6503
0.02 0.40 0.58
0.02 0.40 0.58
0.14 0.81 0.91
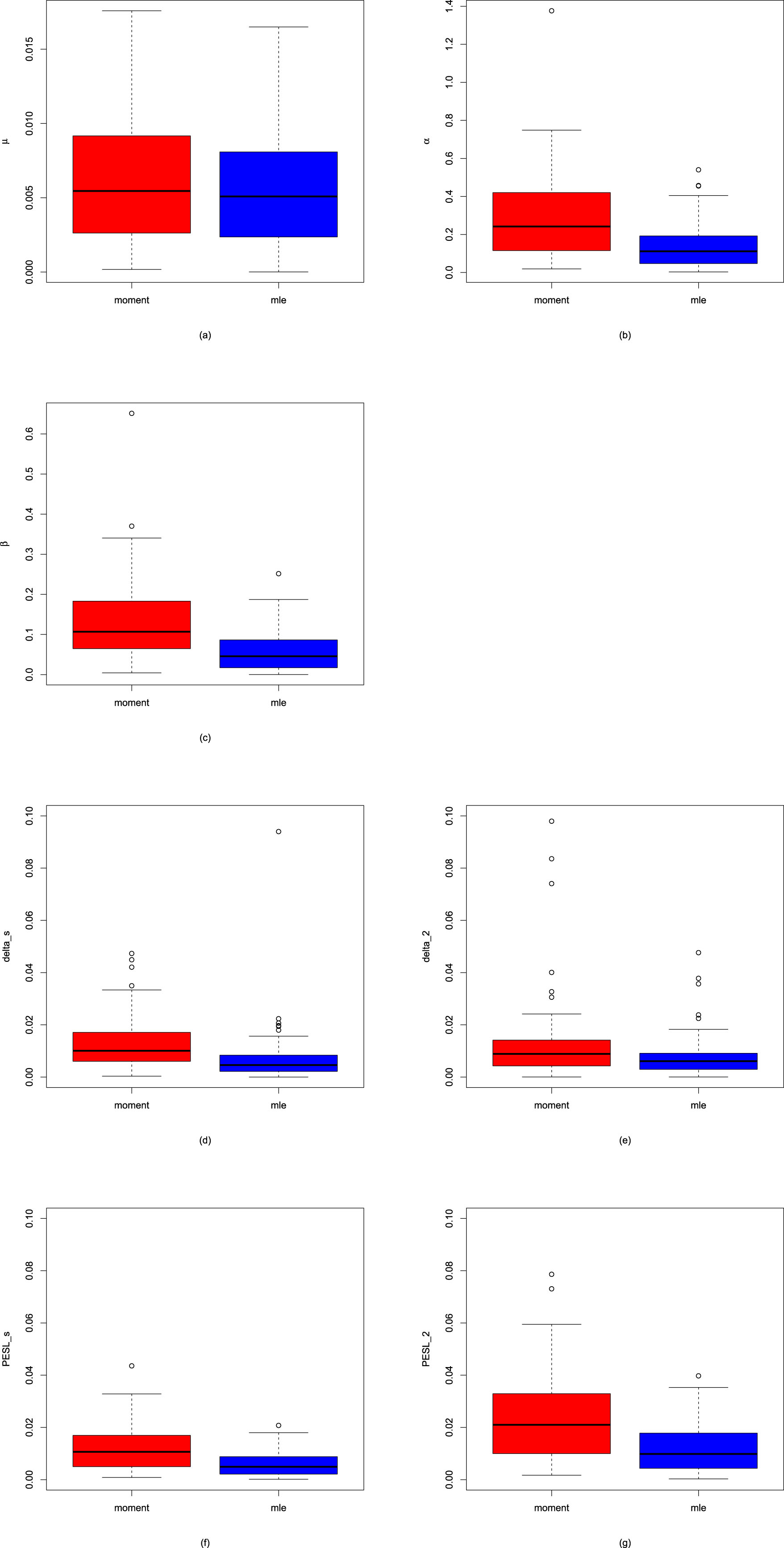
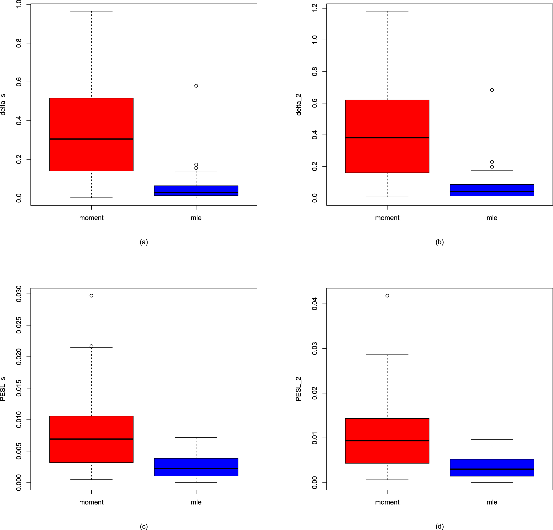
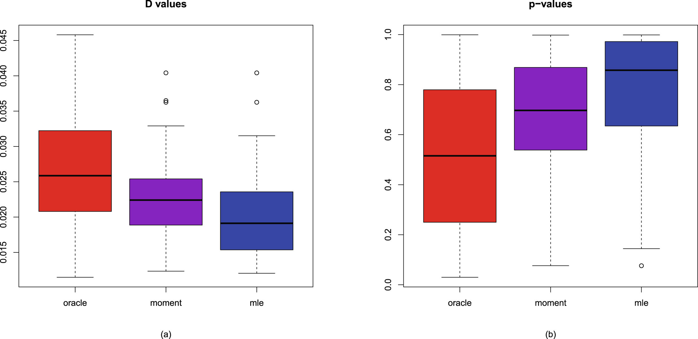
The boxplots of the values and the p-values for the three methods are displayed in figure 2.5. From the figure, we observe the following facts.
1. The values of the oracle method are significantly larger than those of the other two methods. Since for the value, the smaller the better, the order of preference for the three methods is the MLE method, the moment method, and the oracle method.
2. The p-values of the oracle method are significantly smaller than those of the other two methods. Since for the p-value, the larger the better, the order of preference for the three methods is the MLE method, the moment method, and the oracle method.
3. Small values correspond to large p-values, and large values correspond to small p-values.
4. The MLE method has a better performance than the moment method in terms of the values and the p-values.
FIG. 2.5 — IG-IG: The boxplots of the values and the p-values for the three methods. (a) values. (b) p-values.
图

2.3.4 Numerical Comparisons of the Bayes Estimators and the PESLs of Three Methods

In this subsection, we will numerically compare the Bayes estimators and the PESLs of the three methods (the oracle method, the moment method, and the MLE method). The motivation of this subsection is that the theoretical comparisons of the Bayes estimators and the PESLs of the three methods can be found in subsection 2.2.3. Note that the full data are used in this subsection.
Note that the data are simulated according to the hierarchical inverse gamma and inverse gamma model (2.1) with , , and . Moreover, the oracle method knows the hyperparameters , , and in simulations.
Comparisons of the Bayes estimators and the PESLs of the three methods for sample size and number of simulations are displayed in figure 2.6. From the figure, we observe the following facts.
1. Plot (a): For the Bayes estimators of under Stein’s loss function , the MLE method is slightly closer to the oracle method than the moment method.
2. Plot (b): For the Bayes estimators of under the squared error loss function , the MLE method is also slightly closer to the oracle method than the moment method.
3. Plot (c): For the PESLs , the MLE method is much closer to the oracle method than the moment method.
4. Plot (d): For the PESLs , the MLE method is also much closer to the oracle method than the moment method.
5. All four plots indicate that the MLE method is better than the moment method, as the Bayes estimators and the PESLs of the MLE method are closer to those of the oracle method than those of the moment method.
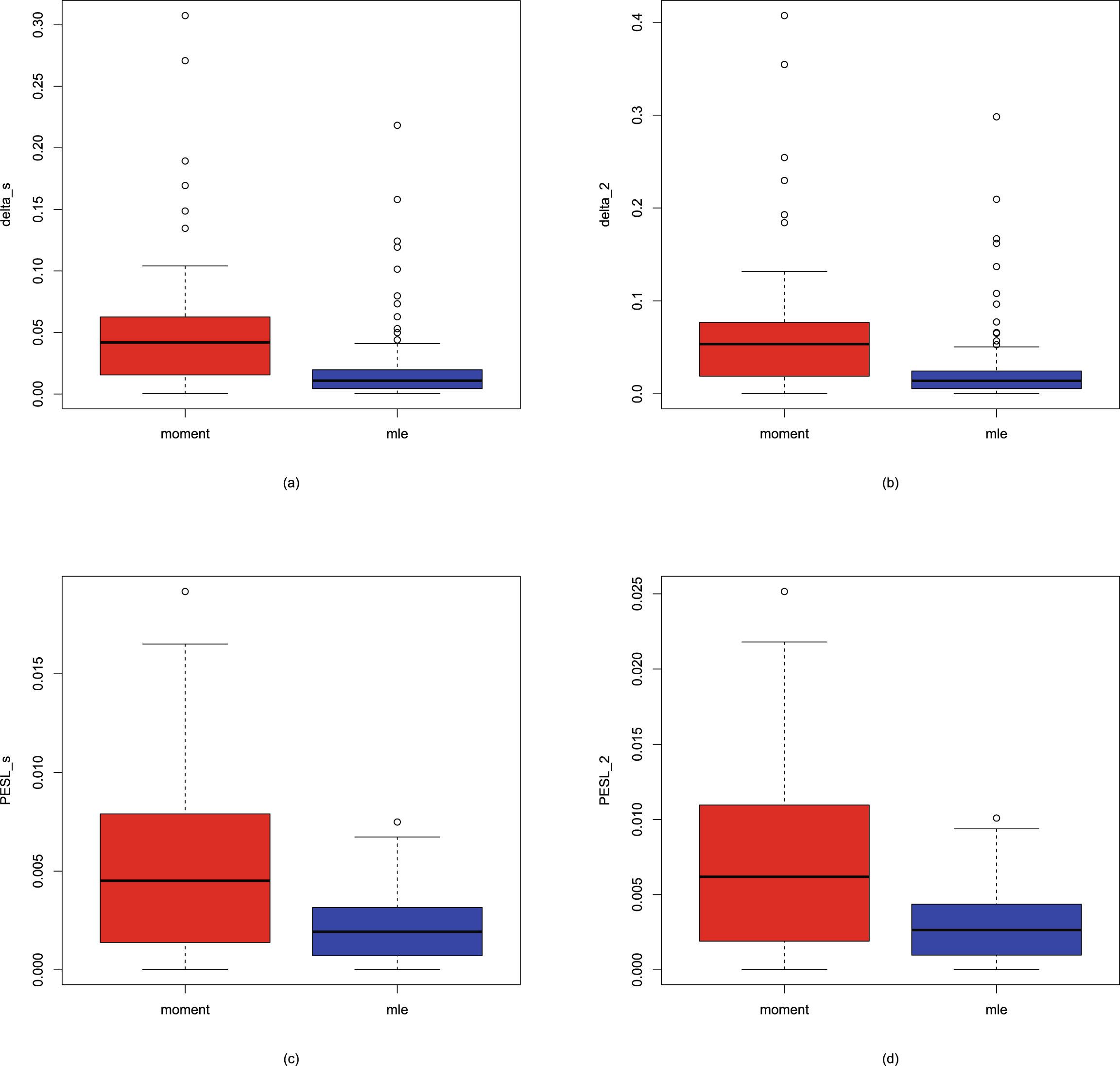
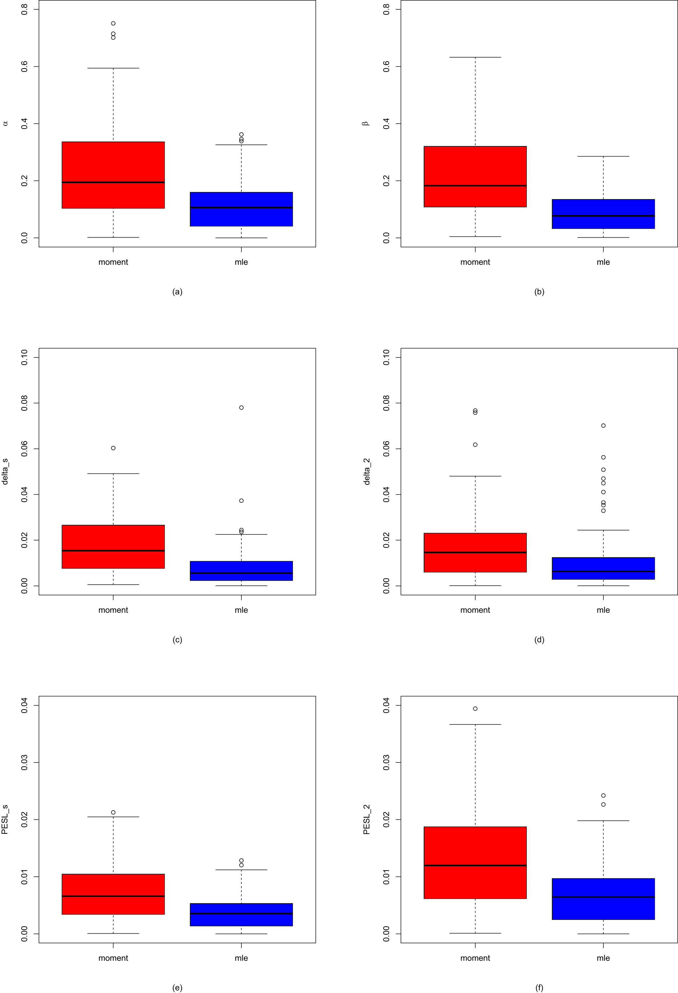
The boxplots of the absolute errors from the oracle method by the moment method, and the MLE method for sample size and number of simulations are displayed in figure 2.7. All four plots indicate that the MLE method is better than the moment method, as the absolute errors from the oracle method of the Bayes estimators and the PESLs by the MLE method are much smaller than those of the moment method.
The averages and proportions of the absolute errors from the oracle method by the moment method, and the MLE method for the Bayes estimators and the PESLs are summarized in table 2.7. See Subsection 1.8.3 for details. From the table, we observe that the averages of the absolute errors from the oracle method by the MLE method are much smaller than those by the moment method. Moreover, the proportions of the absolute errors from the oracle method by the MLE method are much larger than those by the moment method. In summary, the table illustrates that the MLE method is better than the moment method in terms of the averages and proportions of the absolute errors from the oracle method.
FIG. 2.6 — IG-IG: Comparisons of the Bayes estimators and the PESLs of the three methods for sample size and number of simulations . (a) . (b) . (c) . (d) .
FIG. 2.7 — IG-IG: The boxplots of the absolute errors from the oracle method by the moment method, and the MLE method for sample size and number of simulations . (a) Absolute errors for . (b) Absolute errors for . (c) Absolute errors for . (d) Absolute errors for .
TAB. 2.7 — IIG-IG: The averages and proportions of the absolute errors from the oracle method by the moment method and the MLE method for the Bayes estimators and the PESLs.
Averages Proportions
Moment MLE Moment MLE
0.0491 0.0210 0.20 0.80
0.0626 0.0275 0.21 0.79
0.0056 0.0022 0.29 0.71
0.0075 0.0030 0.29 0.71
图

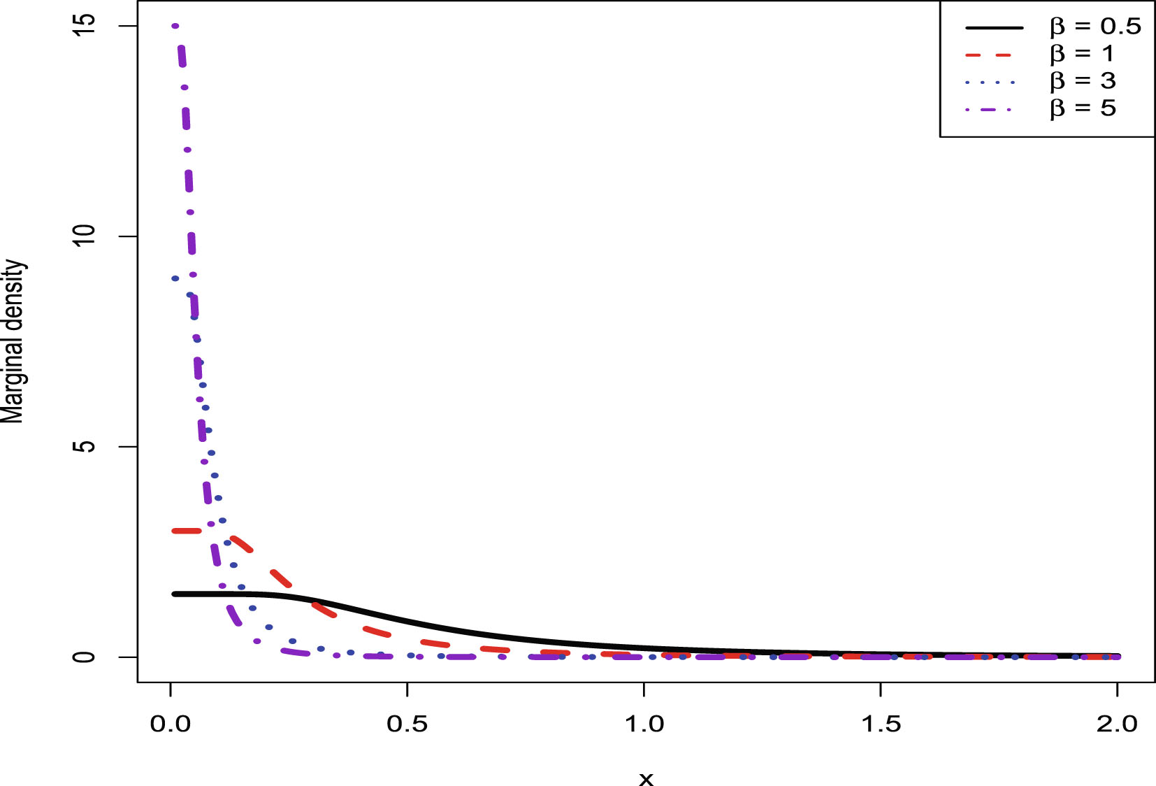
2.3.5 Marginal Densities for Various Hyperparameters

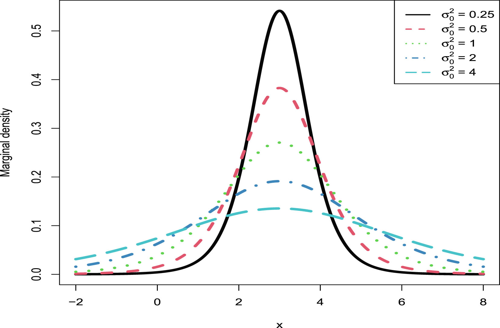
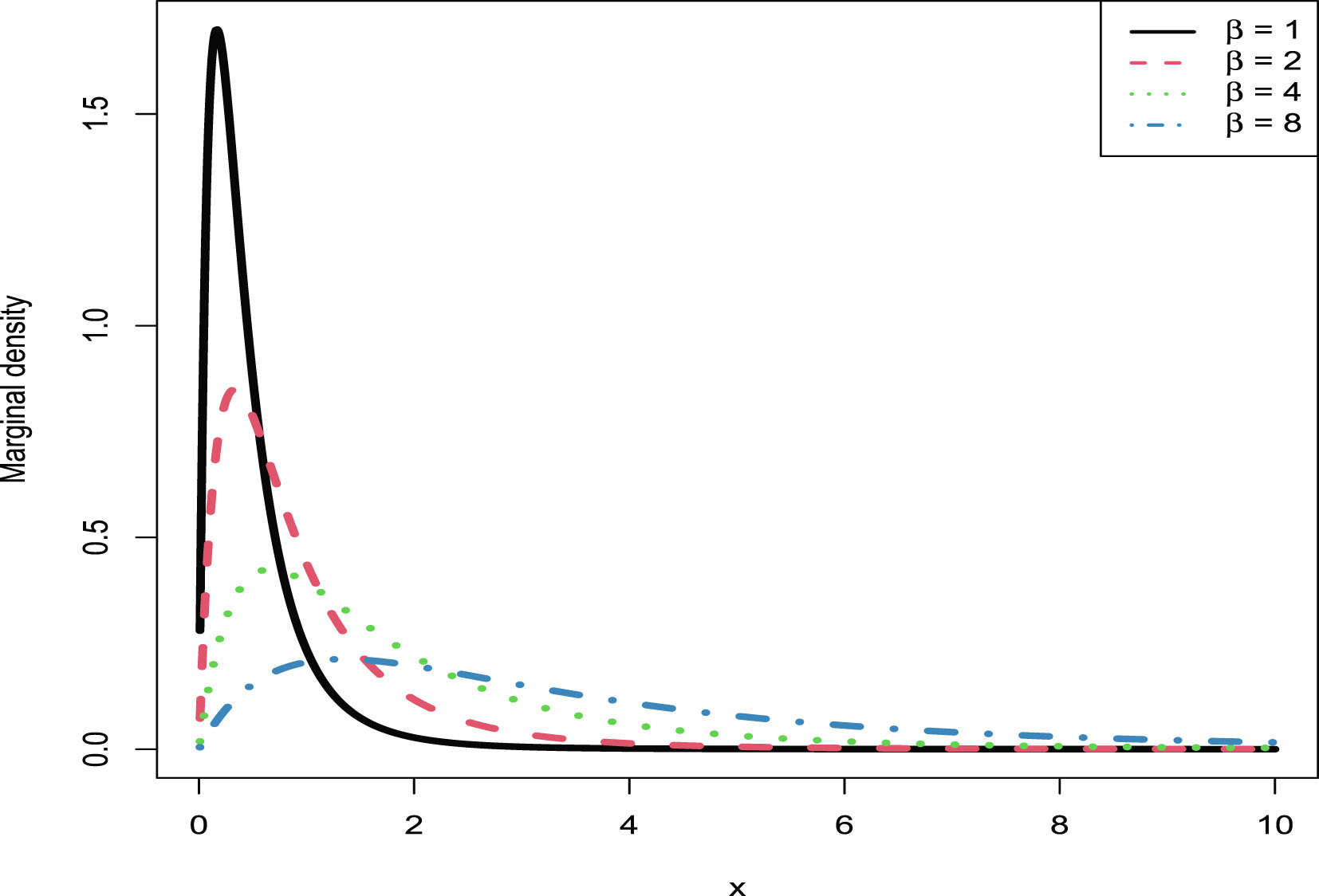
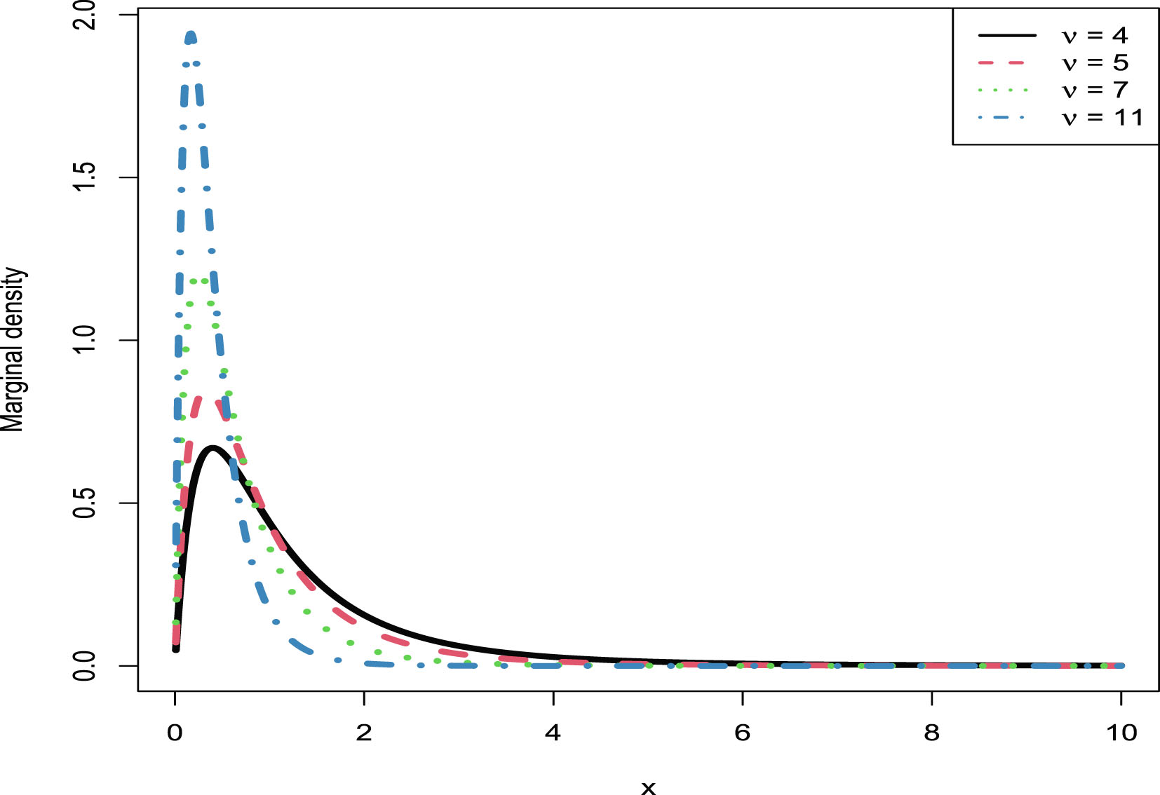
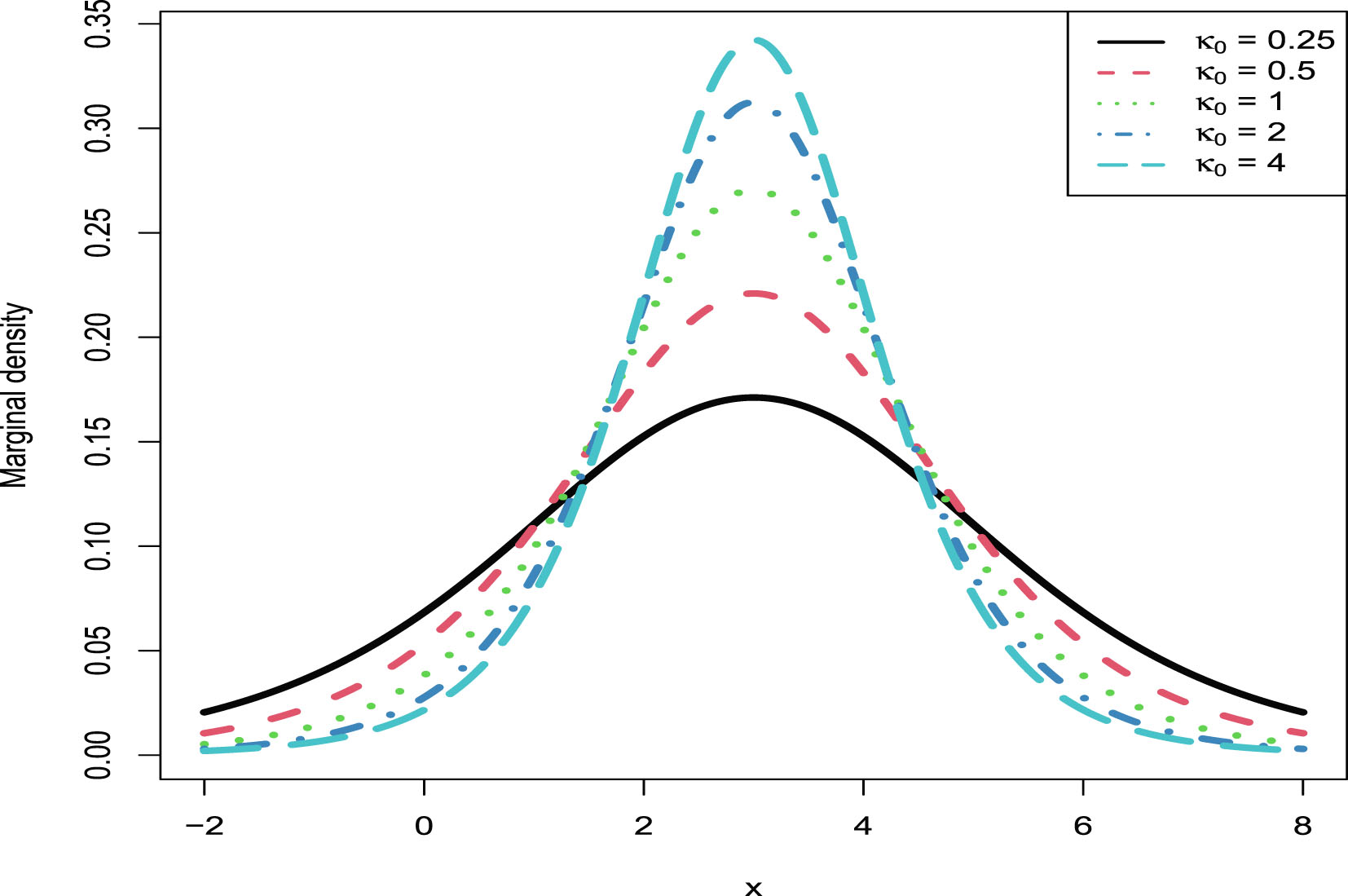
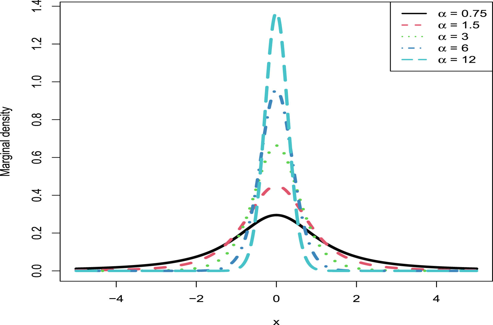
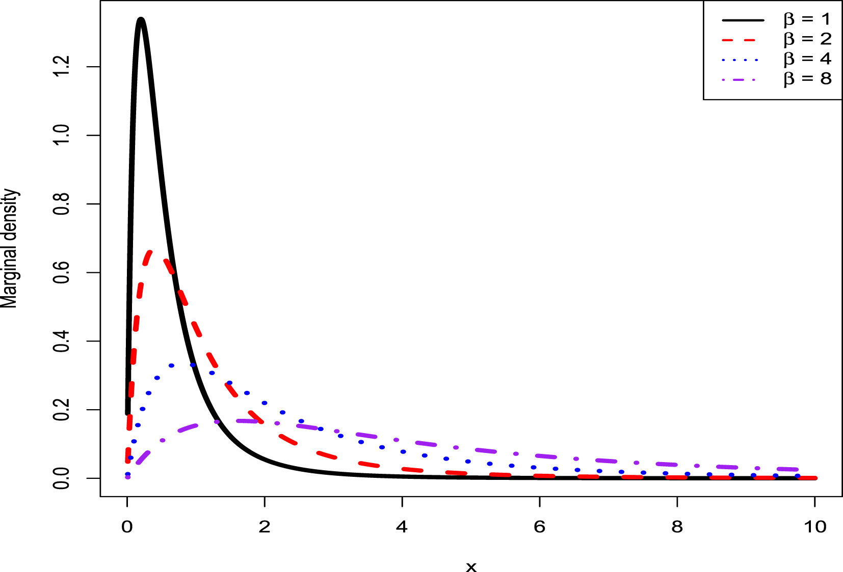
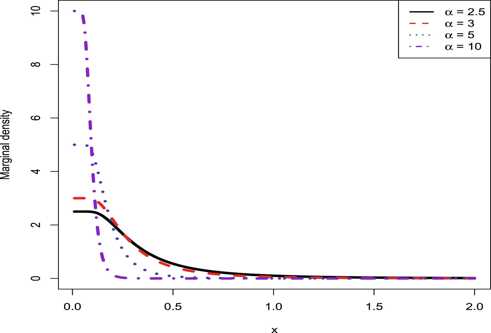
In this subsection, we will plot the marginal densities of the hierarchical inverse gamma and inverse gamma model (2.1) for various hyperparameters , , and . The motivation of this subsection is that we want to know what kind of data can be modeled by the hierarchical inverse gamma and inverse gamma model (2.1). Note that the marginal density of is given by (2.3) specified by three hyperparameters , , and . We will explore how the marginal densities change around the marginal density with hyperparameters specified by , , and . Other numerical values of the hyperparameters can also be specified.
Figure 2.8 plots the marginal densities for varied , holding and fixed. From the figure, we see that as increases, the peak value of the curve decreases. In other words, the variance of the marginal density increases as
(2.16)
is an increasing function of . Moreover, all the marginal densities are right-skewed.
FIG. 2.8 — IG-IG: The marginal densities for varied , holding and fixed.
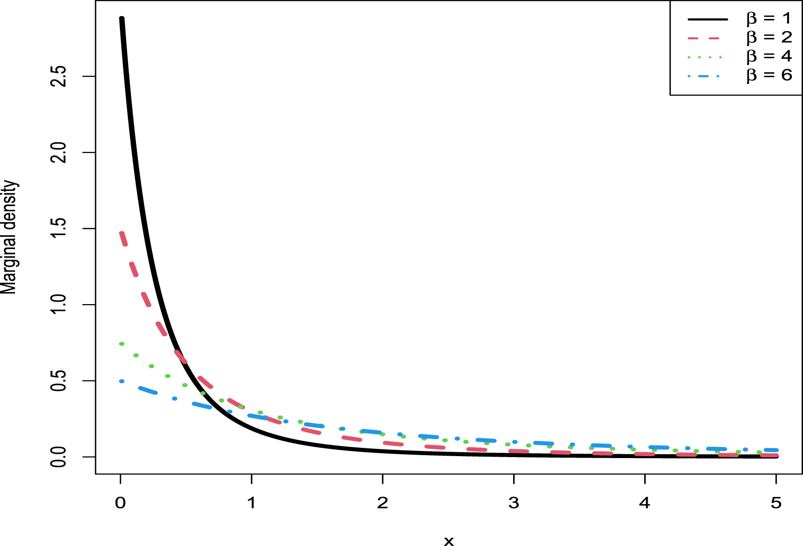
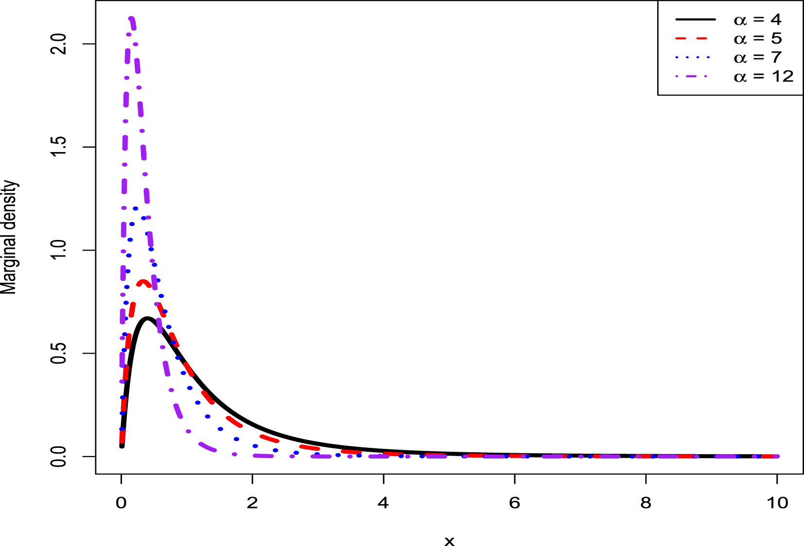
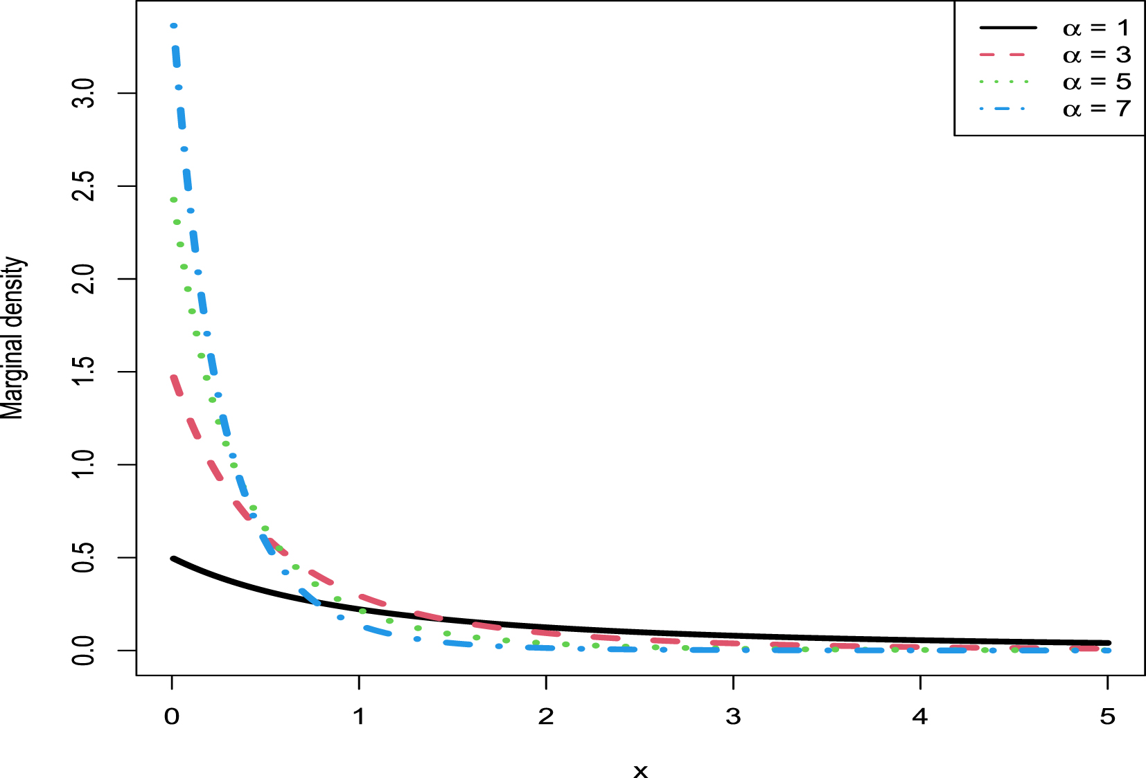
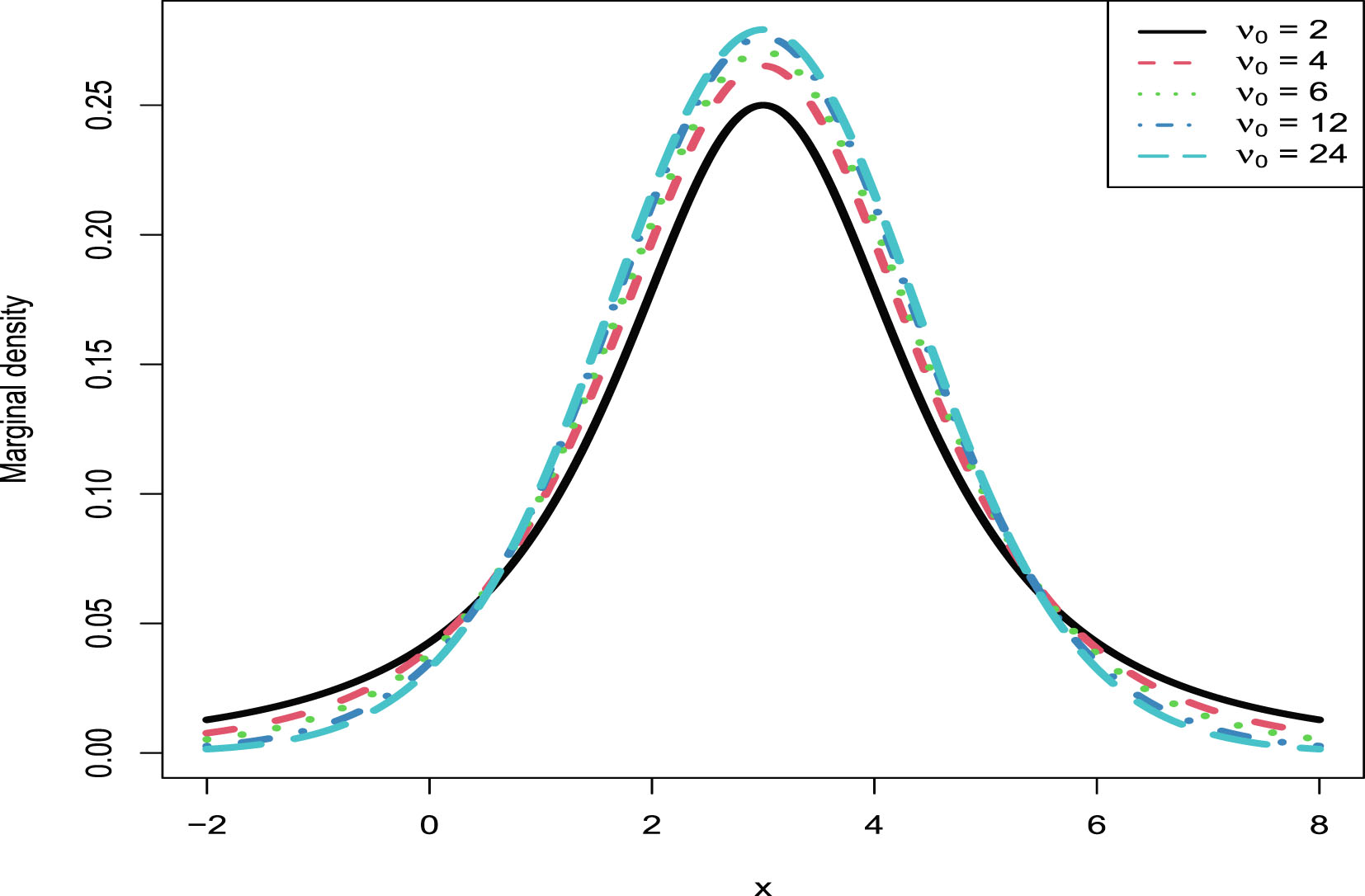
Figure 2.9 plots the marginal densities for varied , holding and fixed. From the figure, we also see that as increases, the peak value of the curve decreases. In other words, the variance of the marginal density increases, as (2.16) is an increasing function of . Moreover, all the marginal densities are also right-skewed.
Figure 2.10 plots the marginal densities for varied , holding and fixed. From the figure, we see that as increases, the peak value of the curve increases. In other words, the variance of the marginal density decreases, as (2.16) is a decreasing function of . Moreover, all the marginal densities are also right-skewed.
FIG. 2.9 — IG-IG: The marginal densities for varied , holding and fixed.
图

2.4 Conclusions and Discussions

For the hierarchical inverse gamma and inverse gamma model (2.1), we calculate the posterior density and the marginal density in Theorem 2.1. Since is a rate parameter in (2.1), the Bayes estimator of under the squared error loss function is not appropriate. In contrast, we should choose Stein’s loss function because it penalizes gross overestimation and gross underestimation equally. After that, we calculate the Bayes estimators of , and , and the PESLs of , and .
FIG. 2.10 — IG-IG: The marginal densities for varied , holding and fixed.
In order to calculate the empirical Bayes estimator of the rate parameter , we must calculate the estimators of the hyperparameters of model (2.1). The estimators of the hyperparameters of model (2.1) by the moment method and their consistencies are summarized in Theorem 2.2. Moreover, the estimators of the hyperparameters of model (2.1) by the MLE method and their consistencies are summarized in Theorem 2.3. Finally, the empirical Bayes estimators of the rate parameter of the model (2.1) under Stein’s loss function by the moment method and the MLE method are summarized in Theorem 2.4.
Note that in Theorem 2.3, we only stated that the estimators of the hyperparameters of model (2.1) by the MLE method , , and are the solutions to the equations (2.13)–(2.15). We can exploit Newton’s method to solve the equations (2.13)–(2.15) and to numerically obtain the MLEs of , , and . However, we can not prove the existence and uniqueness of the solutions to our system. The interested readers who have such kind of knowledge and skills are encouraged to solve this issue.
Numerical simulations illustrate that the moment estimators (, , and ) and the MLEs (, , and ) are consistent estimators of the hyperparameters (, , and ), as reported in table 2.5. Moreover, table 2.6 indicates that the hierarchical inverse gamma and inverse gamma model (2.1) fits the simulated data well in terms of the KS test goodness-of-fit by the moment method and the MLE method.
The plots of the marginal densities show that all the curves are right-skewed. Therefore, the hierarchical inverse gamma and inverse gamma model (2.1) could potentially be used to fit right-skewed data, not left-skewed data.
It is common to assume that the variance parameter (or positive parameter) follows an inverse gamma distribution. Therefore, the hierarchical inverse gamma and inverse gamma model (2.1), as a more variable inverse gamma distribution, could be used to model the variance parameter (or positive parameter).
图

Chapter 3 The Empirical Bayes Estimators of the Rate Parameter of the Gamma Distribution with a Conjugate Gamma Prior under Stein’s Loss Function

For the hierarchical gamma and gamma model, we calculate the Bayes estimator of the rate parameter of the gamma distribution under Stein’s loss function, which penalizes gross overestimation and gross underestimation equally, and the corresponding PESL. We also obtain the Bayes estimator of the rate parameter under the squared error loss function and the corresponding PESL. Moreover, we obtain the empirical Bayes estimators of the rate parameter of the gamma distribution with a conjugate gamma prior by the moment and MLE methods under Stein’s loss function. In numerical simulations, we have illustrated five aspects: The two inequalities of the Bayes estimators and the PESLs for the oracle method; the moment estimators and the MLEs are consistent estimators of the hyperparameters; the goodness-of-fit of the model to the simulated data; the comparisons of the Bayes estimators and the PESLs of the oracle, moment, and MLE methods; and the marginal densities of the model for various hyperparameters. The numerical results indicate that the MLEs are better than the moment estimators when estimating the hyperparameters. Finally, the hierarchical gamma and gamma model could potentially be used to fit right-skewed data, not left-skewed data.
Acknowledgement. This chapter is derived in part from an article Shi et al. (2025) published in Communications in Statistics-Simulation and Computation 22 June 2024 <copyright Taylor & Francis>, available online: http://www.tandfonline.com/10.1080/03610918.2024.2369811.
图

3.1 Introduction

The hierarchical gamma and gamma model (3.1) has been considered in table 3.3.1 (p. 121) and table 4.2.1 (p. 176) of Robert (2007). However, he only calculated the Bayes estimator of under the squared error loss function. Since the rate parameter is a positive parameter, the Bayes estimator of under the squared error loss function is not appropriate. In contrast, we should choose Stein’s loss function (James and Stein (1961); see also Brown (1990)) because it penalizes gross overestimation and gross underestimation equally. To determine the unknown hyperparameters, we adopt the empirical Bayes method. In this chapter, we calculate the Bayes estimator of under Stein’s loss function and the corresponding PESL. We also obtain the Bayes estimator of under the squared error loss function and the corresponding PESL. Moreover, we obtain the empirical Bayes estimators of the rate parameter of the gamma distribution with a conjugate gamma prior by the moment method and the MLE method under Stein’s loss function.
The rest of the chapter is organized as follows. In section 3.2, we calculate the Bayes estimators and the PESLs, and they satisfy two inequalities (3.6) and (3.9). Moreover, we summarize the empirical Bayes estimators of the parameter of the model (3.1) under Stein’s loss function by the moment method and the MLE method in Theorem 3.4. Furthermore, we have theoretically compared the Bayes estimators and the PESLs of the three methods (the oracle method, the moment method, and the MLE method). In section 3.3, we will carry out some numerical simulations, where we will illustrate five aspects. First, we will numerically exemplify the two inequalities of the Bayes estimators and the PESLs for the oracle method. Second, we will illustrate that the moment estimators and the MLEs are consistent estimators of the hyperparameters. Third, we will calculate the goodness-of-fit of the model (3.1) to the simulated data. Fourth, we will numerically compare the Bayes estimators and the PESLs of the three methods. Finally, we will plot the marginal densities of the hierarchical gamma and gamma model (3.1) for various hyperparameters. Some conclusions and discussions are provided in section 3.4.
图

3.2 Theoretical Results

Suppose that we observe from the hierarchical gamma and gamma model:
(3.1)
where , , and are hyperparameters to be estimated, is the unknown parameter of interest, is the gamma distribution with shape parameter and rate parameter , and is the gamma distribution with shape parameter and rate parameter . As described in Deely and Lindley (1981), the statistician observes data and wishes to make an inference about . Therefore, provides direct information about the parameter , while supplementary information is also available. The connection between the prime data and the supplementary information is provided by the common distributions and . The pdfs of and can be found in section 1.2.
Now we give the justifications of why is the only parameter of interest. The pdf of is
for and . We can only handle the case of an unknown rate parameter , letting the shape parameter be a hyperparameter to be determined. If the shape parameter is also an unknown parameter of interest, then we have to deal with the part in the posterior distribution, which is very complicated and has no analytical solutions. It seems that the Bayesian community avoids dealing with such a situation by letting be a known constant or assuming be a hyperparameter to be determined.
图

3.2.1 The Bayes Estimators and the PESLs

For the hierarchical gamma and gamma model (3.1), the posterior density of and the marginal density of are given by the following theorem, whose proof can be found in appendix A.5.
Theorem 3.1. For the hierarchical gamma and gamma model (3.1), the posterior density of is
where
(3.2)
Moreover, the marginal density of is
(3.3)
for and .
From Theorem 3.1, we have
Since is a rate parameter of the gamma distribution, the Bayes estimator of under the squared error loss function is not appropriate. In contrast, we should choose Stein’s loss function because it penalizes gross overestimation and gross underestimation equally. From (1.12), the Bayes estimator of under Stein’s loss function is given by
(3.4)
for , where and are given by (3.2). Moreover, from (1.13), the Bayes estimator of under the usual squared error loss function is given by
(3.5)
It is easy to see that
(3.6)
which exemplifies the theoretical study of (1.16). Furthermore, from (1.14) and (1.15), the PESLs at and are respectively given by
(3.7)
and
(3.8)
where
is the digamma function. It is worth noting that the two PESLs and ) depend on , which is given by
The calculations of and the two PESLs can be found in appendix A.6. It is easy to show that
(3.9)
which exemplifies the theoretical study of (1.17). The numerical simulations will exemplify (3.6) and (3.9).
It is worth noting that the Bayes estimators and the PESLs in this subsection assume that the hyperparameters , , and are known. In other words, the Bayes estimators and the PESLs in this subsection are calculated by the oracle method, which will be further discussed in subsection 3.2.3.
图

3.2.2 The Empirical Bayes Estimators of θn+1

To obtain the empirical Bayes estimators of , we need to estimate the hyperparameters from the supplementary information . There are two common methods to estimate the hyperparameters: the moment method and the MLE method.
The estimators of the hyperparameters of the model (3.1) by the moment method , , and and their consistencies are summarized in the following theorem, whose proof can be found in appendix A.7.
Theorem 3.2. The estimators of the hyperparameters of the model (3.1) by the moment method are
(3.10)
(3.11)
(3.12)
where , , is the sample th moment of . Moreover, the moment estimators are consistent estimators of the hyperparameters.
The estimators of the hyperparameters of the model (3.1) by the MLE method , , and and their consistencies are summarized in the following theorem whose proof can be found in appendix A.8.
Theorem 3.3. The estimators of the hyperparameters of the model (3.1) by the MLE method , , and are the solutions to the following equations:
(3.13)
(3.14)
(3.15)
Moreover, the MLEs are consistent estimators of the hyperparameters.
The analytical calculations of the MLEs of , , and by solving the equations (3.13)–(3.15) are impossible, and thus we have to resort to numerical solutions. We can exploit Newton’s method to solve the equations (3.13)–(3.15) and to obtain the MLEs of , , and . Note that the MLEs of , , and are very sensitive to the initial estimators, and the moment estimators are usually proven to be good initial estimators.
Finally, the empirical Bayes estimators of the parameter of the model (3.1) under Stein’s loss function by the moment method and the MLE method are summarized in the following theorem.
Theorem 3.4. The empirical Bayes estimator of the parameter of the model (3.1) under Stein’s loss function by the moment method is given by (3.4) with the hyperparameters estimated by in Theorem 3.2. Alternatively, the empirical Bayes estimator of the parameter of the model (3.1) under Stein’s loss function by the MLE method is given by (3.4) with the hyperparameters estimated by numerically determined in Theorem 3.3
图

3.2.3 Theoretical Comparisons of the Bayes Estimators and the PESLs of Three Methods

In this subsection, similar to section 1.7, we will theoretically compare the Bayes estimators and the PESLs of the three methods (the oracle method, the moment method, and the MLE method) for the hierarchical gamma and gamma model (3.1). Note that the numerical comparisons of the Bayes estimators and the PESLs of the three methods can be found in subsection 3.3.4.
Note that the subscripts 0, 1, and 2 below are for the oracle method, the moment method, and the MLE method, respectively. The PESL functions of the three methods are respectively given by
where
, , and are unknown hyperparameters, , , and given in Theorem 3.2 are the moment estimators of the hyperparameters, and , , and numerically determined in Theorem 3.3 are the MLEs of the hyperparameters.
The Bayes estimators of under Stein’s loss function are given by
The Bayes estimators of under the squared error loss function are given by
The PESLs evaluated at the Bayes estimators are given by
The PESLs evaluated at the Bayes estimators are given by
图

3.3 Simulations

In this section, we will carry out the numerical simulations for the hierarchical gamma and gamma model (3.1). We will illustrate five aspects. First, we will numerically exemplify (3.6) and (3.9) for the oracle method. Second, we will illustrate that the moment estimators and the MLEs are consistent estimators of the hyperparameters. Third, we will calculate the goodness-of-fit of the model (3.1) to the simulated data. Fourth, we will numerically compare the Bayes estimators and the PESLs of the three methods (the oracle method, the moment method, and the MLE method). Finally, we will plot the marginal densities of the model (3.1) for various hyperparameters.
The simulated data are generated according to the model (3.1) with the hyperparameters specified by , , and . The reason why we choose these values is that , , and are required in the moment estimations of the hyperparameters. Other numerical values of the hyperparameters can also be specified.
图

3.3.1 Two Inequalities of the Bayes Estimators and the PESLs

In this subsection, we will numerically exemplify the two inequalities of the Bayes estimators and the PESLs (3.6) and (3.9) for the oracle method. The motivation of this subsection is that theoretically we have the two inequalities (3.6) and (3.9).
First, we fix , , and . Then we set a seed number 1 in R software and draw from . After that, we draw from . Figure 3.1 shows the histogram of and the density estimation curve of . It is that we find to minimize the PESL. Numerical results show that
and
which exemplify the theoretical studies of (3.6) and (3.9).
FIG. 3.1 — G-G: The histogram of and the density estimation curve of .
In figure 3.2, we fix , , and , but allow to change from 1 to 10. From the figure, we see that the Bayes estimators and the PESLs are functions of . The numerical values of the Bayes estimators and the PESLs in figure 3.2 are displayed in table 3.1. We see from plot (a) or the first two lines of table 3.1 that the Bayes estimators are decreasing functions of , and are unanimously smaller than , and thus (3.6) is exemplified. Plot (b) or the last two lines of table 3.1 exhibit that the PESLs do not depend on , and are unanimously smaller than , and thus (3.9) is exemplified.
FIG. 3.2 — G-G: The Bayes estimators and the PESLs as functions of . (a) Bayes estimators. (b) PESLs.
TAB. 3.1 — G-G: The numerical values of the Bayes estimators and the PESLs in figure 3.2: changes.
1 2 3 4 5 6 7 8 9 10
1.6667 1.2500 1.0000 0.8333 0.7143 0.6250 0.5556 0.5000 0.4545 0.4167
2.0000 1.5000 1.2000 1.0000 0.8571 0.7500 0.6667 0.6000 0.5455 0.5000
0.0967 0.0967 0.0967 0.0967 0.0967 0.0967 0.0967 0.0967 0.0967 0.0967
0.1144 0.1144 0.1144 0.1144 0.1144 0.1144 0.1144 0.1144 0.1144 0.1144
Now we allow one of the three parameters , , and to change, holding other parameters fixed. Moreover, we also assume that the datum is fixed, as is the case for the real data. Figure 3.3 shows the Bayes estimators and the PESLs as functions of , , and . We see from the left plots of the figure that the Bayes estimators depend on , , and , and (3.6) is exemplified. Moreover, the Bayes estimators are increasing functions of and , and they are decreasing functions of . The right plots of the figure exhibit that the PESLs depend on and , but not on , and (3.9) is exemplified. In addition, the PESLs are decreasing functions of and . Furthermore, tables 3.23.4 display the numerical values of the Bayes estimators and the PESLs in figure 3.3. In summary, the results of figure 3.3 and tables 3.23.4 exemplify the theoretical studies of (3.6) and (3.9).
TAB. 3.2 — G-G: The numerical values of the Bayes estimators and the PESLs in figure 3.3: changes.
4 5 6 7 8 9 10 11 12 13
2.0700 2.4840 2.8980 3.3120 3.7260 4.1400 4.5540 4.9681 5.3821 5.7961
2.4840 2.8980 3.3120 3.7260 4.1400 4.5540 4.9681 5.3821 5.7961 6.2101
0.0967 0.0810 0.0697 0.0612 0.0545 0.0492 0.0448 0.0411 0.0380 0.0353
0.1144 0.0935 0.0791 0.0684 0.0603 0.0539 0.0487 0.0444 0.0408 0.0377
Since the Bayes estimators and and the PESLs and depend on and , where and , we can plot the surfaces of the Bayes estimators and the PESLs on the domain via the R function persp3d() in the R package rgl (see Sun et al. (2021); Zhang et al. (2017, 2019b); Adler et al. (2017)). We remark that the R function persp() in the R package graphics can not add another surface to the existing surface, but persp3d() can. Moreover, persp3d() allows one to rotate the perspective plots of the surface according to one’s wishes. Figure 3.4 plots the surfaces of the Bayes estimators and the PESLs, and the surfaces of the differences of the Bayes estimators and the PESLs. The domain for is for all the plots. a is for and b is for in the axes of all the plots. The red surface is for and the blue surface is for in the upper two plots. From the left two plots of the figure, we see that for all on . From the right two plots of the figure, we see that for all on . The results of the figure exemplify the theoretical studies of (3.6) and (3.9).
FIG. 3.3 — G-G: The Bayes estimators and the PESLs as functions of , , and . (a) Bayes estimators vs. . (b) PESLs vs. . (c) Bayes estimators vs. . (d) PESLs vs. . (e) Bayes estimators vs. . (f) PESLs vs. .
TAB. 3.3 — G-G: The numerical values of the Bayes estimators and the PESLs in figure 3.3: changes.
1 2 3 4 5 6 7 8 9 10
3.5325 2.0700 1.4639 1.1324 0.9233 0.7794 0.6743 0.5941 0.5310 0.4801
4.2390 2.4840 1.7567 1.3589 1.1079 0.9352 0.8091 0.7130 0.6373 0.5761
0.0967 0.0967 0.0967 0.0967 0.0967 0.0967 0.0967 0.0967 0.0967 0.0967
0.1144 0.1144 0.1144 0.1144 0.1144 0.1144 0.1144 0.1144 0.1144 0.1144
TAB. 3.4 — G-G: The numerical values of the Bayes estimators and the PESLs in figure 3.3: changes.
1 2 3 4 5 6 7 8 9 10
1.4624 1.8279 2.1935 2.5591 2.9247 3.2903 3.6559 4.0215 4.3871 4.7527
1.8279 2.1935 2.5591 2.9247 3.2903 3.6559 4.0215 4.3871 4.7527 5.1182
0.1198 0.0967 0.0810 0.0697 0.0612 0.0545 0.0492 0.0448 0.0411 0.0380
0.1467 0.1144 0.0935 0.0791 0.0684 0.0603 0.0539 0.0487 0.0444 0.0408
图

3.3.2 Consistencies of the Moment Estimators and the MLEs

In this subsection, similar to subsection 1.8.1, we will numerically exemplify that the moment estimators and the MLEs are consistent estimators of the hyperparameters , , and of the hierarchical gamma and gamma model (3.1). The motivation of this subsection is that in Theorems 3.2 and 3.3, we have theoretically shown that the moment estimators and the MLEs are consistent estimators of the hyperparameters. Note that only are used in this subsection.
The frequencies of the moment estimators (, , and ) and the MLEs (, , and ) of the hyperparameters (, , and ) as varies for and , 0.5, and 0.1 are reported in table 3.5. From the table, we observe the following facts.
1. Given , 0.5, or 0.1, the frequencies of the estimators (, , , or , ) tend to 0 as increases to infinity, which means that the moment estimators and the MLEs are consistent estimators of the hyperparameters. For , the frequencies of the estimators are still very large. However, we observe the tendencies of declining to 0 as increases to infinity.
FIG. 3.4 — G-G: (a) The Bayes estimators as functions of and . (b) The PESLs as functions of and . (c) The surface of which is positive for all on . (d) The surface of which is also positive for all on .
2. Comparing the frequencies corresponding to , 0.5, and 0.1, we observe that as gets smaller, the frequencies tend to be larger, since the constraints
are easier to meet.
3. Comparing the moment estimators and the MLEs of the hyperparameters , , and , we see that the frequencies of the MLEs are smaller than those of the moment estimators, which means that the MLEs are better than the moment estimators when estimating the hyperparameters in terms of consistency.
图

3.3.3 Goodness-of-Fit of the Model: KS Test

In this subsection, similar to subsection 1.8.2, we will calculate the goodness-of-fit of the hierarchical gamma and gamma model (3.1) to the simulated data. The motivation of this subsection is that we want to check whether the marginal distribution of the hierarchical gamma and gamma model (3.1) fits the simulated data well. Note that only are used in this subsection.
In our problem, the null hypothesis specifies that
where is the marginal distribution of the hierarchical gamma and gamma model (3.1). The marginal density of the distribution is given by (3.3), which is obviously one-dimensional continuous. Hence, the KS test can be utilized as a measure of the goodness-of-fit.
The results of the KS test goodness-of-fit of the model (3.1) to the simulated data are reported in table 3.6. Note that the data are simulated according to the hierarchical gamma and gamma model (3.1) with , , and . In the table, the hyperparameters , , and are estimated by three methods. The first method is the oracle method, in that we know the hyperparameters , , and . The second method is the moment method, in that the hyperparameters , , and are estimated by their moment estimators (see Theorem 3.2). The third method is the MLE method, in that the hyperparameters , , and are estimated by their MLEs (see Theorem 3.3). In the table, the sample size is , and the number of simulations is .
TAB. 3.5 — G-G: The frequencies of the moment estimators and the MLEs of the hyperparameters as varies for and , 0.5, and 0.1.
Moment estimators MLEs
1e4 0.27 0.56 0.01 0 0.01 0.01
2e4 0.21 0.46 0 0 0 0
4e4 0.11 0.32 0 0 0 0
8e4 0.04 0.21 0 0 0 0
1e4 0.70 0.78 0.15 0.04 0.04 0.02
2e4 0.63 0.75 0.04 0 0.01 0
4e4 0.50 0.69 0.03 0.01 0.03 0.01
8e4 0.44 0.60 0.03 0.01 0.01 0
1e4 0.95 0.99 0.92 0.60 0.55 0.07
2e4 0.92 0.93 0.91 0.44 0.36 0.01
4e4 0.93 0.96 0.93 0.27 0.19 0.05
8e4 0.91 0.93 0.90 0.13 0.08 0.01
From table 3.6, we observe the following facts.
1. The values for the three methods are respectively given by 0.2674, 0.0292, and 0.0088, which means that the MLE method is the best method, the moment method is the second-best method, and the oracle method is the worst method. A possible explanation for this phenomenon is that in (1.23), the empirical cdf is based on data, and the population cdfs for the MLE method and the moment method are also based on data, while the population cdf for the oracle method is not based on data.
2. The values for the three methods are respectively given by 0.0161, 0.0679, and 0.7956, which also means that the MLE method ranks first, the moment method ranks second, and the oracle method ranks third. The possible explanation for this phenomenon is described in the previous paragraph.
3. The values for the three methods are respectively given by 0.01, 0.06, and 0.93. The value for the MLE method accounts for nearly all of the simulations. The order of preference for the three methods is the MLE method, the moment method, and the oracle method.
4. The values for the three methods are respectively given by 0.02, 0.07, and 0.91. The value for the MLE method accounts for nearly all of the simulations. The order of preference for the three methods is the MLE method, the moment method, and the oracle method.
5. The values for the three methods are respectively given by 0.04, 0.20, and 0.95. Once again, the order of preference for the three methods is the MLE method, the moment method, and the oracle method. The value for the MLE method is over , which means that the MLE method has good performance in terms of goodness-of-fit.
6. In summary, for the five indices (, , , , ), the order of preference for the three methods is the MLE method, the moment method, and the oracle method. Comparing the moment method and the MLE method, we find that the MLE method has a better performance than the moment method in terms of all five indices.
TAB. 3.6 — G-G: The results of the KS test goodness-of-fit of the model (3.1) to the simulated data.
0.2674 0.0292 0.0088
0.0161 0.0679 0.7956
0.01 0.06 0.93
% 0.02 0.07 0.91
% 0.04 0.20 0.95
The boxplots of the values and the p-values for the three methods are displayed in figure 3.5. From the figure, we observe the following facts.
1. The values of the oracle method are significantly larger than those of the other two methods. Since for the value, the smaller the better, the order of preference for the three methods is the MLE method, the moment method, and the oracle method.
2. The p-values of the MLE method are significantly larger than those of the other two methods. Since for the p-value, the larger the better, the order of preference for the three methods is the MLE method, the moment method, and the oracle method.
3. Small values correspond to large p-values, and large values correspond to small p-values.
4. The MLE method has a better performance than the moment method in terms of the values and the p-values.
FIG. 3.5 — G-G: The boxplots of the values and the p-values for the three methods. (a) values. (b) p-values.
图

3.3.4 Numerical Comparisons of the Bayes Estimators and the PESLs of Three Methods

In this subsection, we will numerically compare the Bayes estimators and the PESLs of the three methods (the oracle method, the moment method, and the MLE method). The motivation of this subsection is that the theoretical comparisons of the Bayes estimators and the PESLs of the three methods can be found in subsection 3.2.3. Note that the full data are used in this subsection.
Note that the data are simulated according to the hierarchical gamma and gamma model (3.1) with hyperparameters , , and . Moreover, the oracle method knows the hyperparameters , , and in simulations.
Comparisons of the Bayes estimators and the PESLs of the three methods for sample size and number of simulations are displayed in figure 3.6. From the figure, we observe the following facts.
1. Plot (a): For the Bayes estimators of under Stein’s loss function , the MLE method is slightly closer to the oracle method than the moment method.
2. Plot (b): For the Bayes estimators of under the squared error loss function , the MLE method is also slightly closer to the oracle method than the moment method.
3. Plot (c): For the PESLs , the MLE method is much closer to the oracle method than the moment method.
4. Plot (d): For the PESLs , the MLE method is also much closer to the oracle method than the moment method.
5. All four plots indicate that the MLE method is better than the moment method, as the Bayes estimators and the PESLs of the MLE method are closer to those of the oracle method than those of the moment method.
The boxplots of the absolute errors from the oracle method by the moment method and the MLE method for sample size and number of simulations are displayed in figure 3.7. All four plots indicate that the MLE method is better than the moment method, as the absolute errors from the oracle method of the Bayes estimators and the PESLs by the MLE method are much smaller than those by the moment method.
FIG. 3.6 — G-G: Comparisons of the Bayes estimators and the PESLs of the three methods for sample size and number of simulations . (a) . (b) . (c) . (d) .
FIG. 3.7 — G-G: The boxplots of the absolute errors from the oracle method by the moment method and the MLE method for sample size and number of simulations . (a) Absolute errors for . (b) Absolute errors for . (c) Absolute errors for . (d) Absolute errors for .
The averages and proportions of the absolute errors from the oracle method by the moment method and the MLE method for the Bayes estimators and the PESLs are summarized in table 3.7. See subsection 1.8.3 for details. From the table, we observe that the averages of the absolute errors from the oracle method by the MLE method are much smaller than those by the moment method. Moreover, the proportions of the absolute errors from the oracle method by the MLE method are much larger than those by the moment method. In summary, the table illustrates that the MLE method is better than the moment method in terms of the averages and proportions of the absolute errors from the oracle method.
TAB. 3.7 — G-G: The averages and proportions of the absolute errors from the oracle method by the moment method and the MLE method for the Bayes estimators and the PESLs.
Averages Proportions
Moment MLE Moment MLE
0.3332 0.0485 0.06 0.94
0.4136 0.0621 0.06 0.94
0.0079 0.0025 0.15 0.85
0.0107 0.0034 0.15 0.85
图

3.3.5 Marginal Densities for Various Hyperparameters

In this subsection, we will plot the marginal densities of the hierarchical gamma and gamma model (3.1) for various hyperparameters , , and . The motivation of this subsection is that we want to know what kind of data can be modeled by the hierarchical gamma and gamma model (3.1). Note that the marginal density of is given by (3.3) specified by three hyperparameters , , and . We will explore how the marginal densities change around the marginal density with hyperparameters specified by , , and . Other numerical values of the hyperparameters can also be specified.
Figure 3.8 plots the marginal densities for varied , holding and fixed. From the figure, we see that as increases, the peak value of the curve increases. In other words, the variance of the marginal density decreases, as
(3.16)
is a decreasing function of . Moreover, all the marginal densities are right-skewed.
FIG. 3.8 — G-G: The marginal densities for varied , holding and fixed.
Figure 3.9 plots the marginal densities for varied , holding and fixed. From the figure, we see that as increases, the peak value of the curve decreases. In other words, the variance of the marginal density increases, as (3.16) is an increasing function of . Moreover, all the marginal densities are also right-skewed.
FIG. 3.9 — G-G: The marginal densities for varied , holding and fixed.
Figure 3.10 plots the marginal densities for varied , holding and fixed. From the figure, we see that as increases, the peak value of the curve decreases. In other words, the variance of the marginal density increases, as (3.16) is an increasing function of . Moreover, all the marginal densities are also right-skewed.
图

3.4 Conclusions and Discussions

For the hierarchical gamma and gamma model (3.1), we calculate the posterior density and the marginal density in Theorem 3.1. Since is a rate parameter in (3.1), the Bayes estimator of under the squared error loss function is not appropriate. In contrast, we should choose Stein’s loss function because it penalizes gross overestimation and gross underestimation equally. After that, we calculate the Bayes estimators of , and , and the PESLs of , and .
FIG. 3.10 — G-G: The marginal densities for varied , holding and fixed.
In order to calculate the empirical Bayes estimator of the rate parameter , we must calculate the estimators of the hyperparameters of model (3.1). The estimators of the hyperparameters of model (3.1) by the moment method and their consistencies are summarized in Theorem 3.2. Moreover, the estimators of the hyperparameters of model (3.1) by the MLE method and their consistencies are summarized in Theorem 3.3. Finally, the empirical Bayes estimators of the rate parameter of the model (3.1) under Stein’s loss function by the moment method and the MLE method are summarized in Theorem 3.4.
Note that in Theorem 3.3, we only stated that the estimators of the hyperparameters of the model (3.1) by the MLE method , , and are the solutions to the equations (3.13)–(3.15). We can exploit Newton’s method to solve the equations (3.13)–(3.15), and to numerically obtain the MLEs of , , and . However, we can not prove the existence and uniqueness of the solutions to our system. The interested readers who have such knowledge and skills are encouraged to solve this issue.
Numerical simulations illustrate that the moment estimators and the MLEs are consistent estimators of the hyperparameters, as reported in table 3.5. Moreover, table 3.6 indicates that the hierarchical gamma and gamma model (3.1) fits the simulated data well in terms of the KS test goodness-of-fit by the moment method and the MLE method.
The plots of the marginal densities show that all the curves are right-skewed. Therefore, the hierarchical gamma and gamma model (3.1) could potentially be used to fit right-skewed data, not left-skewed data.
It is common to assume that a positive parameter follows a gamma distribution or an inverse gamma distribution. Therefore, the hierarchical gamma and gamma model (3.1), as a more variable gamma distribution, could be used to model the positive parameter.
Now we present some future work. One may consider extending the hierarchical gamma and gamma model (3.1) to different types of non-conjugate priors for the rate parameter of the gamma distribution (see Berger et al. (2015); Berger (1985) and the references therein). In these situations, one may not obtain analytical solutions, then one should be able to derive the estimators numerically.
图

Chapter 4 The Empirical Bayes Estimators of the Mean Parameter of the Exponential Distribution with a Conjugate Inverse Gamma Prior under Stein’s Loss Function

A Bayes estimator for a mean parameter of an exponential distribution is calculated using Stein’s loss, which equally penalizes gross overestimation and underestimation. A corresponding PESL is also determined. Additionally, a Bayes estimator for a mean parameter is obtained under a squared error loss along with its corresponding PESL. Furthermore, two methods are used to derive empirical Bayes estimators for the mean parameter of the exponential distribution with an inverse gamma prior. Numerical simulations are conducted to illustrate five aspects. Finally, theoretical studies are illustrated using Static Fatigue 90% Stress Level data.
Acknowledgement. This chapter is derived in part from an article Li et al. (2025) published in Mathematics 19 May 2025 <Copyright by the authors>, available online: https://doi.org/10.3390/math13101658.
图

4.1 Introduction

In the hierarchical exponential and inverse gamma model (4.1), our parameter of interest is the mean which is a positive parameter. Therefore, we will choose Stein’s loss function because it penalizes gross overestimation and gross underestimation equally.
The rest of the chapter is organized as follows. In section 4.2, we will provide four theorems. More specifically, we calculate the posterior density and the marginal density for the hierarchical exponential and inverse gamma model (4.1) in Theorem 4.1. Moreover, the estimators of the hyperparameters of the model by the moment method and their consistencies are summarized in Theorem 4.2. Furthermore, the estimators of the hyperparameters of the model by the MLE method and their consistencies are summarized in Theorem 4.3. Finally, the empirical Bayes estimators of the parameter of the model under Stein’s loss function by the moment method and the MLE method are summarized in Theorem 4.4. In section 4.3, we will illustrate five aspects in the numerical simulations. First, we will numerically exemplify two inequalities of the Bayes estimators and the PESLs. Second, we will illustrate that the moment estimators and the MLEs are consistent estimators of the hyperparameters. Third, we will calculate the goodness-of-fit of the model to the simulated data. Fourth, we will numerically compare the Bayes estimators and the PESLs of the three methods. Finally, we will plot the marginal densities of the model for various hyperparameters. In section 4.4, we utilize the Static Fatigue 90% Stress Level data to illustrate the calculations of the empirical Bayes estimators of the mean parameter of the exponential distribution with a conjugate inverse gamma prior. Some conclusions and discussions are provided in section 4.5.
图

4.2 Theoretical Results

Suppose that we observe from the hierarchical exponential and inverse gamma model:
(4.1)
where and are hyperparameters to be estimated, is the unknown parameter of interest, is the exponential distribution with mean parameter , and is the inverse gamma distribution with shape parameter and scale parameter β. As described in Deely and Lindley (1981), the statistician observes data and wishes to make an inference about . Therefore, provides direct information about the parameter , while supplementary information is also available. The connection between the prime data and the supplementary information is provided by the common distributions and . The pdfs of and can be found in section 1.2.
There are two pdf forms for the exponential distribution. One form uses the mean (or scale) as the parameter (see Casella and Berger (2002)), and with pdf , for and . Another form utilizes the rate as the parameter (see Gelman et al. (2013); Mao and Tang (2012)), and with pdf , for and . The two pdfs are the same with a relationship of the parameters .
The exponential-gamma model is assumed to generate observations :
(4.2)
Firstly, the exponential-inverse gamma model (4.1) and the exponential-gamma model (4.2) are equivalent in the sense of their marginal pdfs. For convenience, now let , , , , , and be random variables having the corresponding distributions. For example, is a random variable having the distribution. It is easy to see that
Therefore, the two hierarchical models (4.1) and (4.2) are equivalent. It is straightforward to derive that the two marginal pdfs of the two hierarchical models are the same, and they are equal to
Since the two marginal pdfs are the same, the moment estimators (displayed in Theorem 4.2) and the MLEs (see Theorem 4.3) of the hyperparameters and for the two hierarchical models (4.1) and (4.2) are the same.
Another reason to use (4.1) is that it motivates us to consider 16 hierarchical models of the gamma and inverse gamma distributions (see Zhang and Zhang (2022)). It is easy to see that is a conjugate prior for the distribution. Writing in the form of likelihood-prior, it is . Similarly, the is a conjugate prior for the distribution. Writing in the form of likelihood-prior, it is . The expression motivates us to consider , , , and as the likelihood, and , , , and as the prior, leading to 16 combinations of the likelihood-prior.
图

4.2.1 The Bayes Estimators and the PESLs

The posterior distribution of and the marginal density of of the hierarchical exponential and inverse gamma model (4.1) are summarized in the following theorem whose proof can be found in appendix A.9.
Theorem 4.1. For the hierarchical exponential and inverse gamma model (4.1), the posterior distribution of is
(4.3)
where
(4.4)
Moreover, the marginal density of is
(4.5)
for and .
Now, let us analytically calculate the Bayes estimators and , and the PESLs and under the hierarchical exponential and inverse gamma model (4.1).
From (4.3), we have
From (1.12), the Bayes estimator of under Stein’s loss function, it is given by
(4.6)
where and are given by (4.4). Moreover, from (1.13), the Bayes posterior estimator of under the usual squared error loss function, it is given by
(4.7)
for . It is easy to see that
(4.8)
which exemplifies the theoretical study of (1.16).
To analytically calculate the PESLs and , we need to analytically calculate . For the sake of simplicity, the *’s are dropped from and . We have
where
is the digamma function.
Therefore, from (1.14) and (1.15), after some algebraic operations, the PESLs at and are respectively given by
(4.9)
and
(4.10)
for . It is easy to show that
(4.11)
which exemplifies the theoretical study of (1.17). It is worth noting that the PESLs and depend only on , but not on . Therefore, the PESLs depend only on , but not on and .
In the simulations section and the real data section, we will exemplify the two inequalities (4.8) and (4.11). Moreover, we will exemplify that the PESLs depend only on , but not on and .
It is worth noting that the Bayes estimators and the PESLs in this subsection assume that the hyperparameters and are known. In other words, the Bayes estimators and the PESLs in this subsection are calculated by the oracle method, which will be further discussed in subsection 4.2.3.
图

4.2.2 The Empirical Bayes Estimators of θn+1

To obtain the empirical Bayes estimators of , we need to estimate the hyperparameters from the supplementary information . There are two common methods to estimate the hyperparameters, that is, the moment method and the MLE method.
The estimators of the hyperparameters of the model (4.1) by the moment method and , and their consistencies are summarized in the following theorem whose proof can be found in appendix A.10.
Theorem 4.2. The estimators of the hyperparameters of the model (4.1) by the moment method are
(4.12)
(4.13)
where , , is the sample th moment of . Moreover, the moment estimators are consistent estimators of the hyperparameters.
The estimators of the hyperparameters of the model (4.1) by the MLE method and , and their consistencies are summarized in the following theorem whose proof can be found in appendix A.11.
Theorem 4.3. The estimators of the hyperparameters of the model (4.1) by the MLE method and are the solutions to the following equations:
(4.14)
(4.15)
Moreover, the MLEs are consistent estimators of the hyperparameters.
The analytical calculations of the MLEs of and by solving the equations (4.14) and (4.15) are impossible, and thus we have to resort to numerical solutions. We can exploit Newton’s method to solve the equations (4.14) and (4.15) and to obtain the MLEs of and . Note that the MLEs of and are very sensitive to the initial estimators, and the moment estimators are usually proved to be good initial estimators.
Finally, the empirical Bayes estimators of the parameter of the model (4.1) under Stein’s loss function by the moment method and the MLE method are summarized in the following theorem.
Theorem 4.4. The empirical Bayes estimator of the parameter of the model (4.1) under Stein’s loss function by the moment method is given by (4.6) with the hyperparameters estimated by in Theorem 4.2. Alternatively, the empirical Bayes estimator of the parameter of the model (4.1) under Stein’s loss function by the MLE method is given by (4.6) with the hyperparameters estimated by numerically determined in Theorem 4.3.
图

4.2.3 Theoretical Comparisons of the Bayes Estimators and the PESLs of Three Methods

In this subsection, similar to section 1.7, we will theoretically compare the Bayes estimators and the PESLs of three methods (the oracle method, the moment method, and the MLE method) for the hierarchical exponential and inverse gamma model (4.1). Note that the numerical comparisons of the Bayes estimators and the PESLs of the three methods can be found in subsection 4.3.4.
Note that the subscripts 0, 1, and 2 below are for the oracle method, the moment method, and the MLE method, respectively. The PESL functions of the three methods are respectively given by ()
where
and are unknown hyperparameters, and given in Theorem 4.2 are the moment estimators of the hyperparameters, and and numerically determined in Theorem 4.3 are the MLEs of the hyperparameters.
The Bayes estimators of under Stein’s loss function are given by
The Bayes estimators of under the squared error loss function are given by
for .
The PESLs evaluated at the Bayes estimators are given by
The PESLs evaluated at the Bayes estimators are given by
图

4.3 Simulations

In this section, we will carry out the numerical simulations for the hierarchical exponential and inverse gamma model (4.1). We will illustrate five aspects. First, we will exemplify the two inequalities (4.8) and (4.11) of the Bayes estimators and the PESLs by the oracle method. Second, we will illustrate that the moment estimators and the MLEs are consistent estimators of the hyperparameters. Third, we will calculate the goodness-of-fit of the model (4.1) to the simulated data. Fourth, we will numerically compare the Bayes estimators and the PESLs of the three methods (the oracle method, the moment method, and the MLE method). Finally, we will plot the marginal densities of the model (4.1) for various hyperparameters.
The simulated data are generated according to the model (4.1) with the hyperparameters specified by and . The reason why we choose these values is that and are required in the moment estimations of the hyperparameters. Other numerical values of the hyperparameters can also be specified.
图

4.3.1 Two Inequalities of the Bayes Estimators and the PESLs

In this subsection, we will numerically exemplify the two inequalities (4.8) and (4.11) of the Bayes estimators and the PESLs by the oracle method. The motivation of this subsection is that theoretically we have the two inequalities (4.8) and (4.11).
First, we fix , , and . Figure 4.1 shows the histogram of and the density estimation curve of . It is that we find to minimize the PESL. Numerical results show that
and
which exemplify the theoretical studies of (4.8) and (4.11).
FIG. 4.1 — Exp-IG: The histogram of and the density estimation curve of .
Second, let us allow one of the quantities , , and to change, holding other quantities fixed. Figure 4.2 shows the Bayes estimators and the PESLs as functions of , , and . We see from the left plots of the figure that the Bayes estimators depend on , , and , and (4.8) is exemplified. More specifically, the Bayes estimators are decreasing functions of , linearly increasing functions of , and linearly increasing functions of . The right plots of the figure exhibit that the PESLs depend only on , but not on and , and (4.11) is exemplified. More specifically, the PESLs are decreasing functions of . Furthermore, tables 4.14.3 display the numerical values of the Bayes estimators and the PESLs in figure 4.2. In summary, the results of figure 4.2 and tables 4.14.3 exemplify the theoretical studies of (4.8) and (4.11).
FIG. 4.2 — Exp-IG: The Bayes estimators and the PESLs as functions of , , and . (a) Bayes estimators vs. . (b) PESLs vs.. (c) Bayes estimators vs. . (d) PESLs vs. . (e) Bayes estimators vs. . (f) PESLs vs. .
TAB. 4.1 — Exp-IG: The numerical values of the Bayes estimators and the PESLs in figure 4.2: changes.
1 2 3 4 5 6 7 8 9 10
1.5000 1.0000 0.7500 0.6000 0.5000 0.4286 0.3750 0.3333 0.3000 0.2727
3.0000 1.5000 1.0000 0.7500 0.6000 0.5000 0.4286 0.3750 0.3333 0.3000
0.2704 0.1758 0.1302 0.1033 0.0856 0.0731 0.0638 0.0566 0.0508 0.0461
0.5772 0.2704 0.1758 0.1302 0.1033 0.0856 0.0731 0.0638 0.0566 0.0508
TAB. 4.2 — Exp-IG: The numerical values of the Bayes estimators and the PESLs in figure 4.2: changes.
1 2 3 4 5 6 7 8 9 10
0.5000 0.7500 1.0000 1.2500 1.5000 1.7500 2.0000 2.2500 2.5000 2.7500
0.6667 1.0000 1.3333 1.6667 2.0000 2.3333 2.6667 3.0000 3.3333 3.6667
0.1302 0.1302 0.1302 0.1302 0.1302 0.1302 0.1302 0.1302 0.1302 0.1302
0.1758 0.1758 0.1758 0.1758 0.1758 0.1758 0.1758 0.1758 0.1758 0.1758
TAB. 4.3 — Exp-IG: The numerical values of the Bayes estimators and the PESLs in figure 4.2: changes.
1 2 3 4 5 6 7 8 9 10
0.7500 1.0000 1.2500 1.5000 1.7500 2.0000 2.2500 2.5000 2.7500 3.0000
1.0000 1.3333 1.6667 2.0000 2.3333 2.6667 3.0000 3.3333 3.6667 4.0000
0.1302 0.1302 0.1302 0.1302 0.1302 0.1302 0.1302 0.1302 0.1302 0.1302
0.1758 0.1758 0.1758 0.1758 0.1758 0.1758 0.1758 0.1758 0.1758 0.1758
Third, since the Bayes estimators and and the PESLs and depend on and , where and , we can plot the surfaces of the Bayes estimators and the PESLs on the domain via the R function persp3d() in the R package rgl (see Zhang et al. (2017, 2019b); Adler et al. (2017)). We remark that the R function persp() in the R package graphics can not add another surface to the existing surface, but persp3d() can. Moreover, persp3d() allows one to rotate the perspective plots of the surface according to one’s wishes. Figure 4.3 plots the surfaces of the Bayes estimators and the PESLs, and the surfaces of the differences of the Bayes estimators and the PESLs. The domain for is for all the plots. a is for and b is for in the axes of all the plots. The red surface is for and the blue surface is for in the upper two plots. From the left two plots of the figure, we see that for all on . From the right two plots of the figure, we see that for all on . The results of figure 4.3 exemplify the theoretical studies of (4.8) and (4.11).
图

4.3.2 Consistencies of the Moment Estimators and the MLEs

In this subsection, similar to subsection 1.8.1, we will numerically exemplify that the moment estimators and the MLEs are consistent estimators of the hyperparameters and of the hierarchical exponential and inverse gamma (4.1). The motivation of this subsection is that in Theorems 4.2 and 4.3, we have theoretically shown that the moment estimators and the MLEs are consistent estimators of the hyperparameters. Note that only are used in this subsection.
The frequencies of the moment estimators ( and ) and the MLEs ( and ) of the hyperparameters ( and ) as varies for and , 0.5, and 0.1 are reported in table 4.4. From the table, we observe the following facts.
FIG. 4.3 — Exp-IG: (a) The Bayes estimators as functions of and . (b) The PESLs as functions of and . (c) The surface of which is positive for all on . (d) The surface of which is also positive for all on .
1. Given , 0.5, or 0.1, the frequencies (, or , ) of the estimators tend to 0 as increases to infinity, which means that the moment estimators and the MLEs are consistent estimators of the hyperparameters. For , the frequencies of the estimators are still very large. However, we observe the tendency to decline to 0 as increases to infinity.
2. Comparing the frequencies corresponding to , 0.5, and 0.1, we observe that as gets smaller, the frequencies tend to be larger, since the constraints
are easier to meet.
3. Comparing the moment estimators and the MLEs of the hyperparameters and , we see that the frequencies of the MLEs are smaller than those of the moment estimators, which means that the MLEs are better than the moment estimators when estimating the hyperparameters in terms of consistency.
图

4.3.3 Goodness-of-Fit of the Model: KS Test

In this subsection, similar to subsection 1.8.2, we will calculate the goodness-of-fit of the hierarchical exponential and inverse gamma model (4.1) to the simulated data. The motivation of this subsection is that we want to check whether the marginal distribution of the hierarchical exponential and inverse gamma model (4.1) fits the simulated data well. Note that only are used in this subsection.
In our problem, the null hypothesis specifies that
where is the marginal distribution of the hierarchical exponential and inverse gamma model (4.1). The marginal density of the distribution is given by (4.5) which is obviously one-dimensional continuous. Hence, the KS test can be utilized as a measure of the goodness-of-fit.
TAB. 4.4 — Exp-IG: The frequencies of the moment estimators and the MLEs of the hyperparameters as varies for and , 0.5, and 0.1.
Moment estimators MLEs
1e4 0.00 0.00 0.00 0.00
2e4 0.00 0.00 0.00 0.00
4e4 0.00 0.00 0.00 0.00
8e4 0.00 0.00 0.00 0.00
1e4 0.14 0.11 0.00 0.00
2e4 0.02 0.01 0.00 0.00
4e4 0.01 0.01 0.00 0.00
8e4 0.00 0.00 0.00 0.00
1e4 0.77 0.74 0.40 0.31
2e4 0.70 0.69 0.24 0.15
4e4 0.64 0.62 0.13 0.09
8e4 0.48 0.46 0.03 0.01
The results of the KS test goodness-of-fit of the model (4.1) to the simulated data are reported in table 4.5. Note that the data are simulated according to the hierarchical exponential and inverse gamma model (4.1) with and . In the table, the hyperparameters and are estimated by three methods. The first method is the oracle method, in that we know the hyperparameters and . The second method is the moment method, in that the hyperparameters and are estimated by their moment estimators (see Theorem 4.2). The third method is the MLE method, in which the hyperparameters and are estimated by their MLEs (see Theorem 4.3). In the table, the sample size is , and the number of simulations is .
From table 4.5, we observe the following facts.
1. The values for the three methods are respectively given by 0.0270, 0.0230, and 0.0205, which means that the MLE method is the best method, the moment method is the second-best method, and the oracle method is the worst method. A possible explanation for this phenomenon is that in (1.23), the empirical cdf is based on data, and the population cdfs for the MLE method and the moment method are also based on data, while the population cdf for the oracle method is not based on data.
2. The values for the three methods are respectively given by 0.5102, 0.6683, and 0.7693, which also means that the MLE method ranks first, the moment method ranks second, and the oracle method ranks third. The possible explanation for this phenomenon is described in the previous paragraph.
3. The values for the three methods are respectively given by 0.16, 0.15, and 0.69. The value for the MLE method accounts for over half of the simulations. The order of preference for the three methods is the MLE method, the oracle method, and the moment method.
4. The values for the three methods are respectively given by 0.16, 0.15, and 0.69. A small value corresponds to a large p-value. Hence, the smallest value corresponds to the largest p-value. Therefore, the value and the value for the three methods are the same. The order of preference for the three methods is the MLE method, the oracle method, and the moment method.
5. The values for the three methods are respectively given by 0.97, 0.99, and 1.00. Once again, the order of preference for the three methods is the MLE method, the moment method, and the oracle method.
TAB. 4.5 — Exp-IG: The results of the KS test goodness-of-fit of the model (4.1) to the simulated data.
0.0270 0.0230 0.0205
0.5102 0.6683 0.7693
0.16 0.15 0.69
0.16 0.15 0.69
0.97 0.99 1.00
The boxplots of the values and the p-values for the three methods are displayed in figure 4.4. From the figure, we observe the following facts.
1. The values of the oracle method are significantly larger than those of the other two methods. Since for the value, the smaller the better, the order of preference for the three methods is the MLE method, the moment method, and the oracle method.
2. The p-values of the oracle method are significantly smaller than those of the other two methods. Since for the p-value, the larger the better, the order of preference for the three methods is the MLE method, the moment method, and the oracle method.
3. Small values correspond to large p-values, and large values correspond to small p-values.
4. The MLE method has a better performance than the moment method in terms of the values and the p-values.
FIG. 4.4 — Exp-IG: The boxplots of the values and the p-values for the three methods. (a) values. (b) p-values.
图

4.3.4 Numerical Comparisons of the Bayes Estimators and the PESLs of Three Methods

In this subsection, we will numerically compare the Bayes estimators and the PESLs of three methods (the oracle method, the moment method, and the MLE method). The motivation of this subsection is that the theoretical comparisons of the Bayes estimators and the PESLs of the three methods can be found in subsection 4.2.3.
Note that the data are simulated according to the hierarchical exponential and inverse gamma model (4.1) with and . Moreover, the oracle method knows the hyperparameters and in simulations.
Comparisons of , , , , , and of the three methods for sample size and the number of simulations are displayed in figure 4.5. From the figure, we observe the following facts.
1. For the estimators of and , the MLE method is much closer to the oracle method than the moment method.
2. For the Bayes estimators and , the MLE method is slightly closer to the oracle method than the moment method. The three curves are almost indistinguishable, as the differences among the estimators are negligible.
3. For the PESLs and , the MLE method is much closer to the oracle method than the moment method.
4. All the plots indicate that the MLE method is better than the moment method, as the estimators of the hyperparameters, the Bayes estimators, and the PESLs of the MLE method are closer to those of the oracle method than those of the moment method.
The boxplots of the absolute errors from the oracle method by the moment method and the MLE method for sample size and number of simulations are displayed in figure 4.6. All the plots indicate that the MLE method is better than the moment method, as the absolute errors from the oracle method of the estimators of the hyperparameters, the Bayes estimators, and the PESLs by the MLE method are much smaller than those by the moment method.
FIG. 4.5 — Exp-IG: Comparisons of , , , , , and of the three methods for sample size and number of simulations . (a) . (b) . (c) . (d) . (e) . (f) .
FIG. 4.6 — Exp-IG: The boxplots of the absolute errors from the oracle method by the moment method and the MLE method for sample size and number of simulations . (a) . (b) . (c) . (d) . (e) . (f) .
The averages and proportions of the absolute errors from the oracle method by the moment method and the MLE method for the estimators of the hyperparameters, the Bayes estimators, and the PESLs are summarized in table 4.6. See subsection 1.8.3 for details. From the table, we observe that the averages of the absolute errors from the oracle method by the MLE method are much smaller than those by the moment method. Moreover, the proportions of the absolute errors from the oracle method by the MLE method are much larger than those by the moment method. In summary, the table illustrates that the MLE method is better than the moment method in terms of the averages and proportions of the absolute errors from the oracle method.
TAB. 4.6 — Exp-IG: The averages and proportions of the absolute errors from the oracle method by the moment method and the MLE method for the estimators of the hyperparameters, the Bayes estimators, and the PESLs.
Averages Proportions
Moment MLE Moment MLE
0.2458 0.1099 0.28 0.72
0.2354 0.0931 0.21 0.79
0.0199 0.0106 0.22 0.78
0.0210 0.0167 0.37 0.63
0.0077 0.0037 0.28 0.72
0.0138 0.0067 0.28 0.72
The MSE and MAE of the estimators of the hyperparameters by the moment method and the MLE method are summarized in table 4.7. See subsection 1.8.3 for details. From the table, we see that the MLE method is far better than the moment method when estimating the hyperparameters and , as the MSE and MAE by the MLE method are much smaller than those by the moment method.
TAB. 4.7 — Exp-IG: The MSE and MAE of the estimators of the hyperparameters by the moment method and the MLE method.
MSE MAE
Moment MLE Moment MLE
0.09178 0.01877 0.24582 0.10993
0.08204 0.01363 0.23538 0.09313
图

4.3.5 Marginal Densities for Various Hyperparameters

In this subsection, we will plot the marginal densities of the hierarchical exponential and inverse gamma model (4.1) for various hyperparameters and . The motivation of this subsection is that we want to know what kind of data can be modeled by the hierarchical exponential and inverse gamma model (4.1). Note that the marginal density of is given by (4.5) specified by two hyperparameters and . We will explore how the marginal densities change around the marginal density with the hyperparameters specified by and . Other numerical values of the hyperparameters can also be specified.
Figure 4.7 plots the marginal densities for varied , holding fixed. From the figure, we see that as increases, the peak value of the curve increases. In other words, the variance of the marginal density decreases, as
(4.16)
is a decreasing function of . Moreover, all the marginal densities are decreasing functions of and right skewed.
Figure 4.8 plots the marginal densities for varied , holding fixed. From the figure, we see that as increases, the peak value of the curve decreases. In other words, the variance of the marginal density increases, as (4.16) is an increasing function of . Moreover, all the marginal densities are also decreasing functions of and right skewed.
FIG. 4.7 — Exp-IG: The marginal densities for varied , holding fixed.
FIG. 4.8 — Exp-IG: The marginal densities for varied , holding fixed.
图

4.4 A Real Data Example

In this section, we utilize the Static Fatigue Stress Level data to illustrate our methods (see R. E. Barlow University of California, Berkeley (2021)). Kevlar Epoxy is a material used on the National Aeronautics and Space Administration (NASA) space shuttle. Strands of this epoxy were tested at 90% breaking strength. The data represent time to failure in hours at the 90% stress level for a random sample of 50 epoxy strands. The data used to support the findings of this study are available at https://college.cengage.com/mathematics/brase/understandable_statistics/7e/students/datasets/svls/frames/frame.html.
The histogram of the sample (the Static Fatigue Stress Level data) along with its density estimation curve are depicted in Figure 4.9. From the figure we see that the histogram is roughly decreasing, and thus the hierarchical exponential and inverse gamma model (4.1) should be appropriate. See subsection “Marginal densities for various hyperparameters" for details.
The estimators of the hyperparameters and , the goodness-of-fit of the model, the empirical Bayes estimators of the mean parameter of the exponential distribution with a conjugate inverse gamma prior and the PESLs, and the mean and variance of the Static Fatigue Stress Level data by the moment method and the MLE method are summarized in table 4.8. From the table, we observe the following facts.
1. The moment estimators and the MLEs of the hyperparameters and are quite different. This does not mean that the hierarchical exponential and inverse gamma model (4.1) does not fit the real data, nor mean that the moment estimators and the MLEs are not consistent estimators of the hyperparameters and . The reason for the big differences between the two estimators is that the sample size is too small. Of course, the MLEs of the hyperparameters and are more reliable, as assured from the previous figures and tables in the simulations section.
FIG. 4.9 — Exp-IG: The histogram of the sample along with its density estimation curve.
2. We use the KS test as a measure of the goodness-of-fit. The p-value of the moment method is , and thus the distribution with and estimated by their moment estimators fits the sample well. Moreover, the p-value of the MLE method is , and thus the distribution with and estimated by their MLEs fits the sample well. When comparing the two methods, we observe that the value of the MLEs is smaller, and the p-value of the MLEs is larger, which means that the distribution with and estimated by the MLEs has a better fit to the sample than that estimated by the moment estimators.
3. When the hyperparameters are estimated by the MLE method, we see that
and
When the hyperparameters are estimated by the moment method, we observe a similar phenomenon for the Bayes estimators and the PESLs. Consequently, the two inequalities (4.8) and (4.11) are exemplified.
4. The mean of (the Static Fatigue 90% Stress Level data) is estimated by
for . The variance of is estimated by
for . It is interesting to note that the mean and variance of by the two methods are very similar, although the estimators of the hyperparameters are quite different. Moreover, it is easy to see that
for the MLE method. The mean and variance of are similar for the moment method.
TAB. 4.8 — Exp-IG: The estimators of the hyperparameters, the goodness-of-fit of the model, the empirical Bayes estimators of the mean parameter of the exponential distribution with a conjugate inverse gamma prior and the PESLs, and the mean and variance of the Static Fatigue 90% Stress Level data by the moment method and the MLE method.
Moment method MLE method
Estimators of
the hyperparameters
Goodness-of-fit 0.1240 0.1209
of the model p-value 0.4389 0.4708
Empirical Bayes estimators 1.156655 1.179281
and PESLs 1.222516 1.229669
0.027179 0.020628
0.028741 0.021516
Mean and variance of 1.252857 1.252418
the Static Fatigue 90% Stress Level data 1.771380 1.715116
图

4.5 Conclusions and Discussions

For the hierarchical exponential and inverse gamma model (4.1), we calculate the posterior density and the marginal density in Theorem 4.1. After that, we calculate the Bayes estimators of , and , and the PESLs of , and . Moreover, they satisfy two inequalities (4.8) and (4.11). The estimators of the hyperparameters of the model (4.1) by the moment method and their consistencies are summarized in Theorem 4.2. Furthermore, the estimators of the hyperparameters of the model (4.1) by the MLE method and their consistencies are summarized in Theorem 4.3. Finally, the empirical Bayes estimators of the parameter of the model (4.1) under Stein’s loss function by the moment method and the MLE method are summarized in Theorem 4.4.
In the simulations section, we have illustrated five aspects. First, we have numerically exemplified two inequalities (4.8) and (4.11) of the Bayes estimators and the PESLs. Second, we have illustrated that the moment estimators and the MLEs are consistent estimators of the hyperparameters. Third, we have calculated the goodness-of-fit of the model to the simulated data by the KS test. Fourth, we have numerically compared the Bayes estimators and the PESLs of the three methods (the oracle method, the moment method, and the MLE method). Finally, we have plotted the marginal densities of the model for various hyperparameters.
We utilize the Static Fatigue 90% Stress Level data to illustrate our methods. The estimators of the hyperparameters and , the goodness-of-fit of the model, the empirical Bayes estimators of the mean parameter of the exponential distribution with a conjugate inverse gamma prior and the PESLs, and the mean and variance of the Static Fatigue Stress Level data by the moment method and the MLE method are summarized in table 4.8. The distribution with the hyperparameters and estimated by the MLEs has a better goodness-of-fit to the sample than that estimated by the moment estimators. Moreover, the two inequalities (4.8) and (4.11) are exemplified for the sample .
图

Chapter 5 The Empirical Bayes Estimators of the Variance Parameter of the Normal Distribution with a Conjugate Inverse Gamma Prior under Stein’s Loss Function

For the hierarchical normal and inverse gamma model, we calculate the Bayes estimator of the variance parameter of the normal distribution under Stein’s loss function, which penalizes gross overestimation and gross underestimation equally, and the corresponding PESL. We also obtain the Bayes estimator of the variance parameter under the squared error loss function and the corresponding PESL. Moreover, we obtain the empirical Bayes estimators of the variance parameter of the normal distribution with a conjugate inverse gamma prior by the moment method and the MLE method. In numerical simulations, we have illustrated five aspects: The two inequalities of the Bayes estimators and the PESLs; the consistencies of the moment estimators and the MLEs of the hyperparameters; the goodness-of-fit of the model to the simulated data; the numerical comparisons of the Bayes estimators and the PESLs of the oracle, moment, and MLE methods; and the plots of the marginal densities for various hyperparameters. The numerical results indicate that the MLEs are better than the moment estimators when estimating the hyperparameters. Finally, we utilize the percentage of body fat data of 250 men of various ages to illustrate our theoretical studies.
Acknowledgement. This chapter is derived in part from an article Zhang et al. (2024) published in Communications in Statistics-Theory and Methods 27 May 2022 <Copyright Taylor & Francis>, available online: http://www.tandfonline.com/10.1080/03610926.2022.2076123.
图

5.1 Introduction

The Bayes estimation of the variance parameter () of the normal distribution with a conjugate inverse gamma prior is studied in example 4.2.5 (p. 236) of Lehmann and Casella (1998) and in exercise 7.23 (p. 359) of Casella and Berger (2002). However, they only calculate the Bayes estimator of under the squared error loss function. Since is a positive parameter, the Bayes estimator of under the squared error loss function is not appropriate. In contrast, we should choose Stein’s loss function because it penalizes gross overestimation and gross underestimation equally. Moreover, Zhang (2017) has investigated the hierarchical normal and inverse gamma model (5.1) and calculated the Bayes estimator of under Stein’s loss function. However, Zhang (2017) assumes that the hyperparameters are known, which is unrealistic. In this chapter, we determine the hyperparameters by the moment method and the MLE method from the marginal distribution of the model. Then the estimated hyperparameters are plugged into the Bayes estimators of , and finally, we obtain the empirical Bayes estimators of .
The rest of the chapter is organized as follows. In section 5.2, we summarize four theorems. More specifically, we calculate the posterior distribution of for the hierarchical normal and inverse gamma model (5.1) in Theorem 5.1. Moreover, the estimators of the hyperparameters of the model by the moment method and their consistencies are summarized in Theorem 5.2. Furthermore, the estimators of the hyperparameters of the model by the MLE method and their consistencies are summarized in Theorem 5.3. Finally, the empirical Bayes estimators of the variance parameter of the model under Stein’s loss function by the moment method and the MLE method are summarized in Theorem 5.4. In section 5.3, we will illustrate five aspects in the numerical simulations. First, we will numerically exemplify two inequalities of the Bayes estimators and the PESLs. Second, we will illustrate that the moment estimators and the MLEs are consistent estimators of the hyperparameters. Third, we will calculate the goodness-of-fit of the model to the simulated data. Fourth, we will numerically compare the Bayes estimators and the PESLs of the three methods. Finally, we will plot the marginal densities of the model for various hyperparameters. In section 5.4, we utilize the percentage of body fat data of 250 men of various ages to illustrate the calculations of the empirical Bayes estimators of the variance parameter of the normal distribution with a conjugate inverse gamma prior. Some conclusions and discussions are provided in section 5.5.
图

5.2 Theoretical Results

Suppose that we observe from the hierarchical normal and inverse gamma model:
(5.1)
where , , and are hyperparameters to be determined, is the unknown parameter of interest, is the normal distribution with an unknown mean and an unknown variance , and is the inverse gamma distribution with an unknown shape parameter and an unknown scale parameter . As described in Deely and Lindley (1981), the statistician observes data and wishes to make an inference about . Therefore, provides direct information about the parameter , while supplementary information is also available. The connection between the prime data and the supplementary information is provided by the common distributions and . The pdfs of and can be found in section 1.2.
图

5.2.1 The Bayes Estimators and the PESLs

The inverse gamma prior is a conjugate prior for the variance parameter () of the normal distribution, so that the posterior distribution of is also an inverse gamma distribution. For the hierarchical normal and inverse gamma model (5.1), the posterior distribution of is summarized in the following theorem whose proof can be found in appendix A.12.
Theorem 5.1. For the hierarchical normal and inverse gamma model (5.1), the posterior distribution of is an inverse gamma distribution, that is,
where
(5.2)
Now, let us analytically calculate the Bayes estimators and , and the PESLs and under the hierarchical normal and inverse gamma model (5.1) from (1.12)–(1.15). The three expectations are calculated as
for , where and are given by (5.2). From (1.12), the Bayes estimator of under Stein’s loss function is given by
(5.3)
From (1.13), the Bayes estimator of under the usual squared error loss function is given by
(5.4)
for . It is easy to show that
(5.5)
which exemplifies the theoretical study of (1.16). Furthermore, from (1.14) and (1.15), the PESLs at and are respectively given by
and
where
is the digamma function. It can be shown that
(5.6)
which exemplifies the theoretical study of (1.17). It is worth noting that the PESLs and depend only on , but not on . Therefore, the PESLs depend only on , but not on , , and .
In the simulations section and the real data section, we will exemplify the two inequalities (5.5) and (5.6). Moreover, we will exemplify that the PESLs depend only on , but not on , , and .
图

5.2.2 The Empirical Bayes Estimators of θn+1

To prove Theorems 5.2 and 5.3, we need the following lemmas. Lemma 5.1, whose proof can be found in appendix A.13, is about the high-order moments of the normal distribution.
Lemma 5.1. Let . Then the first four moments of are:
The following lemma, whose proof can be found in appendix A.14 is about the first two moments of the inverse gamma distribution.
Lemma 5.2. Let follow an inverse gamma distribution with a shape parameter and a scale parameter , whose density is given by
Then,
The following lemma, whose proof can be found in appendix A.15 relates a non-standardized Student-t distribution to a mixture distribution by compounding a normal distribution with mean and unknown variance, with an inverse gamma distribution placed over the variance with parameters and .
Lemma 5.3. Let
where , , and are hyperparameters. Then the marginal distribution of is a non-standardized Student-t distribution, that is,
with density
(5.7)
where is a location parameter, is a degrees of freedom parameter, and is a scale parameter.
Combining Lemmas 5.15.3, we can prove the following lemma, in which we calculate the first four moments of a non-standardized Student-t distribution, . The proof of the lemma can be found in appendix A.16.
Lemma 5.4. Let be a non-standardized student-t distribution. Then the first four moments of are:
The estimators of the hyperparameters of the model (5.1) by the moment method , , and and their consistencies are summarized in the following theorem, whose proof can be found in appendix A.17. Note that the proof of Theorem 5.2 depends on Lemma 5.4.
Theorem 5.2. The estimators of the hyperparameters of the model (5.1) by the moment method are
(5.8)
(5.9)
(5.10)
where
is the sample th moment of . Moreover, the moment estimators are consistent estimators of the hyperparameters.
The estimators of the hyperparameters of the model (5.1) by the MLE method , , and and their consistencies are summarized in the following theorem whose proof can be found in appendix A.18. Note that the proof of Theorem 5.3 depends on Lemma 5.3.
Theorem 5.3. The estimators of the hyperparameters of the model (5.1) by the MLE method , , and are the solutions to the following equations:
(5.11)
(5.12)
(5.13)
Moreover, the MLEs are consistent estimators of the hyperparameters.
We have to resort to numerical solutions of the equations (5.11)–(5.13), because the analytical calculations of the MLEs of , , and by solving the equations are impossible. We can utilize Newton’s method to solve the equations (5.11)–(5.13) and to obtain the MLEs of , , and . Notice that the MLEs of , , and are very sensitive to the initial estimators, and the moment estimators are usually proved to be good initial estimators.
Finally, the empirical Bayes estimators of the variance parameter of the model (5.1) under Stein’s loss function by the moment method and the MLE method are summarized in the following theorem.
Theorem 5.4. The empirical Bayes estimator of the variance parameter of the model (5.1) under Stein’s loss function by the moment method is given by (5.3) with the hyperparameters estimated by in Theorem 5.2. Alternatively, the empirical Bayes estimator of the variance parameter of the model (5.1) under Stein’s loss function by the MLE method is given by (5.3) with the hyperparameters estimated by numerically determined in Theorem 5.3.
图

5.2.3 Theoretical Comparisons of the Bayes Estimators and the PESLs of Three Methods

In this subsection, similar to section 1.7, we will theoretically compare the Bayes estimators and the PESLs of the three methods (the oracle method, the moment method, and the MLE method) for the hierarchical normal and inverse gamma model (5.1). Note that the numerical comparisons of the Bayes estimators and the PESLs of the three methods can be found in subsection 5.3.4.
For the hierarchical normal and inverse gamma model (5.1), we can calculate the three expectations
where
, , and are unknown hyperparameters, , , and are the moment estimators of the hyperparameters given in Theorem 5.2, and , , and are the MLEs of the hyperparameters numerically determined in Theorem 5.3.
The Bayes estimators of under Stein’s loss function, are given by
and
The Bayes estimators of under the squared error loss function are given by
for .
The PESLs evaluated at the Bayes estimators are given by
The PESLs evaluated at the Bayes estimators are given by
图

5.3 Simulations

In this section, we will carry out the numerical simulations for the hierarchical normal and inverse gamma model (5.1). We will illustrate five aspects. First, we will numerically exemplify two inequalities of the Bayes estimators and the PESLs (5.5) and (5.6). Second, we will illustrate that the moment estimators and the MLEs are consistent estimators of the hyperparameters. Third, we will calculate the goodness-of-fit of the model to the simulated data. Fourth, we will numerically compare the Bayes estimators and the PESLs of the three methods (the oracle method, the moment method, and the MLE method). Finally, we will plot the marginal densities of the model for various hyperparameters.
The simulated data are generated according to the model (5.1) with the hyperparameters specified by , , and . The reason why we choose these values is that , , and are required in the moment estimations of the hyperparameters. Other numerical values of the hyperparameters can also be specified.
图

5.3.1 Two Inequalities of the Bayes Estimators and the PESLs

In this subsection, we will numerically exemplify the two inequalities of the Bayes estimators and the PESLs (5.5) and (5.6) for the oracle method. The motivation of this subsection is that theoretically, we have the two inequalities (5.5) and (5.6).
First, we fix , , and . Then we set a seed number 1 in R software and draw from . After that, we draw from . Figure 5.1 shows the histogram of and the density estimation curve of . It is that we find to minimize the PESL. Numerical results show that
and
which exemplify the theoretical studies of (5.5) and (5.6).
Now we allow one of the four quantities , , , and to change, holding other quantities fixed. In other words, we are interested in the sensitivity analysis of the Bayes estimators and the PESLs about the four quantities , , , and . Figure 5.2 shows the Bayes estimators and the PESLs as functions of , , , and . We see from the left plots of the figure that the Bayes estimators depend on , , , and , and (5.5) is exemplified. Moreover, the Bayes estimators are first decreasing and then increasing functions of , they are decreasing functions of , they are increasing functions of , and they are first decreasing and then increasing functions of . The right plots of the figure exhibit that the PESLs depend only on , but not on , , and , and (5.6) is exemplified. In addition, the PESLs are decreasing functions of . Furthermore, tables 5.15.4 display the numerical values of the Bayes estimators and the PESLs in figure 5.2. In summary, the results of figure 5.2 and tables 5.15.4 exemplify the two inequalities (5.5) and (5.6).
FIG. 5.1 — N-IG: The histogram of and the density estimation curve of .
FIG. 5.2 — N-IG: The Bayes estimators and the PESLs as functions of , , , and . (a), (c), (e), and (g) Bayes estimators vs. , , , and . (b), (d), (f), and (h) PESLs vs. , , , and .
TAB. 5.1 — N-IG: The numerical values of the Bayes estimators and the PESLs in figure 5.2: changes.
0 1 2 3 4 5
3.0183 1.9115 1.0905 0.5552 0.3056 0.3418 0.6636 1.2712 2.1645 3.3434 4.8081
4.2256 2.6762 1.5267 0.7773 0.4279 0.4785 0.9291 1.7797 3.0302 4.6808 6.7314
0.1496 0.1496 0.1496 0.1496 0.1496 0.1496 0.1496 0.1496 0.1496 0.1496 0.1496
0.2131 0.2131 0.2131 0.2131 0.2131 0.2131 0.2131 0.2131 0.2131 0.2131 0.2131
TAB. 5.2 — N-IG: The numerical values of the Bayes estimators and the PESLs in figure 5.2: changes.
1 2 3 4 5 6 7 8 9 10
0.7975 0.4785 0.3418 0.2658 0.2175 0.1840 0.1595 0.1407 0.1259 0.1139
2.3924 0.7975 0.4785 0.3418 0.2658 0.2175 0.1840 0.1595 0.1407 0.1259
0.3690 0.2131 0.1496 0.1152 0.0937 0.0789 0.0681 0.0600 0.0536 0.0484
1.2704 0.3690 0.2131 0.1496 0.1152 0.0937 0.0789 0.0681 0.0600 0.0536
TAB. 5.3 — N-IG: The numerical values of the Bayes estimators and the PESLs in figure 5.2: changes.
1 2 3 4 5 6 7 8 9 10
0.3418 0.6275 0.9132 1.1989 1.4846 1.7703 2.0561 2.3418 2.6275 2.9132
0.4785 0.8785 1.2785 1.6785 2.0785 2.4785 2.8785 3.2785 3.6785 4.0785
0.1496 0.1496 0.1496 0.1496 0.1496 0.1496 0.1496 0.1496 0.1496 0.1496
0.2131 0.2131 0.2131 0.2131 0.2131 0.2131 0.2131 0.2131 0.2131 0.2131
TAB. 5.4 — N-IG: The numerical values of the Bayes estimators and the PESLs in figure 5.2: changes.
0 1 2 3 4 5
3.8571 2.5714 1.5714 0.8571 0.4286 0.2857 0.4286 0.8571 1.5714 2.5714 3.8571
5.4000 3.6000 2.2000 1.2000 0.6000 0.4000 0.6000 1.2000 2.2000 3.6000 5.4000
0.1496 0.1496 0.1496 0.1496 0.1496 0.1496 0.1496 0.1496 0.1496 0.1496 0.1496
0.2131 0.2131 0.2131 0.2131 0.2131 0.2131 0.2131 0.2131 0.2131 0.2131 0.2131
Since the Bayes estimators and and the PESLs and depend on and , where and , we can plot the surfaces of the Bayes estimators and the PESLs on the domain via the R function persp3d() in the R package rgl (see Sun et al. (2021); Zhang et al. (2017, 2019b); Adler et al. (2017)). We remark that the R function persp() in the R package graphics can not add another surface to the existing surface, but persp3d() can. Moreover, persp3d() allows one to rotate the perspective plots of the surface according to one’s wishes. Figure 5.3 plots the surfaces of the Bayes estimators and the PESLs, and the surfaces of the differences of the Bayes estimators and the PESLs. The domain for is for all the plots. a is for and b is for in the axes of all the plots. The red surface is for and the blue surface is for in the upper two plots. From the left two plots of the figure, we see that for all on . From the right two plots of the figure, we see that for all on . The results of the figure exemplify the theoretical studies of (5.5) and (5.6).
图

5.3.2 Consistencies of the Moment Estimators and the MLEs

In this subsection, similar to subsection 1.8.1, we will numerically exemplify that the moment estimators (, , and ) and the MLEs (, , and ) are consistent estimators of the hyperparameters (, , and ) of the hierarchical normal and inverse gamma model (5.1). The motivation of this subsection is that in Theorems 5.2 and 5.3, we have theoretically shown that the moment estimators and the MLEs are consistent estimators of the hyperparameters. Note that only are used in this subsection.
The frequencies of the moment estimators (, , and ) and the MLEs (, , and ) of the hyperparameters (, , and ) as varies for and , 0.5, and 0.1 are reported in table 5.5. From the table, we observe the following facts.
FIG. 5.3 — N-IG: (a) The Bayes estimators as functions of and . (b) The PESLs as functions of and . (c) The surface of which is positive for all on . (d) The surface of which is also positive for all on .
1. Given , 0.5, or 0.1, the frequencies of the estimators (, , , , , ) tend to 0 as increases to infinity, which means that the moment estimators and the MLEs are consistent estimators of the hyperparameters. For , the frequencies of the estimator are still very large. However, we observe the tendency to decline to 0 as increases to infinity.
2. Comparing the frequencies corresponding to , 0.5, and 0.1, we observe that as gets smaller, the frequencies tend to be larger, since the constraints
are easier to meet.
3. Comparing the moment estimators and the MLEs of the hyperparameters , , and , we see that the frequencies of the MLEs are smaller than those of the moment estimators, which means that the MLEs are better than the moment estimators when estimating the hyperparameters in terms of consistency.
图

5.3.3 Goodness-of-Fit of the Model: KS Test

In this subsection, similar to subsection 1.8.2, we will calculate the goodness-of-fit of the hierarchical normal and inverse gamma model (5.1) to the simulated data. The motivation of this subsection is that we want to check whether the marginal distribution of the hierarchical normal and inverse gamma model (5.1) fits the simulated data well. Note that only are used in this subsection.
In our problem, the null hypothesis specifies that
where is the marginal distribution of the hierarchical normal and inverse gamma model (5.1). The marginal density of the distribution is given by (5.7) with and , which is obviously one-dimensional continuous. Hence, the KS test can be utilized as a measure of the goodness-of-fit.
TAB. 5.5 — N-IG: The frequencies of the moment estimators and the MLEs of the hyperparameters as varies for and , 0.5, and 0.1.
Moment estimators MLEs
1e4 0.00 0.00 0.00 0.00 0.00 0.00
2e4 0.00 0.00 0.00 0.00 0.00 0.00
4e4 0.00 0.00 0.00 0.00 0.00 0.00
8e4 0.00 0.00 0.00 0.00 0.00 0.00
16e4 0.00 0.00 0.00 0.00 0.00 0.00
32e4 0.00 0.00 0.00 0.00 0.00 0.00
1e4 0.00 0.19 0.00 0.00 0.02 0.00
2e4 0.00 0.09 0.00 0.00 0.00 0.00
4e4 0.00 0.04 0.00 0.00 0.00 0.00
8e4 0.00 0.00 0.00 0.00 0.00 0.00
16e4 0.00 0.00 0.00 0.00 0.00 0.00
32e4 0.00 0.01 0.00 0.00 0.00 0.00
1e4 0.00 0.80 0.61 0.00 0.56 0.22
2e4 0.00 0.81 0.49 0.00 0.42 0.07
4e4 0.00 0.67 0.37 0.00 0.33 0.00
8e4 0.00 0.55 0.21 0.00 0.08 0.00
16e4 0.00 0.48 0.12 0.00 0.01 0.00
32e4 0.00 0.39 0.07 0.00 0.00 0.00
The results of the KS test goodness-of-fit of the model (5.1) to the simulated data are reported in table 5.6. Note that the data are simulated according to the hierarchical normal and inverse gamma model (5.1) with , , and . In the table, the hyperparameters , , and are estimated by three methods. The first method is the oracle method, in that we know the hyperparameters , , and . The second method is the moment method, in that the hyperparameters , , and are estimated by their moment estimators (see Theorem 5.2). The third method is the MLE method, in that the hyperparameters , , and are estimated by their MLEs (see Theorem 5.3). In the table, the sample size is , and the number of simulations is .
From table 5.6, we observe the following facts.
1. The values for the three methods are respectively given by 0.0267, 0.0226, and 0.0199, which means that the MLE method is the best method, the moment method is the second-best method, and the oracle method is the worst method. A possible explanation for this phenomenon is that in (1.23), the empirical cdf is based on data, and the population cdfs for the MLE method and the moment method are also based on data, while the population cdf for the oracle method is not based on data.
2. The values for the three methods are respectively given by 0.5207, 0.6772, and 0.7832, which also means that the MLE method ranks first, the moment method ranks second, and the oracle method ranks third. The possible explanation for this phenomenon is described in the previous paragraph.
3. The values for the three methods are respectively given by 0.14, 0.26, and 0.60. The value for the MLE method accounts for over half of the simulations. The order of preference for the three methods is the MLE method, the moment method, and the oracle method.
4. The values for the three methods are respectively given by 0.14, 0.26, and 0.60. A small value corresponds to a large p-value. Hence, the smallest value corresponds to the largest p-value. Therefore, the value and the value for the three methods are the same. The order of preference for the three methods is the MLE method, the moment method, and the oracle method.
5. The values for the three methods are respectively given by , , and . The values for the three methods are nearly , which means that the three methods have good performances in terms of goodness-of-fit.
6. In summary, for the five indices (, , , , ), the order of preference for the three methods is the MLE method, the moment method, and the oracle method. Comparing the moment method and the MLE method, we find that the MLE method has a better performance than the moment method in terms of all five indices.
The boxplots of the values and the p-values for the three methods are displayed in figure 5.4. From the figure, we observe the following facts.
TAB. 5.6 — N-IG: The results of the KS test goodness-of-fit of the model (5.1) to the simulated data.
0.0267 0.0226 0.0199
0.5207 0.6772 0.7832
0.14 0.26 0.60
0.14 0.26 0.60
0.98 1.00 1.00
1. The values of the oracle method are larger than those of the other two methods. Since for the value, the smaller the better, the order of preference for the three methods is the MLE method, the moment method, and the oracle method.
2. The p-values of the oracle method are smaller than those of the other two methods. Since for the p-value, the larger the better, the order of preference for the three methods is the MLE method, the moment method, and the oracle method.
3. Small values correspond to large p-values, and large values correspond to small p-values.
4. The MLE method has a better performance than the moment method in terms of the values and the p-values.
图

5.3.4 Numerical Comparisons of the Bayes Estimators and the PESLs of Three Methods

In this subsection, we will numerically compare the Bayes estimators and the PESLs of the three methods (the oracle method, the moment method, and the MLE method). The motivation of this subsection is that the theoretical comparisons of the Bayes estimators and the PESLs of the three methods can be found in subsection 5.2.3. Note that the full data are used in this subsection.
FIG. 5.4 — N-IG: The boxplots of the values and the p-values for the three methods. (a) values. (b) p-values.
Note that the data are simulated according to the hierarchical normal and inverse gamma model (5.1) with the hyperparameters specified by , , and . Moreover, the oracle method knows the hyperparameters , , and in simulations.
Comparisons of the Bayes estimators and the PESLs of the three methods for sample size and number of simulations are displayed in figure 5.5. From the figure, we observe the following facts.
1. For the estimators of , the MLE method is slightly closer to the oracle method than the moment method.
2. For the estimators of and , the MLE method is much closer to the oracle method than the moment method.
3. For the Bayes estimators and , the MLE method is slightly closer to the oracle method than the moment method.
4. For the PESLs and , the MLE method is much closer to the oracle method than the moment method.
5. All the plots indicate that the MLE method is better than the moment method, as the estimators of the hyperparameters, the Bayes estimators, and the PESLs of the MLE method are closer to those of the oracle method than those of the moment method.
The boxplots of the absolute errors from the oracle method by the moment method and the MLE method for sample size and number of simulations are displayed in figure 5.6. All the plots indicate that the MLE method is better than the moment method, as the absolute errors from the oracle method of the estimators of the hyperparameters, the Bayes estimators, and the PESLs by the MLE method are much smaller than those of the moment method.
The averages and proportions of the absolute errors from the oracle method by the moment method and the MLE method for the estimators of the hyperparameters, the Bayes estimators, and the PESLs are summarized in table 5.7. See subsection 1.8.3 for details. From the table, we observe that the averages of the absolute errors from the oracle method by the MLE method are much smaller than those from the moment method. Moreover, the proportions of the absolute errors from the oracle method by the MLE method are much larger than those by the moment method. In summary, the table illustrates that the MLE method is better than the moment method in terms of the averages and proportions of the absolute errors from the oracle method.
The MSE, MAE, and MEE of the estimators of the hyperparameters by the moment method and the MLE method are summarized in table 5.8. See subsection 1.8.3 for details. From the table, we see that the MLE method is slightly better than the moment method when estimating the hyperparameter , as the MSE and MAE of the MLE method are slightly smaller than those of the moment method. Moreover, the MLE method is far better than the moment method when estimating the hyperparameters and , as the MSE, MAE, and MEE of the MLE method are much smaller than those of the moment method. Note that in the table, there are two NaNs for the MEE when estimating the hyperparameter , because the entropy (or Stein’s) loss function only applies to a positive parameter, but now and thus the entropy loss function does not apply.
FIG. 5.5 — N-IG: Comparisons of , , , , , , and of the three methods for sample size and number of simulations . (a) . (b) . (c) . (d) . (e) . (f) . (g) .
FIG. 5.6 — N-IG: The boxplots of the absolute errors from the oracle method by the moment method and the MLE method for sample size and number of simulations . (a) . (b) . (c) . (d) . (e) . (f) . (g) .
TAB. 5.7 — N-IG: The averages and proportions of the absolute errors from the oracle method by the moment method and the MLE method for the estimators of the hyperparameters, the Bayes estimators, and the PESLs.
Averages Proportions
Moment MLE Moment MLE
0.0060 0.0055 0.46 0.54
0.2852 0.1350 0.21 0.79
0.1349 0.0563 0.21 0.79
0.0147 0.0067 0.23 0.77
0.0172 0.0093 0.36 0.64
0.0117 0.0058 0.21 0.79
0.0231 0.0116 0.21 0.79
TAB. 5.8 — N-IG: The MSE, MAE, and MEE of the estimators of the hyperparameters by the moment method and the MLE method.
MSE MAE MEE
Moment MLE Moment MLE Moment MLE
0.00005 0.00004 0.00598 0.00554 NaN NaN
0.12745 0.03044 0.28523 0.13502 0.00642 0.00162
0.02790 0.00552 0.13486 0.05634 0.01237 0.00262
图

5.3.5 Marginal Densities for Various Hyperparameters

In this subsection, we will plot the marginal densities of the hierarchical normal and inverse gamma model (5.1) for various hyperparameters , , and . The motivation of this subsection is that we want to know what kind of data can be modeled by the hierarchical normal and inverse gamma model (5.1). Note that the marginal density of is given by (5.7) specified by three hyperparameters , , and . We will explore how the marginal densities change around the marginal density with hyperparameters specified by , , and . Other numerical values of the hyperparameters can also be specified.
Figure 5.7 plots the marginal densities for varied , holding and fixed. From the figure, we see that as increases, the marginal density shifts to the right, while keeping the shape of the curve unchanged. That is, is a location parameter. Moreover, all the marginal densities are symmetric about the mean .
FIG. 5.7 — N-IG: The marginal densities for varied , holding and fixed.
Figure 5.8 plots the marginal densities for varied , holding and fixed. From the figure, we see that as increases, the peak value of the curve also increases. In other words, the variance of the marginal distribution decreases, as
FIG. 5.8 — N-IG: The marginal densities for varied , holding and fixed.
(5.14)
is a decreasing function of . Moreover, all the marginal densities are symmetric about the mean .
Figure 5.9 plots the marginal densities for varied , holding and fixed. From the figure, we see that as increases, the peak value of the curve decreases. In other words, the variance of the marginal distribution increases, as given by (5.14) is an increasing function of . Moreover, all the marginal densities are symmetric about the mean .
FIG. 5.9 — N-IG: The marginal densities for varied , holding and fixed.
图

5.4 A Real Data Example

In this section, we utilize the percentage of body fat data of 250 men of various ages to illustrate our methods (see DASL (Data And Story Library) (2019)). The percentage of body fat is the percentage of a person’s body that is fat, which is a matter of concern for health and fitness.
The histogram of the sample (the percentage of body fat data) along with its density estimation curve, are depicted in figure 5.10. From the figure, we see that the density estimation curve is roughly bell-shaped and symmetric around its mean, and thus the hierarchical normal and inverse gamma model (5.1) should be appropriate. See subsection “Marginal densities for various hyperparameters” for details.
FIG. 5.10 — N-IG: The histogram of the sample along with its density estimation curve.
The estimators of the hyperparameters , , and , the goodness-of-fit of the model, the empirical Bayes estimators of the variance parameter of the normal distribution with a conjugate inverse gamma prior and the PESLs, and the mean and variance of the percentage of body fat data by the moment method and the MLE method are summarized in table 5.9. From the table, we observe the following facts.
1. The moment estimator of the hyperparameter is equal to the sample mean of the first observations. It is interesting to note that the MLE of the hyperparameter is equal to 0.1897987, which is very similar to the moment estimator of the hyperparameter . But the moment estimators and the MLEs of the hyperparameters and are quite different. This does not mean that the hierarchical normal and inverse gamma model (5.1) does not fit the real data, nor mean that the moment estimators and the MLEs are not consistent estimators of the hyperparameters and . The reason for the big differences between the two estimators is that the sample size is too small. Of course, the MLEs of the hyperparameters and are more reliable, as assured from the previous figures and tables in the simulations section.
2. We use the KS test as a measure of the goodness-of-fit. The p-value of the moment method is , and thus the distribution with , , and estimated by their moment estimators fits the sample well. Moreover, the p-value of the MLE method is , and thus the distribution with , , and estimated by their MLEs fits the sample even better. When comparing the two methods, we observe that the value of the MLEs is smaller, and the p-value of the MLEs is larger, which means that the distribution with the hyperparameters , , and estimated by the MLEs has a better fit to the sample than that estimated by the moment estimators.
3. When the hyperparameters are estimated by the MLE method, we see that
and
When the hyperparameters are estimated by the moment method, we observe a similar phenomenon for the Bayes estimators and the PESLs. Consequently, the two inequalities (5.5) and (5.6) are exemplified.
4. The mean of (the percentage of body fat data) is estimated by . By (5.14), the variance of is estimated by . It is interesting to note that the mean and variance of by the two methods are very similar, although the estimators of the hyperparameters are quite different. Moreover, it is worthy to mention that
for the MLE method. The mean and variance of are similar for the moment method. Therefore, the variance of is quite small, not large!
TAB. 5.9 — N-IG: The estimators of the hyperparameters, the goodness-of-fit of the model, the empirical Bayes estimators of the variance parameter of the normal distribution and the PESLs, and the mean and variance of the percentage of bodyfat data by the moment method and the MLE method.
Moment method MLE method
Estimators of the hyperparameters
Goodness-of-fit of the model 0.0618 0.0449
p-value 0.2968 0.6983
Empirical Bayes estimators and PESLs 0.0064531 0.0068121
0.0079852 0.0068128
0.0989905 5.2824e-05
0.1233821 5.2829e-05
Mean and variance of the percentage of body fat data 0.1897992 0.1897987
0.006812273 0.006812272
图

5.5 Conclusions and Discussions

For the hierarchical normal and inverse gamma model (5.1), we calculate the posterior distribution of , , in Theorem 5.1. After that, we calculate the Bayes estimators of , and , and the PESLs of , and . Moreover, they satisfy two inequalities (5.5) and (5.6). After proving some lemmas, the estimators of the hyperparameters of the model (5.1) by the moment method and their consistencies are summarized in Theorem 5.2. Furthermore, the estimators of the hyperparameters of the model (5.1) by the MLE method and their consistencies are summarized in Theorem 5.3. Finally, the empirical Bayes estimators of the variance parameter of the model (5.1) under Stein’s loss function by the moment method and the MLE method are summarized in Theorem 5.4.
In the simulations section, we have illustrated five aspects. First, we have numerically exemplified two inequalities of the Bayes estimators and the PESLs (5.5) and (5.6). Second, we have illustrated that the moment estimators and the MLEs are consistent estimators of the hyperparameters. Third, we have calculated the goodness-of-fit of the model to the simulated data. Fourth, we have numerically compared the Bayes estimators and the PESLs of the three methods. Finally, we have plotted the marginal densities of the model for various hyperparameters.
Note that in Theorem 5.3, we only stated that the estimators of the hyperparameters of the model (5.1) by the MLE method , , and are the solutions to the equations (5.11)–(5.13). We can exploit Newton’s method to solve the equations (5.11)–(5.13) and to numerically obtain the MLEs of , , and . However, we can not prove the existence and uniqueness of the solutions to our system. The interested readers who have such kind of knowledge and skills are encouraged to solve this issue.
We utilize the percentage of body fat data of 250 men of various ages to illustrate our methods. The estimators of the hyperparameters , , and , the goodness-of-fit of the model, the empirical Bayes estimators of the variance parameter of the normal distribution with a conjugate inverse gamma prior and the PESLs, and the mean and variance of the percentage of body fat data by the moment method and the MLE method are summarized in table 5.9. The distribution with the hyperparameters , , and estimated by the MLEs has a better goodness-of-fit to the sample than that estimated by the moment estimators. Moreover, the two inequalities (5.5) and (5.6) are exemplified for the sample .
From Lemma 5.3, we see that the data from the non-standardized Student-t distribution should have a good goodness-of-fit of the hierarchical normal and inverse gamma model.
Comparing the two Bayes estimators and of the variance parameter , we prefer Stein’s estimator , not because it is larger or smaller than the squared error estimator , but because Stein’s loss function is more appropriate than the squared error loss function for the positive parameter . Note that Stein’s loss function penalizes gross overestimation and gross underestimation equally for , but the squared error loss function does not.
For the hierarchical normal and inverse gamma model (5.1), we can calculate the estimators of the hyperparameters, since the marginal distribution of the model (5.1) is proper. In empirical Bayes analysis, we use the marginal distribution to estimate the hyperparameters from the observations. There are two frequently used methods to estimate the hyperparameters by utilizing the marginal distribution, i.e., the moment method and the MLE method. In this chapter, we use the two methods to estimate the hyperparameters of the hierarchical normal and inverse gamma model (5.1).
Now we present some future work. One may consider extending the hierarchical normal and inverse gamma model (5.1) to different types of non-conjugate priors for the variance parameter of the normal distribution (see Berger et al. (2015); Berger (1985) and the references therein). In these situations, one may not obtain analytical solutions; then one should be able to derive the estimators numerically.
图

Chapter 6 The Empirical Bayes Estimators of the Variance Parameter of the Normal Distribution with a Normal-Inverse-Gamma Prior under Stein’s Loss Function

For the hierarchical normal and normal-inverse-gamma model, we calculate the Bayes estimator of the variance parameter of the normal distribution under Stein’s loss function, which penalizes gross overestimation and gross underestimation equally and the corresponding PESL. We also obtain the Bayes estimator of the variance parameter under the squared error loss function and the corresponding PESL. Moreover, we obtain the empirical Bayes estimators of the variance parameter of the normal distribution with a conjugate normal-inverse-gamma prior by the moment method and the MLE method. In numerical simulations, we have illustrated four aspects: The two inequalities of the Bayes estimators and the PESLs; the consistencies of the moment estimators and the MLEs of the hyperparameters; the goodness-of-fit of the model to the simulated data; and the plots of the marginal densities for various hyperparameters. The numerical results indicate that the MLEs are better than the moment estimators when estimating the hyperparameters. Finally, we utilize the poverty level data, which represent percentages of all persons below the poverty level, to illustrate our theoretical studies.
Acknowledgement. This chapter is derived in part from an article Zhang (2025) under review in the Chinese Journal of Applied Probability and Statistics and an article Zhang et al. (2019a) published in Communications in Statistics-Theory and Methods 01 February 2019 <copyright Taylor & Francis>, available online: http://www.tandfonline.com/10.1080/03610926.2018.1465081.
图

6.1 Introduction

The motivations of this chapter are summarized as follows. Example 1.5.1 (p. 20) of Mao and Tang (2012), part I (pp. 69–70) of Chen (2014), and Zhang et al. (2019a) have considered the following hierarchical normal and normal-inverse-gamma model:
(6.1)
where , , , and are known hyperparameters, and iid means independent and identically distributed. The distribution is a joint conjugate prior for of the normal distribution , so that the posterior distribution of is an distribution with updated hyperparameters. However, in reality, the hyperparameters are unknown. Zhang et al. (2019a) have estimated the hyperparameters of the model (6.1) by the moment method and the MLE method. Moreover, they obtained the Bayes estimators of the mean and variance parameters of the model (6.1) under the squared error loss function. Finally, they obtained the empirical Bayes estimators of the mean and variance parameters of the model (6.1) under the squared error loss function by the moment method and the MLE method. However, in their empirical Bayes estimators, the sample have been used twice. First, the sample are utilized to estimate the hyperparameters , , , and . Second, the sample are used to obtain the Bayes estimators. To avoid using the sample twice, and to be compatible with the usual empirical Bayes analysis, we will use the following hierarchical normal and normal-inverse-gamma model in this chapter:
(6.2)
where , , , and are hyperparameters to be determined, and are the unknown parameters of interest, is a normal distribution with an unknown mean and an unknown variance , the conditional conjugate prior distribution of given is which is a normal distribution with mean and an unknown variance , the marginal conjugate prior distribution of is which is an inverse gamma distribution with shape parameter and scale parameter . Note that the joint conjugate prior is a normal-inverse-gamma distribution. As described in Deely and Lindley (1981), the statistician observes data and wishes to make an inference about and . Therefore, provides direct information about the parameters and , while supplementary information is also available. The connection between the prime data and the supplementary information is provided by the common distributions , , and . The pdfs of and can be found in section 1.2. Moreover, since the variance parameter of the normal distribution is a positive restricted parameter, the squared error loss function is not appropriate. In contrast, we will choose Stein’s loss function because it penalizes gross overestimation and gross underestimation equally, that is, an action will incur an infinite loss when it tends to 0 or . Note that the squared error loss function does not have this property. For more literature on Stein’s loss function, we refer readers to (Zhang et al. (2018, 2019b); Xie et al. (2018); Zhang (2017); James and Stein (1961).
Comparing models (6.1) and (6.2) carefully, we find that the samples and generated from the two models are iid from different distributions. On the one hand, the sample generated from (6.1) are iid from . Although the marginal densities of are , and thus can be thought to be from the distribution. However, are not iid from the distribution. In other words, are dependent on the distribution. On the other hand, the sample generated from (6.2) are iid from the distribution. That is, are independent and identically distributed from the distribution. The sample can be used to estimate the parameters and from , while the sample can be used to estimate the hyperparameters , , and from , where .
The rest of the chapter is organized as follows. In section 6.2, we first calculate the posterior densities and the marginal density of the hierarchical normal and normal-inverse-gamma model. After that, we calculate the Bayes estimators and the PESLs, and they satisfy two inequalities (6.9) and (6.10). Moreover, we summarize the empirical Bayes estimators of the variance parameter of the model (6.2) under Stein’s loss function by the moment method and the MLE method in Theorem 6.4. In section 6.3, we carry out some numerical simulations, where we have illustrated four aspects. First, we have exemplified the two inequalities (6.9) and (6.10). Second, we have illustrated that the moment estimators and the MLEs are consistent estimators of the hyperparameters. Third, we have calculated the goodness-of-fit of the model (6.2) to the simulated data. Finally, we have plotted the marginal densities of the model for various hyperparameters. A real data example is provided in section 6.4, where we exploit the poverty level data, which represent percentages of all persons below the poverty level. Some conclusions and discussions are provided in section 6.5.
图

6.2 Theoretical Results

图

6.2.1 The Bayes Estimators and the PESLs

For the hierarchical normal and normal-inverse-gamma model (6.2), we have the following theorem, which calculates the posterior densities
and the marginal density . The proof of the theorem can be found in appendix A.19.
Theorem 6.1. For the hierarchical normal and normal-inverse-gamma model (6.2), the joint posterior density of is
the marginal posterior density of is
the marginal posterior density of is
and the conditional posterior density of is
where
(6.3)
(6.4)
and
(6.5)
Moreover, the marginal density of is given by
with pdf given by
(6.6)
for , , , , and .
Now, let us analytically calculate the Bayes estimators and , and the PESLs and under the hierarchical normal and normal-inverse-gamma model (6.2) from (1.12)–(1.15). The three expectations are calculated as
for , where and are given by (6.4) and (6.5). From (1.12), the Bayes estimator of under Stein’s loss function is given by
(6.7)
From (1.13), the Bayes estimator of under the usual squared error loss function is given by
(6.8)
for . It is easy to show that
(6.9)
which exemplifies the theoretical study of (1.16). Furthermore, from (1.14) and (1.15), the PESLs at and are respectively given by
and
where
is the digamma function. It can be shown that
(6.10)
which exemplifies the theoretical study of (1.17). It is worth noting that the PESLs and depend only on , but not on . Therefore, the PESLs depend only on , but not on , , , and .
In the simulations section and the real data section, we will exemplify the two inequalities (6.9) and (6.10). Moreover, we will exemplify that the PESLs depend only on , but not on , , , and .
图

6.2.2 The Empirical Bayes Estimators of θn+1

The hyperparameters of model (6.2) are , , , and . However, we can not directly obtain the estimators of the four hyperparameters of model (6.2) by the moment method. Let
(6.11)
Since and appear together in , we can not directly obtain the estimators of and by the moment method. In other words, and are unidentifiable. In the empirical Bayesian statistical literature, common approaches to addressing the issue of unidentifiability of hyperparameters include the following two. One is to estimate the prior distribution through non-parametric or semi-parametric methods, avoiding strong assumptions about the functional form of the prior distribution, thereby circumventing the problem of unidentifiability of hyperparameters (Noma and Matsui (2013); Good (2000)). The other is to use auxiliary data, model structure constraints, or specific assumptions (such as sparsity, spatial correlation) to provide additional information, making the unidentifiable hyperparameters identifiable (Soloff et al. (2024); Zhang et al. (2021); Pan et al. (2008)). We adopt the second approach to make hyperparameters ( and ) identifiable. More specifically, when is fixed to be a known constant (our recommendation is , which will be made clear later in this subsection), then and are identifiable. Otherwise, and are unidentifiable.
However, we can obtain the estimator of by the moment method. In the following, we are interested in the hyperparameters , , and . Using hyperparameters , , and , the marginal density (6.6) changes to
(6.12)
The estimators of the hyperparameters , , and of the model (6.2) by the moment method , , and and their consistencies are summarized in the following theorem whose proof can be found in appendix A.20.
Theorem 6.2. The estimators of the hyperparameters , , and of the model (6.2) by the moment method are
(6.13)
(6.14)
(6.15)
where
is the sample th moment of . Moreover, the moment estimators are consistent estimators of the hyperparameters.
We remark that the moment estimators , , and in Theorem 6.2 are the same as those in Theorem 6.2 in Zhang et al. (2019a). The reason for the same moment estimators is that for the two hierarchical normal and normal-inverse-gamma models (6.1) and (6.2), the marginal distributions are the same, and the population moments of are the same. Moreover, in Theorem 6.2 of this chapter, we have shown that the moment estimators are consistent estimators of the hyperparameters, and this result has not been derived in Zhang et al. (2019a).
The estimators of the hyperparameters , , and of the model (6.2) by the MLE method , , and and their consistencies are summarized in the following theorem whose proof can be found in appendix A.21.
Theorem 6.3. The estimators of the hyperparameters , , and of the model (6.2) by the MLE method , , and are the solutions to the following equations:
(6.16)
(6.17)
(6.18)
Moreover, the MLEs are consistent estimators of the hyperparameters.
The analytical calculations of the MLEs of the hyperparameters , , and by solving the equations (6.16)–(6.18) are impossible, and thus we have to resort to numerical solutions. We can exploit Newton’s method to solve the above equations, and to obtain the MLEs of the hyperparameters. Note that the MLEs of the hyperparameters are very sensitive to the initial estimators, and the moment estimators are usually proven to be good initial estimators.
Finally, the empirical Bayes estimators of the variance parameter of the model (6.2) under Stein’s loss function by the moment method and the MLE method are summarized in the following theorem.
Theorem 6.4. The empirical Bayes estimator of the variance parameter of the model (6.2) under Stein’s loss function by the moment method is given by (6.7) with the hyperparameters estimated by in Theorem 6.2. Alternatively, the empirical Bayes estimator of the variance parameter of the model (6.2) under Stein’s loss function by the MLE method is given by (6.7) with the hyperparameters estimated by numerically determined in Theorem 6.3.
Now let us discuss the selection of . We recommend choosing , and the reason is given as follows. From (6.7), (6.4), and (6.5), we have
(6.19)
It is easy to show that the factor
for . Because we have little information about , we will choose
which is in the middle of the above range. Hence,
(6.20)
Therefore, (6.19) reduces to
which can then be estimated once the hyperparameters are estimated. From (6.11) and (6.20), we have
which can then be estimated once the hyperparameter is estimated.
Another reason to choose is given below. Since , the squared error loss function is appropriate. The Bayes estimator of under the squared error loss function is given by
(6.21)
In (6.21), represents a strength of belief on . If one harbors no belief on , then , and thus , which depends only on the datum . In contrast, if one harbors complete belief on , then , and thus , which depends only on . However, if one believes that and are equally important, then is a reasonable choice, and thus , which is a balanced combination of and .
We remark that and affect , , , and , and they do not affect , , and .
图

6.3 Simulations

In this section, we will carry out the numerical simulations for the hierarchical normal and normal-inverse-gamma model (6.2). We will illustrate four aspects. First, we will exemplify the two inequalities (6.9) and (6.10). Second, we will illustrate that the moment estimators and the MLEs are consistent estimators of the hyperparameters. Third, we will calculate the goodness-of-fit of the model (6.2) to the simulated data. Finally, we will plot the marginal densities of the model (6.2) for various hyperparameters.
The simulated data are generated according to the hierarchical normal and normal-inverse-gamma model (6.2) with the hyperparameters specified by , , , and . The reason why we choose these values is that , , , and . Moreover, is required in moment estimations of the hyperparameters. Other numerical values of the hyperparameters can also be specified.
图

6.3.1 Two Inequalities of the Bayes Estimators and the PESLs

In this subsection, we will numerically exemplify the two inequalities of the Bayes estimators and the PESLs (6.9) and (6.10) for the oracle method, in that we know the hyperparameters . The motivation of this subsection is that theoretically we have the two inequalities (6.9) and (6.10).
First, we fix , , , and . Then we set a seed number 1 in R software and draw from . Next, we draw from . After that, we draw from . Figure 6.1 shows the histogram of and the density estimation curve of . It is that we find to minimize the PESL. Numerical results show that
and
which exemplify the theoretical studies of (6.9) and (6.10).
Now we allow one of the five quantities , , , , and to change, holding other quantities fixed. In other words, we are interested in the sensitivity analysis of the Bayes estimators and the PESLs about the five quantities.
Figure 6.2 shows the Bayes estimators and the PESLs as functions of . We see from the left plot of the figure that the Bayes estimators depend on , and (6.9) is exemplified. Moreover, is an increasing function of , while is a decreasing function of . The right plot of the figure exhibits that the PESLs also depend on , and (6.10) is exemplified. Furthermore, the PESLs are decreasing functions of . In addition, table 6.1 displays the numerical values of the Bayes estimators and the PESLs in figure 6.2. In summary, the results of figure 6.2 and table 6.1 exemplify the two inequalities (6.9) and (6.10).
FIG. 6.1 — N-NIG: The histogram of and the density estimation curve of .
FIG. 6.2 — N-NIG: The Bayes estimators and the PESLs as functions of . (a) Bayes estimators vs. . (b) PESLs vs. .
TAB. 6.1 — N-NIG: The numerical values of the Bayes estimators and the PESLs in figure 6.2: changes.
2 3 4 5 6 7 8 9 10 11
0.8333 0.8750 0.9000 0.9167 0.9286 0.9375 0.9444 0.9500 0.9545 0.9583
2.5000 1.7500 1.5000 1.3750 1.3000 1.2500 1.2143 1.1875 1.1667 1.1500
0.3690 0.2704 0.2131 0.1758 0.1496 0.1302 0.1152 0.1033 0.0937 0.0856
1.2704 0.5772 0.3690 0.2704 0.2131 0.1758 0.1496 0.1302 0.1152 0.1033
Figure 6.3 shows the Bayes estimators and the PESLs as functions of , , , and . We see from the left plots of the figure that the Bayes estimators depend on , , , and , and (6.9) is exemplified. Moreover, the Bayes estimators are first decreasing and then increasing functions of and , and they are increasing functions of and . The right plots of the figure exhibit that the PESLs do not depend on , , , and , and (6.10) is exemplified. Furthermore, tables 6.26.5 display the numerical values of the Bayes estimators and the PESLs in Figure 6.3. In summary, the results of figure 6.3 and tables 6.26.5 exemplify the two inequalities (6.9) and (6.10).
TAB. 6.2 — N-NIG: The numerical values of the Bayes estimators and the PESLs in figure 6.3: changes.
0 1 2 3 4 5
6.6429 5.4286 4.3571 3.4286 2.6429 2.0000 1.5000 1.1429 0.9286 0.8571 0.9286
9.3000 7.6000 6.1000 4.8000 3.7000 2.8000 2.1000 1.6000 1.3000 1.2000 1.3000
0.1496 0.1496 0.1496 0.1496 0.1496 0.1496 0.1496 0.1496 0.1496 0.1496 0.1496
0.2131 0.2131 0.2131 0.2131 0.2131 0.2131 0.2131 0.2131 0.2131 0.2131 0.2131
In brief, the results of figures 6.2 and 6.3 exemplify that the PESLs depend only on , but not on , , , and .
FIG. 6.3 — N-NIG: The Bayes estimators and the PESLs as functions of , , , and . (a), (c), (e), (g) Bayes estimators vs. , , , and . (b), (d), (f), (h) PESLs vs. , , , and .
TAB. 6.3 — N-NIG: The numerical values of the Bayes estimators and the PESLs in figure 6.3: changes.
1 2 3 4 5 6 7 8 9 10
0.9286 0.9524 0.9643 0.9714 0.9762 0.9796 0.9821 0.9841 0.9857 0.9870
1.3000 1.3333 1.3500 1.3600 1.3667 1.3714 1.3750 1.3778 1.3800 1.3818
0.1496 0.1496 0.1496 0.1496 0.1496 0.1496 0.1496 0.1496 0.1496 0.1496
0.2131 0.2131 0.2131 0.2131 0.2131 0.2131 0.2131 0.2131 0.2131 0.2131
TAB. 6.4 — N-NIG: The numerical values of the Bayes estimators and the PESLs in figure 6.3: changes.
0.5 1 1.5 2 2.5 3 3.5 4 4.5 5
0.5000 0.9286 1.3571 1.7857 2.2143 2.6429 3.0714 3.5000 3.9286 4.3571
0.7000 1.3000 1.9000 2.5000 3.1000 3.7000 4.3000 4.9000 5.5000 6.1000
0.1496 0.1496 0.1496 0.1496 0.1496 0.1496 0.1496 0.1496 0.1496 0.1496
0.2131 0.2131 0.2131 0.2131 0.2131 0.2131 0.2131 0.2131 0.2131 0.2131
TAB. 6.5 — N-NIG: The numerical values of the Bayes estimators and the PESLs in figure 6.3: changes.
0 1 2 3 4 5
5.4286 4.3571 3.4286 2.6429 2.0000 1.5000 1.1429 0.9286 0.8571 0.9286 1.1429
7.6000 6.1000 4.8000 3.7000 2.8000 2.1000 1.6000 1.3000 1.2000 1.3000 1.6000
0.1496 0.1496 0.1496 0.1496 0.1496 0.1496 0.1496 0.1496 0.1496 0.1496 0.1496
0.2131 0.2131 0.2131 0.2131 0.2131 0.2131 0.2131 0.2131 0.2131 0.2131 0.2131
Since the Bayes estimators and and the PESLs and depend on and , where and , we can plot the surfaces of the Bayes estimators and the PESLs on the domain via the R function persp3d() in the R package rgl (see Zhang et al. (2017, 2019b); Sun et al. (2021); Adler et al. (2017)). We remark that the R function persp() in the R package graphics can not add another surface to the existing surface, but persp3d() can. Moreover, persp3d() allows one to rotate the perspective plots of the surface according to one’s wishes. Figure 6.4 plots the surfaces of the Bayes estimators and the PESLs, and the surfaces of the differences of the Bayes estimators and the PESLs. The domain for is for all the plots. a is for and b is for in the axes of all the plots. The red surface is for and the blue surface is for in the upper two plots. From the left two plots of the figure, we see that for all on , which exemplifies (6.9). From the right two plots of the figure, we see that for all on , which exemplifies (6.10). The results of the figure exemplify the theoretical studies of (6.9) and (6.10).
图

6.3.2 Consistencies of the Moment Estimators and the MLEs

In this subsection, similar to subsection 1.8.1, we will numerically exemplify that the moment estimators and the MLEs are consistent estimators of the hyperparameters of the hierarchical normal and normal-inverse-gamma model (6.2). The motivation of this subsection is that in Theorems 6.2 and 6.3, we have theoretically shown that the moment estimators and the MLEs are consistent estimators of the hyperparameters. Note that only are used in this subsection.
FIG. 6.4 — N-NIG: (a) The Bayes estimators as functions of and . (b) The PESLs as functions of and . (c) The surface of which is positive for all on . (d) The surface of which is also positive for all on .
First, we will numerically exemplify that the sample generated from the model (6.1) can not be used to estimate the hyperparameters , while the sample generated from the model (6.2) can be used to estimate the hyperparameters , where . Moreover, we will exemplify that the moment estimators and the MLEs of can correctly estimate the true hyperparameter regardless of the and values.
The histograms of the samples and their density curves are plotted in figure 6.5. From the figure, we observe the following facts.
FIG. 6.5 — N-NIG: The histograms of the samples and their density curves. (a) generated from the model (6.1) with and . (b) generated from the model (6.2) with and . (c) generated from the model (6.2) with and .
1. Plot (a): The sample generated from the model (6.1) are iid from with and .
2. Plots (b) and (c): The sample are generated from the model (6.2) with and . The sample are generated from the model (6.2) with and . Although and are different in the two plots, is the same. Therefore, the two samples and are from the same marginal distribution with .
The moment estimators and the MLEs of the hyperparameters for the samples , , and are summarized in table 6.6. From the table, we observe the following facts.
1. The moment estimators of the hyperparameters for sample are far away from the true hyperparameters , and thus the samples generated from the model (6.1) can not be used to estimate the hyperparameters .
2. For , since the moment estimator of is which is negative, the MLE method fails to iterate, and thus the MLEs of the hyperparameters are equal to the moment estimators.
3. For and , the moment estimators and the MLEs of the hyperparameters are close to the true hyperparameters , and thus the samples generated from the model (6.2) can be used to estimate the hyperparameters .
4. The sample is generated from the model (6.2) with , while the sample is generated from the model (6.2) with . Although and are different for the two samples and , is the same. We find that both the moment method and the MLE method correctly estimate the true hyperparameter for the two samples and .
5. For and , the MLEs are closer to the true hyperparameters than the moment estimators for this simulation.
TAB. 6.6 — N-NIG: The moment estimators and the MLEs of the hyperparameters for the samples , , and .
Moment estimators MLEs
Now, let us exemplify that the moment estimators and the MLEs are consistent estimators of the hyperparameters . The frequencies of the moment estimators and the MLEs of the hyperparameters as varies for and , 0.5, and 0.1 are reported in table 6.7. Note that the data in this simulation are simulated according to the hierarchical normal and normal-inverse-gamma model (6.2) with and . Other numerical values of the hyperparameters can also be specified. From the table, we observe the following facts.
1. Given , 0.5, or 0.1, the frequencies of the estimators tend to 0 as increases to infinity, which means that the moment estimators and the MLEs are consistent estimators of the hyperparameters. For , the frequencies of the estimators and are still very large ( for all the cases). However, we observe the tendencies of declining to 0 as increases to infinity.
2. Comparing the frequencies corresponding to , 0.5, and 0.1, we observe that as gets smaller, the frequencies tend to be larger, since the constraints
are easier to meet.
3. Comparing the moment estimators and the MLEs of the hyperparameters , , and , we see that the frequencies of the MLEs are smaller than those of the moment estimators for large , which means that the MLEs are better than the moment estimators when estimating the hyperparameters in terms of consistency.
图

6.3.3 Goodness-of-Fit of the Model: KS Test

In this subsection, similar to subsection 1.8.2, we will calculate the goodness-of-fit of the hierarchical normal and normal-inverse-gamma model (6.2) to the simulated data. The motivation of this subsection is that we want to check whether the marginal distribution of the hierarchical normal and normal-inverse-gamma model (6.2) fits the simulated data well. Note that only are used in this subsection.
TAB. 6.7 — N-NIG: The frequencies of the moment estimators and the MLEs of the hyperparameters as varies for and , 0.5, and 0.1.
Moment estimators MLEs
1e4 0.00 0.24 0.00 0.00 0.03 0.00
2e4 0.00 0.23 0.00 0.00 0.00 0.00
4e4 0.00 0.06 0.00 0.00 0.00 0.00
8e4 0.00 0.01 0.00 0.00 0.00 0.00
16e4 0.00 0.00 0.00 0.00 0.00 0.00
1e4 0.00 0.48 0.00 0.00 0.16 0.00
2e4 0.00 0.40 0.00 0.00 0.04 0.00
4e4 0.00 0.33 0.00 0.00 0.00 0.00
8e4 0.00 0.19 0.00 0.00 0.00 0.00
16e4 0.00 0.10 0.00 0.00 0.00 0.00
1e4 0.00 0.81 0.36 0.00 0.84 0.03
2e4 0.00 0.87 0.34 0.00 0.62 0.00
4e4 0.00 0.82 0.21 0.00 0.52 0.00
8e4 0.00 0.81 0.10 0.00 0.43 0.00
16e4 0.00 0.70 0.04 0.00 0.27 0.00
In our problem, the null hypothesis specifies that
where is the marginal distribution of the hierarchical normal and normal-inverse-gamma model (6.2). The marginal density of the distribution is given by (6.12), which is obviously one-dimensional and continuous. Hence, the KS test can be utilized as a measure of the goodness-of-fit.
Note that the data in this subsection are simulated according to the hierarchical normal and normal-inverse-gamma model (6.2) with and . Other numerical values of the hyperparameters can also be specified.
The results of the KS test goodness-of-fit of the model (6.2) to the simulated data are reported in table 6.8. In the table, the hyperparameters , , and are estimated by three methods. The first method is the oracle method, in that we know the hyperparameters , , and . The second method is the moment method, in which the hyperparameters are estimated by their moment estimators (see Theorem 6.2). The third method is the MLE method, in which the hyperparameters are estimated by their MLEs (see Theorem 6.3). In the table, the sample size is , and the number of simulations is .
From table 6.8, we observe the following facts.
1. The values for the three methods are respectively given by 0.0268, 0.0239, and 0.0204, which means that the MLE method is the best method, the moment method is the second-best method, and the oracle method is the worst method. A possible explanation for this phenomenon is that in (1.23), the empirical cdf is based on data, and the population cdfs for the MLE method and the moment method are also based on data, while the population cdf for the oracle method is not based on data.
2. The values for the three methods are respectively given by 0.5230, 0.6245, and 0.7674, which also means that the MLE method ranks first, the moment method ranks second, and the oracle method ranks third. The possible explanation for this phenomenon is described in the previous paragraph.
3. The values for the three methods are respectively given by 0.20, 0.16, and 0.64. The value for the MLE method accounts for over half of the simulations. The order of preference for the three methods is the MLE method, the oracle method, and the moment method.
4. The values for the three methods are respectively given by 0.20, 0.16, and 0.64. A small value corresponds to a large p-value. Hence, the smallest value corresponds to the largest p-value. Therefore, the value and the value for the three methods are the same. The order of preference for the three methods is the MLE method, the oracle method, and the moment method.
5. The values for the three methods are respectively given by , , and . The values for the three methods are nearly , which means that the three methods have good performances in terms of goodness-of-fit.
6. In summary, for the five indices (, , , , ), the MLE method always ranks first. Comparing the moment method and the MLE method, we find that the MLE method has a better performance than the moment method in terms of all five indices.
The boxplots of the values and the p-values for the three methods are displayed in figure 6.6. From the figure, we observe the following facts.
TAB. 6.8 — N-NIG: The results of the KS test goodness-of-fit of the model (6.2) to the simulated data.
0.0268 0.0239 0.0204
0.5230 0.6245 0.7674
0.20 0.16 0.64
0.20 0.16 0.64
0.98 0.99 0.99
1. The values of the oracle method are larger than those of the other two methods. Since for the value, the smaller the better, the order of preference for the three methods is the MLE method, the moment method, and the oracle method.
2. The p-values of the oracle method are smaller than those of the other two methods. Since for the p-value, the larger the better, the order of preference for the three methods is the MLE method, the moment method, and the oracle method.
3. Small values correspond to large p-values, and large values correspond to small p-values.
4. The MLE method has a better performance than the moment method in terms of the values and the p-values.
图

6.3.4 Marginal Densities for Various Hyperparameters

In this subsection, we will plot the marginal densities of the hierarchical normal and normal-inverse-gamma model (6.2) for various hyperparameters , , , and . The motivation of this subsection is that we want to know what kind of data can be modeled by the hierarchical normal and normal-inverse-gamma model (6.2). Note that the marginal density of is given by (6.6) specified by four hyperparameters , , , and . We will explore how the marginal densities change around the marginal density with hyperparameters specified by , , , and . Other numerical values of the hyperparameters can also be specified.
FIG. 6.6 — N-NIG: The boxplots of the values and the p-values for the three methods. (a) values. (b) p-values.
Figure 6.7 plots the marginal densities for varied , holding , , and fixed. From the figure we see that as increases, the marginal density shifts to the right, while keeping the shape of the curve unchanged. That is, is a location parameter. Moreover, all the marginal densities are symmetric about the mean .
Figure 6.8 plots the marginal densities for varied , holding , , and fixed. From the figure, we see that as increases, the peak value of the marginal density increases. In other words, the variance of the marginal density decreases as
(6.22)
is a decreasing function of . Moreover, all the marginal densities are symmetric about the mean .
FIG. 6.7 — N-NIG: The marginal densities for varied , holding , , and fixed.
Figure 6.9 plots the marginal densities for varied , holding , , and fixed. From the figure, we see that as increases, the peak value of the marginal density increases. In other words, the variance of the marginal density decreases, as (6.22) is a decreasing function of . Moreover, all the marginal densities are symmetric about the mean .
Figure 6.10 plots the marginal densities for varied , holding , , and fixed. From the figure, we see that as increases, the peak value of the marginal density decreases. In other words, the variance of the marginal density increases, as (6.22) is an increasing function of . Moreover, all the marginal densities are symmetric about the mean .
FIG. 6.8 — N-NIG: The marginal densities for varied , holding , , and fixed.
FIG. 6.9 — N-NIG: The marginal densities for varied , holding , , and fixed.
FIG. 6.10 — N-NIG: The marginal densities for varied , holding , , and fixed.
图

6.4 A Real Data Example

In this section, we exploit the poverty level data. The data represent percentages of all persons below the poverty level. The sample is from a random collection of cities in the Western U.S. Source: County and City Data Book, 12th edition, U.S. Department of Commerce.
The histogram of the sample and its density estimation curve is depicted in figure 6.11. From the figure, we see that the data are roughly symmetric about 0.15.
The estimators of the hyperparameters , , and , the goodness-of-fit of the model, the empirical Bayes estimators of the variance parameter of the normal distribution with a conjugate normal-inverse-gamma prior and the PESLs, and the mean and variance of the poverty level data by the moment method and the MLE method are summarized in table 6.9. From the table, we observe the following facts.
FIG. 6.11 — N-NIG: The histogram of the sample and its density estimation curve.
1. The moment estimator of the hyperparameter is equal to the sample mean of the first observations. It is interesting to note that the MLE of the hyperparameter is equal to 0.1619865, which is very similar to the moment estimator of the hyperparameter . Moreover, the moment estimator and the MLE of the hyperparameter are also very similar, and they are close to 0.006. But the moment estimator and the MLE of the hyperparameter are quite different. This does not mean that the hierarchical normal and normal-inverse-gamma model (6.2) does not fit the real data, nor mean that the moment estimator and the MLE are not consistent estimators of the hyperparameter . The reason for the big difference between the two estimators is that the sample size is too small. Of course, the MLE of the hyperparameter is more reliable, as assured from the previous figures and tables in the simulations section.
2. We use the KS test as a measure of the goodness-of-fit. The p-value of the moment method is , and thus the distribution with , , and estimated by their moment estimators fits the sample well. Moreover, the p-value of the MLE method is , and thus the distribution with , , and estimated by their MLEs fits the sample even better. When comparing the two methods, we observe that the value of the MLEs is smaller, and the p-value of the MLEs is larger, which means that the distribution with the hyperparameters , , and estimated by the MLEs has a better fit to the sample than that estimated by the moment estimators.
3. When the hyperparameters are estimated by the MLE method, we see that
and
When the hyperparameters are estimated by the moment method, we observe a similar phenomenon for the Bayes estimators and the PESLs. Consequently, the two inequalities (6.9) and (6.10) are exemplified.
4. The mean of (the poverty level data) is estimated by . By (6.22), the variance of is estimated by . It is interesting to note that the mean and variance of by the two methods are very similar, although the estimators of the hyperparameters are quite different. Moreover, it is worthy to mention that
for the MLE method. The mean and variance of are similar for the moment method. Therefore, the variance of is quite small, not large!
TAB. 6.9 — N-NIG: The estimators of the hyperparameters, the goodness-of-fit of the model, the empirical Bayes estimators of the variance parameter of the normal distribution and the PESLs, and the mean and variance of the poverty level data by the moment method and the MLE method.
Moment method MLE method
Estimators of the hyperparameters
Goodness-of-fit of the model 0.0909 0.0708
p-value 0.5313 0.8233
Empirical Bayes estimators and PESLs 0.0023464 0.0032576
0.0035396 0.0038348
0.1779193 0.0771456
0.2753140 0.0912061
Mean and variance of the poverty level data 0.1669620 0.1619865
0.0080094 0.0080536
图

6.5 Conclusions and Discussions

For the hierarchical normal and normal-inverse-gamma model (6.2), we first calculate the posterior densities , , , , and the marginal density in Theorem 6.1. After that, we calculate the Bayes estimators and , and the PESLs and , and they satisfy two inequalities (6.9) and (6.10). Furthermore, the estimators of the hyperparameters of the model (6.2) by the moment method and their consistencies are summarized in Theorem 6.2. Moreover, the estimators of the hyperparameters of the model (6.2) by the MLE method and their consistencies are summarized in Theorem 6.3. Finally, the empirical Bayes estimators of the variance parameter of the model (6.2) under Stein’s loss function by the moment method and the MLE method are summarized in Theorem 6.4.
In the simulations section, we carry out some numerical simulations for the hierarchical normal and normal-inverse-gamma model (6.2) in four aspects. Firstly, we have exemplified the two inequalities (6.9) and (6.10). Secondly, we have illustrated that the moment estimators and the MLEs are consistent estimators of the hyperparameters in table 6.7. Thirdly, we have calculated the KS test goodness-of-fit of the model (6.2) to the simulated data in table 6.8. Finally, we have plotted the marginal densities of the model (6.2) for various hyperparameters.
In the real data example section, we exploit the poverty level data which represent percentages of all persons below the poverty level. The estimators of the hyperparameters, the goodness-of-fit of the model, the empirical Bayes estimators of the variance parameter of the normal distribution with a conjugate normal-inverse-gamma prior and the PESLs, and the mean and variance of the poverty level data by the moment method and the MLE method are summarized in table 6.9. Because the value of the MLEs is smaller and the p-value of the MLEs is larger, the distribution with the hyperparameters estimated by the MLEs has a better fit to the sample than that estimated by the moment estimators.
In empirical Bayes analysis, the hyperparameters are unknown, and the marginal distribution is used to determine the hyperparameters from the observations. By exploiting the marginal distribution, there are two common methods to estimate the hyperparameters, that is, the moment method and the MLE method. In this chapter, we use the two methods to estimate the hyperparameters of the hierarchical normal and normal-inverse-gamma model (6.2).
Finally, let us present some future work. One may consider extending the hierarchical normal and normal-inverse-gamma model (6.2) to different types of non-conjugate priors for the parameters of the normal distribution (see Berger et al. (2015); Berger (1985, 2006) and the references therein). In such situations, one may not obtain analytical solutions, then one should be able to derive the estimators numerically.
图

Chapter 7 The Empirical Bayes Estimators of the Parameter of the Uniform Distribution with an Inverse Gamma Prior under Stein’s Loss Function

For the hierarchical uniform and inverse gamma model, we calculate the Bayes estimator of the parameter of the uniform distribution under Stein’s loss function, which penalizes gross overestimation and gross underestimation equally and the corresponding PESL. We also obtain the Bayes estimator of the parameter under the squared error loss function and the corresponding PESL. Moreover, we obtain empirical Bayes estimators of the parameter of the uniform distribution by the moment method and the MLE method. Note that the estimators of the hyperparameters of the model by the MLE method are summarized in a theorem, whose proof involves the upper incomplete gamma function and a special case of the Meijer G-function. In numerical simulations, we address from four perspectives. First, we exemplify the two inequalities of the Bayes estimators and the PESLs. Second, we illustrate that the moment estimators and the MLEs are consistent estimators of the hyperparameters. Third, we calculate the goodness-of-fit of the model to the simulated data. Fourth, we plot the marginal densities of the model for various hyperparameters. Finally, we utilize the current prices of the 300 component stocks of Shenzhen 300 Index to illustrate our theoretical studies.
Acknowledgement. This chapter is derived in part from an article Sun et al. (2024) published in Communications in Statistics-Simulation and Computation 05 July 2022 <Copyright Taylor & Francis>, available online: http://www.tandfonline.com/10.1080/03610918.2022.2093904.
图

7.1 Introduction

The motivation of this chapter is summarized as follows. The hierarchical uniform and inverse gamma model (7.1) has been in Example 2.2.6 (p. 36) of Mao and Tang (2012). However, they only calculated the Bayes estimator of under the squared error loss function. Since is a positive considered parameter, the Bayes estimator of under the squared error loss function is not appropriate. In contrast, we should choose Stein’s loss function because it penalizes gross overestimation and gross underestimation equally, that is, an action will incur an infinite loss when it tends to 0 or ∞. Motivated by the work of Sun et al. (2024); Mao and Tang (2012) calculate the empirical Bayes estimators of the parameter of the uniform distribution with an inverse gamma prior under Stein’s loss function.
The rest of the chapter is organized as follows. In section 7.2, we calculate the Bayes estimators and the PESLs, and they satisfy two inequalities (1.16) and (1.17). Moreover, we obtain four theorems in this section. In Theorem 7.1, we calculate the posterior distribution and the marginal pdf of the hierarchical uniform and inverse gamma model (7.1). In Theorem 7.2, we obtain the estimators of the hyperparameters of the model by the moment method and show their consistency. In Theorem 7.3, we obtain the estimators of the hyperparameters of the model by the MLE method and show their consistency. In Theorem 7.4, we summarize the empirical Bayes estimators of the parameter of the uniform distribution with an inverse gamma prior under Stein’s loss function by the moment method and the MLE method. In section 7.3, we carry out some numerical simulations, where we have addressed from four perspectives. First, we have exemplified the two inequalities (1.16) and (1.17). Second, we have illustrated that the moment estimators and the MLEs are consistent estimators of the hyperparameters. Third, we have calculated the goodness-of-fit of the model to the simulated data. Fourth, we have plotted the marginal densities of the model for various hyperparameters. A real data example is provided in section 7.4, where we choose the current prices of the 300 component stocks of the Shenzhen 300 Index as the research objects. Finally, some conclusions and discussions are provided in section 7.5.
图

7.2 Theoretical Results

Suppose that are a random sample of size from the hierarchical uniform and inverse gamma model:
(7.1)
where and are hyperparameters to be determined, is the unknown parameter of interest, is the uniform distribution, and is the inverse gamma distribution with an unknown shape parameter and an unknown rate parameter . Note that iid and independent are not the same. The iid means independent and identically distributed. More specifically, in (7.1), if are iid from a distribution , then are independent and identically distributed from . However, if are independent and from , they are not from the same distribution, since are different distributions when are different. Therefore, iid is a stronger condition than independent, because iid is independent and identically distributed. As described in Deely and Lindley (1981), the statistician observes a random sample of size and wishes to make an inference about . Therefore, provides direct information about the parameter , while supplementary information is also available. The connection between the prime data and the supplementary information is provided by the common distributions and . The pdfs of and can be found in section 1.2.
The model (7.1) has been considered in Example 2.2.6 (p. 36) of Mao and Tang (2012). However, they only calculated the Bayes estimator of under the squared error loss function. Since is a positive parameter, the Bayes estimator of under the squared error loss function is not appropriate. In contrast, we should choose Stein’s loss function because it penalizes gross overestimation and gross underestimation equally. The justifications of why Stein’s loss function is better than the squared error loss function on can be found in section 1.5. Moreover, Sun et al. (2024) obtain the posterior distribution and the marginal pdf in Theorem 7.1 below, and these two quantities have not been derived in Mao and Tang (2012). Furthermore, Sun et al. (2024) obtain the empirical Bayes estimators of the parameter of the uniform distribution with an inverse gamma prior by the moment method and the MLE method.
图

7.2.1 The Bayes Estimators and the PESLs

For the hierarchical uniform and inverse gamma model (7.1), we have the following theorem, in which we calculate the posterior distribution and the marginal pdf . The proof of the theorem can be found in appendix A.22.
Theorem 7.1. For the hierarchical uniform and inverse gamma model (7.1), the posterior distribution of is a truncated inverse gamma distribution, that is,
where is the pdf of the distribution, and is the cdf of the distribution evaluated at . In other words, is an inverse gamma distribution truncated on . The marginal pdf of is given by
(7.2)
for and , where is the cdf of the distribution.
In the following, we will calculate the Bayes estimator of under Stein’s loss function , the Bayes estimator of under the usual squared error loss function , and the PESLs at and and ) for the hierarchical uniform and inverse gamma model (7.1).
From (1.12)–(1.15), to calculate the two Bayes estimators and the two PESLs, it remains to calculate
After some tedious and complicated calculations, which can be found in appendix A.24, we obtain
(7.3)
(7.4)
and
(7.5)
where
is the normalized lower incomplete gamma function, gamma_inc_P() is an R function in the gsl library (Hankin (2006)),
is the lower incomplete gamma function,
is the ordinary gamma function, is the cdf of the distribution evaluated at , and
which can be numerically computed by utilizing the R built-in function integrate() very quickly and accurately (R Core Team (2023)), where is the pdf of the distribution. For some key notations and derivatives related to , , , , , and , the readers are referred to appendix A.23.
Substituting (7.3)–(7.5) into the expressions of (1.12)–(1.15), we obtain the explicit expressions of , , , and in terms of , , and .
图

7.2.2 The Empirical Bayes Estimators of θn+1

The estimators of the hyperparameters of the model (7.1) by the moment method and and their consistencies are summarized in the following theorem, whose proof can be found in appendix A.25.
Theorem 7.2. The estimators of the hyperparameters of the model (7.1) by the moment method are
(7.6)
(7.7)
where is the sample first-order moment of and is the sample second-order central moment of . Moreover, the moment estimators are consistent estimators of the hyperparameters.
The estimators of the hyperparameters of the model (7.1) by the MLE method and and their consistencies are summarized in the following theorem whose complicated proof can be found in appendix A.26. It is worthy to mention that the proof of Theorem 7.3 involves the upper incomplete gamma function
the partial derivatives of with respect to and , a special case of the Meijer G-function (The MathWorks (2018); Geddes et al. (1990))
and the partial derivatives of the function with respect to and .
Theorem 7.3. The estimators of the hyperparameters of the model (7.1) by the MLE method and are the solutions to the following equations:
(7.8)
(7.9)
where is the cdf of the distribution. Moreover, the MLEs are consistent estimators of the hyperparameters.
The analytical calculations of the MLEs of and by solving the equations (7.8) and (7.9) are impossible, and thus we have to resort to numerical solutions. We can exploit Newton’s method to solve the equations (7.8) and (7.9), and to numerically obtain the MLEs of and . Note that the MLEs of and are very sensitive to the initial estimators, and the moment estimators are usually proved to be good initial estimators.
Finally, the empirical Bayes estimators of the parameter of the model (7.1) under Stein’s loss function by the moment method and the MLE method are summarized in the following theorem.
Theorem 7.4. The empirical Bayes estimator of the parameter of the model (7.1) under Stein’s loss function by the moment method is given by () with the hyperparameters estimated by in Theorem 7.2. Alternatively, the empirical Bayes estimator of the parameter of the model (7.1) under Stein’s loss function by the MLE method is given by () with the hyperparameters estimated by numerically determined in Theorem 7.3.
图

7.3 Simulations

In this section, we will carry out the numerical simulations for the hierarchical uniform and inverse gamma model (7.1). We address from four perspectives. First, we will exemplify the two inequalities (1.16) and (1.17). Second, we will illustrate that the moment estimators and the MLEs are consistent estimators of the hyperparameters. Third, we will calculate the goodness-of-fit of the model to the simulated data. Finally, we will plot the marginal densities of the model for various hyperparameters.
The simulated data are generated according to the model (7.1) with the hyperparameters specified by and . The reason why we choose these values is that and are required in the moment estimations of the hyperparameters. Other numerical values of the hyperparameters can also be specified.
图

7.3.1 Two Inequalities of the Bayes Estimators and the PESLs

In this subsection, we will numerically exemplify the two inequalities (1.16) and (1.17). The motivation of this subsection is that theoretically, we have the two inequalities (1.16) and (1.17).
First, we fix and . Then we set a seed number 1 in R software (R Core Team (2023)) and draw from . After that, we draw from . Figure 7.1 shows the pdf of and the pdf of with , , and . From the figure, we see that the pdf of is left-peaked and right-skewed, and the pdf of is the pdf of truncated on . Numerical results show that
FIG. 7.1 — U-IG: The pdf of and the pdf of with , , and .
and
which exemplify the two inequalities (1.16) and (1.17).
Now we allow one of the three quantities , , and to change, holding other quantities fixed. In other words, we carry out sensitivity analyses of the Bayes estimators and the PESLs with respect to , , and . Figure 7.2 shows the Bayes estimators and the PESLs as functions of , , and . It is worth noting that the limits of the six plots are different. We see from the left plots of the figure that the Bayes estimators depend on , , and , and (1.16) is exemplified. More specifically, the Bayes estimators are decreasing functions of and , while they are increasing functions of . The right plots of the figure exhibit that the PESLs also depend on , , and , and (1.17) is exemplified. More specifically, the PESLs are decreasing functions of , , and . Furthermore, tables 7.17.3 display the numerical values of the Bayes estimators and the PESLs in figure 7.2. In summary, the results of figure 7.2 and tables 7.17.3 exemplify the two inequalities (1.16) and (1.17).
FIG. 7.2 — U-IG: The Bayes estimators and the PESLs as functions of , , and . (a) Bayes estimators vs. . (b) PESLs vs. . (c) Bayes estimators vs. . (d) PESLs vs. . (e) Bayes estimators vs. . (f) PESLs vs. .
TAB. 7.1 — U-IG: The numerical values of the Bayes estimators and the PESLs in figure 7.2: changes.
1 2 3 4 5 6 7 8 9 10
1.0104 0.8382 0.7580 0.7128 0.6840 0.6644 0.6501 0.6393 0.6309 0.6242
1.5708 1.0104 0.8382 0.7580 0.7128 0.6840 0.6644 0.6501 0.6393 0.6309
0.1496 0.0722 0.0413 0.0263 0.0181 0.0131 0.0099 0.0077 0.0061 0.0050
0.2629 0.0908 0.0466 0.0283 0.0189 0.0135 0.0101 0.0078 0.0062 0.0051
TAB. 7.2 — U-IG: The numerical values of the Bayes estimators and the PESLs in figure 7.2: changes.
1 2 3 4 5 6 7 8 9 10
0.7580 0.7294 0.7211 0.7172 0.7149 0.7134 0.7123 0.7115 0.7109 0.7104
0.8382 0.7908 0.7773 0.7709 0.7672 0.7648 0.7631 0.7618 0.7609 0.7601
0.0413 0.0334 0.0311 0.0300 0.0293 0.0289 0.0286 0.0284 0.0282 0.0281
0.0466 0.0368 0.0340 0.0326 0.0319 0.0314 0.0310 0.0308 0.0306 0.0304
TAB. 7.3 — U-IG: The numerical values of the Bayes estimators and the PESLs in figure 7.2: changes.
0.5 1 1.5 2 2.5 3 3.5 4 4.5 5
0.6784 1.2971 1.9202 2.5443 3.1687 3.7934 4.4181 5.0429 5.6678 6.2927
0.7543 1.4097 2.0729 2.7380 3.4037 4.0697 4.7359 5.4023 6.0687 6.7351
0.0436 0.0344 0.0317 0.0304 0.0297 0.0292 0.0288 0.0286 0.0284 0.0282
0.0495 0.0379 0.0347 0.0332 0.0323 0.0317 0.0313 0.0310 0.0308 0.0306
Since the Bayes estimators and and the PESLs and depend on , , and , we can plot the surfaces of the differences of the Bayes estimators and the PESLs on the domain for and 2 (other values can also be specified) via the R function persp3d() in the R package rgl (see Zhang et al. (2017, 2019b); Adler et al. (2017)). We remark that the R function persp3d() allows one to rotate the perspective plots of the surface according to one’s wishes. See figure 7.3. The domain for is for all the plots. a is for and b is for in the axes of all the plots. From the left two plots, we see that for all on for and 2, which exemplifies (1.16). From the right two plots, we see that for all on for and 2, which exemplifies (1.17). The results of figure 7.3 exemplify the two inequalities (1.16) and (1.17).
FIG. 7.3 — U-IG: (a) The surface of which is positive for all on for . (b) The surface of which is positive for all on for . (c) The surface of which is positive for all on for . (d) The surface of which is positive for all on for .
图

7.3.2 Consistencies of the Moment Estimators and the MLEs

In this subsection, similar to subsection 1.8.1, we will numerically exemplify that the moment estimators (, ) and the MLEs (, ) are consistent estimators of the hyperparameters (, ) of the hierarchical uniform and inverse gamma model (7.1). The motivation of this subsection is that in Theorems 7.2 and 7.3, we have theoretically shown that the moment estimators and the MLEs are consistent estimators of the hyperparameters. Note that only are used in this subsection.
The frequencies of the moment estimators (, ) and the MLEs (, ) of the hyperparameters (, ) as varies for and , 0.5, and 0.2 are reported in table 7.4. From the table, we observe the following facts.
TAB. 7.4 — U-IG: The frequencies of the moment estimators and the MLEs of the hyperparameters as varies for and , 0.5, and 0.2.
Moment estimators MLEs
200 0.27 0 0.09 0
400 0.15 0 0.01 0
800 0.04 0 0 0
1600 0.02 0 0 0
200 0.52 0.02 0.40 0.04
400 0.53 0 0.24 0
800 0.33 0 0.04 0
1600 0.21 0 0.02 0
200 0.85 0.54 0.74 0.45
400 0.80 0.52 0.62 0.25
800 0.69 0.28 0.39 0.04
1600 0.56 0.21 0.22 0
1. Given , 0.5, or 0.2, the frequencies of the estimators (, or , ) tend to 0 as increases to infinity, which means that the moment estimators and the MLEs are consistent estimators of the hyperparameters. For , the frequencies of the estimators (, , ) are still very large ( in all cases). However, we observe the tendencies of declining to 0 as increases to infinity.
2. Comparing the frequencies corresponding to , 0.5, and 0.2, we observe that as gets smaller, the frequencies tend to be larger, since the constraints
(7.10)
are easier to meet.
3. Theoretically, the consistency means that (1.22) for every and every . However, we can only exemplify the limit (1.22) for several selected in simulations, for example, , 0.5, and 0.2. It is a reasonable setting, because as observed from this table when , the frequencies (, , , ) tend to 0 as tends to 1600. Moreover, when , the frequencies are getting bigger, since the constraints (7.10) are easier to meet, and the frequencies (, , ) still tend to 0 as tends to 1600. We observe the tendency of declining to 0 as increases to infinity for . Furthermore, when , the frequencies are getting even bigger, since the constraints (7.10) are easier to meet, and the frequency () still tends to 0 as tends to 1600. We observe the tendencies of declining to 0 as increases to infinity for the frequencies (, , ).
4. Comparing the moment estimators and the MLEs of the hyperparameters and , we see that the frequencies of the MLEs are smaller than those of the moment estimators (the frequencies corresponding to and when estimating are exceptions), which means that the MLEs are better than the moment estimators when estimating the hyperparameters in terms of consistency.
5. An explanation to use is given as follows. We originally set to calculate the frequencies. We use parallel computing with 20 cores, and in each core we compute 5 simulations. Hence, we have done simulations. However, 3 cores fail to obtain the MLEs of the hyperparameters due to the singularity of the matrix when . Therefore, we decided to calculate the frequencies through the available 85 () simulations.
图

7.3.3 Goodness-of-Fit of the Model: KS Test

In this subsection, similar to subsection 1.8.2, we will calculate the goodness-of-fit of the hierarchical uniform and inverse gamma model (7.1) to the simulated data. The motivation of this subsection is that we want to check whether the marginal distribution of the hierarchical uniform and inverse gamma model (7.1) fits the simulated data well. Notice that only are used in this subsection.
In our problem, the null hypothesis specifies that
where is the marginal distribution of the hierarchical uniform and inverse gamma model (7.1). The marginal density of the distribution is given by (7.2) which is obviously one-dimensional continuous. Therefore, the KS test can be used as a measure of the goodness-of-fit.
The results of the KS test goodness-of-fit of the model (7.1) to the simulated data are reported in table 7.5. It is worth noting that the data are simulated according to the hierarchical uniform and inverse gamma model (7.1) with and . In the table, the hyperparameters and are estimated by three methods. The first method is the oracle method, in that we know the hyperparameters and . The second method is the moment method, in which the hyperparameters and are estimated by their moment estimators (see Theorem 7.2). The third method is the MLE method, in which the hyperparameters and are estimated by their MLEs (see Theorem 7.3). In the table, the sample size is , and the number of simulations is . Originally, we did 100 simulations. However, two simulations fail, because in the iteration process, the estimator of becomes negative and errors occur in the Matlab function Newtons().
TAB. 7.5 — U-IG: The results of the KS test goodness-of-fit of the model (7.1) to the simulated data.
0.0224 0.0258 0.0162
0.5025 0.3736 0.7950
0.143 0.061 0.796
0.143 0.061 0.796
0.929 0.867 1.000
From table 7.5, we observe the following facts.
1. The values for the three methods are respectively given by 0.0224, 0.0258, and 0.0162, which means that the MLE method is the best method, the oracle method is the second-best method, and the moment method is the worst method. A possible explanation for a phenomenon that the MLE method performs better than the oracle method is that in (1.23), the empirical cdf is based on data, and the population cdfs for the MLE method is also based on data, while the population cdf for the oracle method is not based on data.
2. The values for the three methods are respectively given by 0.5025, 0.3736, and 0.7950, which also means that the MLE method ranks first, the oracle method ranks second, and the moment method ranks third.
3. The values for the three methods are respectively given by 0.143, 0.061, and 0.796. The value for the MLE method accounts for over half of the simulations. The order of preference for the three methods is the MLE method, the oracle method, and the moment method.
4. The values for the three methods are respectively given by 0.143, 0.061, and 0.796. A small value corresponds to a large p-value. Therefore, the smallest value corresponds to the largest p-value. Hence, the value and the value for the three methods are the same. The order of preference for the three methods is the MLE method, the oracle method, and the moment method.
5. The values for the three methods are respectively given by 0.929, 0.867, and 1.000. Once again, the order of preference for the three methods is the MLE method, the oracle method, and the moment method.
The boxplots of the values and the p-values for the three methods are displayed in figure 7.4. From the figure, we observe the following facts.
FIG. 7.4 — U-IG: The boxplots of the values and the p-values for the three methods. (a) values. (b) p-values.
1. The values of the moment method are significantly larger than those of the other two methods. For the value, the smaller the better. The order of preference for the three methods is the MLE method, the oracle method, and the moment method.
2. The p-values of the moment method are significantly smaller than those of the other two methods. For the p-value, the larger the better. The order of preference for the three methods is the MLE method, the oracle method, and the moment method.
3. Small values correspond to large p-values, and large values correspond to small p-values.
4. The MLE method has a better performance than the moment method in terms of the values and the p-values.
图

7.3.4 Marginal Densities for Various Hyperparameters

In this subsection, we will plot the marginal densities of the hierarchical uniform and inverse gamma model (7.1) for various hyperparameters and . The motivation of this subsection is that we want to know what kind of data can be modeled by the hierarchical uniform and inverse gamma model (7.1). Note that the marginal density of is given by (7.2) specified by two hyperparameters and . Note that is required to ensure that
(7.11)
is positive. The derivation of (7.11) can be found in appendix A.25. It is easy to show that is a decreasing function of and . Moreover, we will explore how the marginal densities change around the marginal density with hyperparameters specified by and . Other numerical values of the hyperparameters can also be specified.
Figure 7.5 plots the marginal densities for varied , holding fixed. From the figure we see that as increases, the peak value of the curve increases and the variance of the distribution decreases. Moreover, all the marginal densities are right-skewed.
FIG. 7.5 — U-IG: The marginal densities for varied , holding fixed.
Figure 7.6 plots the marginal densities for varied , holding fixed. From the figure, we also see that as increases, the peak value of the curve increases and the variance of the distribution decreases. Moreover, all the marginal densities are also right-skewed.
FIG. 7.6 — U-IG: The marginal densities for varied , holding fixed.
图

7.4 A Real Data Example

In this section, we choose the current prices of the 300 component stocks of Shenzhen 300 Index on March 4, 2019, as the research objects. According to the proportion of the average circulating market value and the average turnover amount of 2:1 in a period of time, the stocks in the Shenzhen (a city in China) stock market rank from high to low. We select the top 300 stocks that constitute the initial component stocks of Shenzhen 300 Index. Shenzhen 300 Index is an indispensable reference for investors and securities practitioners to judge the trend of stock price change in the Shenzhen stock market.
It is worth mentioning that the original data (the current prices of the 300 component stocks of Shenzhen 300 Index) do not have a good result of the goodness-of-fit of the model (7.1). However, the transformed data (the transformation is , ), henceforth the sample , behave well in terms of the goodness-of-fit of the model (7.1). The histograms of the original data and the sample are depicted in figure 7.7. From the figure, we see that the original data behave like count data, and the sample are right-skewed positive continuous data. It is worth noting that the supplementary information is used to estimate the hyperparameters and to compute the goodness-of-fit of the model, while the prime data is used in the computations of the Bayes estimators and PESLs.
FIG. 7.7 — U-IG: The histograms of the original data and the sample . (a) . (b) .
The estimators of the hyperparameters and , the goodness-of-fit of the model, and the empirical Bayes estimators of the parameter of the uniform distribution with an inverse gamma prior and the PESLs by the moment method and the MLE method are summarized in table 7.6. From the table, we observe the following facts.
TAB. 7.6 — U-IG: The estimators of the hyperparameters, the goodness-of-fit of the model, and the empirical Bayes estimators of the parameter of the uniform distribution with an inverse gamma prior and the PESLs by the moment method and the MLE method for the Shenzhen 300 Index.
Moment method MLE method
Estimators of the hyperparameters
Goodness-of-fit of the model 0.0501 0.0543
p-value 0.4399 0.3418
Empirical Bayes estimators and PESLs 0.1438249 0.1347499
0.1622345 0.1561949
0.0578093 0.0702162
0.0653631 0.0816789
1. The moment estimators and the MLEs of the hyperparameters and are quite different. This does not mean that the hierarchical uniform and inverse gamma model (7.1) does not fit the real data, nor mean that the moment estimators and the MLEs are not consistent estimators of the hyperparameters and . The reason for the big differences between the two estimators is that the sample size is too small.
2. We use the KS test as a measure of the goodness-of-fit. The p-value of the moment method is , and thus the distribution with and estimated by their moment estimators, fits the sample well. Moreover, the p-value of the MLE method is , and thus the distribution with and estimated by their MLEs fits the sample well. When comparing the two methods, we observe that the value of the moment method is smaller, and the p-value of the moment method is larger, which means that the distribution with and estimated by the moment estimators has a better fit to the sample than that estimated by the MLEs. It is worth noting that the moment method could be better than the MLE method, as observed from table 7.5.
3. When the hyperparameters are estimated by the moment method, we see that
and
When the hyperparameters are estimated by the MLE method, we observe a similar phenomenon for the Bayes estimators and the PESLs. Consequently, the two inequalities (1.16) and (1.17) are exemplified.
图

7.5 Conclusions and Discussions

For the hierarchical uniform and inverse gamma model (7.1), we first calculate the posterior distribution of , , and the marginal pdf of , , in Theorem 7.1. We then calculate the Bayes estimators and , and the PESLs and . Furthermore, they satisfy two inequalities (1.16) and (1.17). After that, the estimators of the hyperparameters of the model (7.1) by the moment method and their consistencies are summarized in Theorem 7.2. Moreover, the estimators of the hyperparameters of the model (7.1) by the MLE method and their consistencies are summarized in Theorem 7.3, whose proof involves the upper incomplete gamma function and its derivatives and a special case of the Meijer G-function and its derivatives. Finally, the empirical Bayes estimators of the parameter of the model (7.1) under Stein’s loss function by the moment method and the MLE method are summarized in Theorem 7.4.
We carry out the numerical simulations for the hierarchical uniform and inverse gamma model (7.1) in the simulations section. First, we have exemplified the two inequalities (1.16) and (1.17). After that, we have illustrated that the moment estimators and the MLEs are consistent estimators of the hyperparameters in table 7.4. Moreover, we have calculated the goodness-of-fit of the model (7.1) to the simulated data in table 7.5. Furthermore, the plots of the marginal densities show that all the curves are right-skewed. Therefore, the hierarchical uniform and inverse gamma model (7.1) could potentially be used to fit right-skewed positive continuous data instead of left-skewed positive continuous data. Finally, the estimators of the hyperparameters, the goodness-of-fit of the model, and the empirical Bayes estimators of the parameter of the uniform distribution with an inverse gamma prior and the PESLs by the moment method and the MLE method for the Shenzhen 300 Index are summarized in table 7.6.
To the best of our knowledge, there is no built-in or contributed R function which can deal with the Meijer G-function. Therefore, if one can contribute an R package which can deal with the Meijer G-function and its derivatives, then that would be very good news for the R community. Luckily, the meijerG() function introduced in Matlab R2017b can deal with the Meijer G-function, and hence our codes related to the Meijer G-function are written in Matlab. Consequently, our codes are a combination of R codes and Matlab codes.
When numerically computing
where is the numerator of and is the denominator of , we get an NaN value as both and are very small numbers that are close to 0. Moreover, we find that can be positive, negative, or 0, and is always positive. To overcome the numerical underflow problem, we compute as follows:
where is the sign of with
is the absolute value of , and . After using the above technique, we obtain a finite value of .
Other things that need attention are the numerical computations of
and
where
Similar to the numerical computation of , we encounter NaN values as , , and are all close to 0. To overcome the numerical underflow problem, we use the following technique:
where
After using the above technique, we obtain finite values of and .
It is worthy to point out that there exists an analytical solution to
The analytical calculations of can be found in appendix A.27. However, there is a numerical accuracy problem with the above analytical solution. More specifically, the numerical integration by utilizing the R function integrate() produces a very small value of the magnitude of , while the analytical solution produces a not very small value of the magnitude of . Note that the denominator of is which is a very small value of the magnitude of . Consequently, the numerical integration of gives us a reasonable value of of the magnitude of , while the analytical solution of gives us an unreasonably very large value of of the magnitude of . That is why we chose the numerical integration to compute .
图

Chapter 8 The Empirical Bayes Estimators of the Parameter of the Poisson Distribution with a Conjugate Gamma Prior under Stein’s Loss Function

For the hierarchical Poisson and gamma model, we calculate the Bayes estimator of the parameter of the Poisson distribution under Stein’s loss function, which penalizes gross overestimation and gross underestimation equally and the corresponding PESL. We also obtain the Bayes estimator of the parameter under the squared error loss function and the corresponding PESL. Moreover, we obtain the empirical Bayes estimators of the parameter of the Poisson distribution with a conjugate gamma prior by the moment method and the MLE method. In numerical simulations, we have illustrated four aspects: The two inequalities of the Bayes estimators and the PESLs; the consistencies of the moment estimators and the MLEs of the hyperparameters; the goodness-of-fit of the model to the simulated data; and the plots of the marginal probability mass functions (pmfs) for various hyperparameters. The numerical results indicate that the MLEs are better than the moment estimators when estimating the hyperparameters. Finally, we exploit the attendance data on 314 high school juniors from two urban high schools to illustrate our theoretical studies.
Acknowledgement. This chapter is derived in part from an article Zhang et al. (2019b) published in Journal of Statistical Computation and Simulation 08 August 2019 <Copyright Taylor & Francis>, available online: http://www.tandfonline.com/10.1080/00949655.2019.1652606.
图

8.1 Introduction

The hierarchical Poisson and gamma model (8.1) has been considered in exercise 4.32 (p. 196) of Casella and Berger (2002). It has been shown that the marginal distribution of is a negative binomial distribution if is a positive integer. The Bayes estimation of , the parameter of the Poisson distribution, under the gamma prior is studied in Deely and Lindley (1981) and in tables 3.3.1 (p. 121) and 4.2.1 (p. 176) of Robert (2007). However, they only calculated the Bayes estimator of under the squared error loss function. Since is a positive parameter, the Bayes estimator of under the squared error loss function is not appropriate. In contrast, we should choose Stein’s loss function (James and Stein (1961); see also Brown (1990)) because it penalizes gross overestimation and gross underestimation equally. In this chapter, we calculate the Bayes estimator of under Stein’s loss function and the corresponding PESL. We also obtain the Bayes estimator of under the squared error loss function and the corresponding PESL. The Bayes estimators and the PESLs satisfy two inequalities (8.6) and (8.9). Moreover, we obtain the empirical Bayes estimators of the parameter of the Poisson distribution with a conjugate gamma prior by the moment method and the MLE method. Numerical simulations and a real data example illustrate our theoretical results.
The rest of the chapter is organized as follows. In section 8.2, we calculate the Bayes estimators and the PESLs, and they satisfy two inequalities (8.6) and (8.9). Moreover, we summarize the empirical Bayes estimators of the parameter of the model (8.1) under Stein’s loss function by the moment method and the MLE method in Theorem 8.4. In section 8.3, we carry out some numerical simulations, where we have illustrated four aspects. First, we have exemplified the two inequalities (8.6) and (8.9). Second, we have illustrated that the moment estimators and the MLEs are consistent estimators of the hyperparameters. Third, we have calculated the goodness-of-fit of the model (8.1) to the simulated data. Finally, we have plotted the marginal pmfs of the model for various hyperparameters. A real data example is provided in section 8.4, where we exploit the attendance data on 314d high school juniors from two urban high schools, and the variable of interest is days absent. Some conclusions and discussions are provided in section 8.5.
图

8.2 Theoretical Results

Suppose that are observed from the hierarchical Poisson and gamma model:
(8.1)
where and are hyperparameters to be determined, is the unknown parameter of interest, is the Poisson distribution with an unknown mean , and is the gamma distribution with an unknown shape parameter and an unknown rate parameter . The gamma prior is a conjugate prior for the Poisson model, so that the posterior distribution of is also a gamma distribution. As described in Deely and Lindley (1981), the statistician observes data and wishes to make an inference about . Therefore, provides direct information about the parameter , while supplementary information is also available. The connection between the prime data and the supplementary information is provided by the common distributions and . The pdfs of and can be found in section 1.2.
图

8.2.1 The Bayes Estimators and the PESLs

For the hierarchical Poisson and gamma model (8.1), we have the following theorem which calculates the posterior density and the marginal pmf . The proof of the theorem can be found in appendix A.28.
Theorem 8.1. For the hierarchical Poisson and gamma model (8.1), the posterior density of is a gamma distribution, that is,
where
(8.2)
The marginal pmf of is given by
(8.3)
for and . In particular, when is a positive integer, the marginal distribution of is a negative binomial distribution, , with
Note that the particular part of Theorem 8.1 has been considered in exercise 4.32 (p. 196) of Casella and Berger (2002).
Now, let us analytically calculate the Bayes estimators and , and the PESLs and under the hierarchical Poisson and gamma model (8.1) from (1.12)–(1.15). The three expectations are calculated as
where and are given by (8.2). Now, let us calculate . For the sake of simplicity, the *’s are dropped from and . We have
where
is the digamma function, which can be directly calculated in R software by digamma(x) (R Core Team (2023)). From (1.12), the Bayes estimator of under Stein’s loss function is given by
(8.4)
for . From (1.13), the Bayes estimator of under the usual squared error loss function is given by
(8.5)
It is easy to show that
(8.6)
which exemplifies the theoretical study of (1.16). Furthermore, from (1.14), the PESL at is given by
(8.7)
From (1.15), the PESL at is given by
(8.8)
It is easy to show that
(8.9)
which exemplifies the theoretical study of (1.17). It is worth noting that the PESLs and depend only on , but not on . Therefore, the PESLs depend only on and , but not on .
In the simulations section and the real data section, we will exemplify the two inequalities (8.6) and (8.9). Moreover, we will exemplify that the PESLs depend only on and , but not on .
图

8.2.2 The Empirical Bayes Estimators of θn+1

The estimators of the hyperparameters of the model (8.1) by the moment method and and their consistencies are summarized in the following theorem whose proof can be found in appendix A.29.
Theorem 8.2. The estimators of the hyperparameters of the model (8.1) by the moment method are
(8.10)
(8.11)
where
is the sample th moment of . Moreover, the moment estimators are consistent estimators of the hyperparameters.
The estimators of the hyperparameters of the model (8.1) by the MLE method and and their consistencies are summarized in the following theorem whose proof can be found in appendix A.30.
Theorem 8.3. The estimators of the hyperparameters of the model (8.1) by the MLE method and are the solutions to the following equations:
(8.12)
(8.13)
Moreover, the MLEs are consistent estimators of the hyperparameters.
The analytical calculations of the MLEs of and by solving the equations (8.12) and (8.13) are impossible, and thus we have to resort to numerical solutions. We can exploit Newton’s method to solve the equations (8.12) and (8.13), and to obtain the MLEs of and . Note that the MLEs of and are very sensitive to the initial estimators, and the moment estimators are usually proved to be good initial estimators.
Finally, the empirical Bayes estimators of the parameter of the model (8.1) under Stein’s loss function by the moment method and the MLE method are summarized in the following theorem.
Theorem 8.4. The empirical Bayes estimator of the parameter of the model (8.1) under Stein’s loss function by the moment method is given by (8.4) with the hyperparameters estimated by in Theorem 8.2. Alternatively, the empirical Bayes estimator of the parameter of the model (8.1) under Stein’s loss function by the MLE method is given by (8.4) with the hyperparameters estimated by numerically determined in Theorem 8.3.
图

8.3 Simulations

In this section, we will carry out the numerical simulations for the hierarchical Poisson and gamma model (8.1). We will illustrate four aspects. First, we will exemplify the two inequalities (8.6) and (8.9). Second, we will illustrate that the moment estimators and the MLEs are consistent estimators of the hyperparameters. Third, we will calculate the goodness-of-fit of the model (8.1) to the simulated data. Finally, we will plot the marginal pmfs of the model (8.1) for various hyperparameters.
The simulated data are generated according to the model (8.1) with the hyperparameters specified by and . The reason why we choose these values is that and . Other numerical values of the hyperparameters can also be specified.
图

8.3.1 Two Inequalities of the Bayes Estimators and the PESLs

In this subsection, we will numerically exemplify the two inequalities of the Bayes estimators and the PESLs (8.6) and (8.9) for the oracle method. The motivation of this subsection is that theoretically we have the two inequalities (8.6) and (8.9).
First, we fix and . Then we set a seed number 1 in R software and draw from . After that, we draw from . Figure 8.1 shows the histogram of and the density estimation curve of . It is that we find to minimize the PESL. Numerical results show that
and
which exemplify the theoretical studies of (8.6) and (8.9).
Now we allow one of the three quantities , , and to change, holding other quantities fixed. In other words, we are interested in the sensitivity analysis of the Bayes estimators and the PESLs about the three quantities , , and . Figure 8.2 shows the Bayes estimators and the PESLs as functions of , , and . We see from the left plots of the figure that the Bayes estimators depend on , , and , and (8.6) is exemplified. Moreover, the Bayes estimators are increasing functions of and , and they are decreasing functions of . The right plots of the figure exhibit that the PESLs depend only on and , but not on , and (8.9) is exemplified. In addition, the PESLs are decreasing functions of and . Furthermore, tables 8.18.3 display the numerical values of the Bayes estimators and the PESLs in Figure 8.2. In summary, the results of figure 8.2 and tables 8.18.3 exemplify the two inequalities (8.6) and (8.9).
FIG. 8.1 — P-G: The histogram of and the density estimation curve of .
FIG. 8.2 — P-G: The Bayes estimators and the PESLs as functions of , , and . (a), (c), (e) Bayes estimators vs. , , and . (b), (d), (f) PESLs vs. , , and .
TAB. 8.1 — P-G: The numerical values of the Bayes estimators and the PESLs in figure 8.2: changes.
1 2 3 4 5 6 7 8 9 10
1.0000 1.5000 2.0000 2.5000 3.0000 3.5000 4.0000 4.5000 5.0000 5.5000
1.5000 2.0000 2.5000 3.0000 3.5000 4.0000 4.5000 5.0000 5.5000 6.0000
0.2296 0.1575 0.1198 0.0967 0.0810 0.0697 0.0612 0.0545 0.0492 0.0448
0.3242 0.2032 0.1467 0.1144 0.0935 0.0791 0.0684 0.0603 0.0539 0.0487
TAB. 8.2 — P-G: The numerical values of the Bayes estimators and the PESLs in figure 8.2: changes.
1 2 3 4 5 6 7 8 9 10
1.5000 1.0000 0.7500 0.6000 0.5000 0.4286 0.3750 0.3333 0.3000 0.2727
2.0000 1.3333 1.0000 0.8000 0.6667 0.5714 0.5000 0.4444 0.4000 0.3636
0.1575 0.1575 0.1575 0.1575 0.1575 0.1575 0.1575 0.1575 0.1575 0.1575
0.2032 0.2032 0.2032 0.2032 0.2032 0.2032 0.2032 0.2032 0.2032 0.2032
TAB. 8.3 — P-G: The numerical values of the Bayes estimators and the PESLs in figure 8.2: changes.
0 1 2 3 4 5 6 7 8 9
0.5000 1.0000 1.5000 2.0000 2.5000 3.0000 3.5000 4.0000 4.5000 5.0000
1.0000 1.5000 2.0000 2.5000 3.0000 3.5000 4.0000 4.5000 5.0000 5.5000
0.4228 0.2296 0.1575 0.1198 0.0967 0.0810 0.0697 0.0612 0.0545 0.0492
0.7296 0.3242 0.2032 0.1467 0.1144 0.0935 0.0791 0.0684 0.0603 0.0539
Since the Bayes estimators and and the PESLs and depend on and , where and , we can plot the surfaces of the Bayes estimators and the PESLs on the domain via the R function persp3d() in the R package rgl (see Sun et al. (2021); Zhang et al. (2017, 2019b); Adler et al. (2017)). We remark that the R function persp() in the R package graphics can not add another surface to the existing surface, but persp3d() can. Moreover, persp3d() allows one to rotate the perspective plots of the surface according to one’s wishes. Figure 8.3 plots the surfaces of the Bayes estimators and the PESLs, and the surfaces of the differences of the Bayes estimators and the PESLs. The domain for is for all the plots. a is for and b is for in the axes of all the plots. The red surface is for and the blue surface is for in the upper two plots. From the left two plots of the figure, we see that for all on , which exemplifies (8.6). From the right two plots of the figure, we see that for all on , which exemplifies (8.9). The results of the figure exemplify the theoretical studies of (8.6) and (8.9).
图

8.3.2 Consistencies of the Moment Estimators and the MLEs

In this subsection, similar to subsection 1.8.1, we will numerically exemplify that the moment estimators (, ) and the MLEs (, ) are consistent estimators of the hyperparameters (, ) of the hierarchical Poisson and gamma model (8.1). The motivation of this subsection is that in Theorems 8.2 and 8.3, we have theoretically shown that the moment estimators and the MLEs are consistent estimators of the hyperparameters. Note that only are used in this subsection.
FIG. 8.3 — P-G: (a) The Bayes estimators as functions of and . (b) The PESLs as functions of and . (c) The surface of which is positive for all on . (d) The surface of which is also positive for all on .
The frequencies of the moment estimators (, ) and the MLEs (, ) of the hyperparameters (, ) as varies for and , 0.5, and 0.1 are reported in table 8.4. From the table, we observe the following facts.
1. Given , 0.5, or 0.1, the frequencies of the estimators (, , , ) tend to 0 as increases to infinity, which means that the moment estimators and the MLEs are consistent estimators of the hyperparameters. For , the frequencies of the estimators and are still very large ( for all the cases). However, we observe the tendencies of declining to 0 as increases to infinity.
2. Comparing the frequencies corresponding to , 0.5, and 0.1, we observe that as gets smaller, the frequencies tend to be larger, since the constraints
are easier to meet.
3. Comparing the moment estimators and the MLEs of the hyperparameters and , we see that the frequencies of the MLEs are smaller than those of the moment estimators for large , which means that the MLEs are better than the moment estimators when estimating the hyperparameters in terms of consistency.
图

8.3.3 Goodness-of-Fit of the Model: Chi-Square Test

In this subsection, similar to subsection 1.8.2, we will calculate the goodness-of-fit of the hierarchical Poisson and gamma model (8.1) to the simulated data. The motivation of this subsection is that we want to check whether the marginal distribution of the hierarchical Poisson and gamma model (8.1) fits the simulated data well. Note that only are used in this subsection.
TAB. 8.4 — P-G: The frequencies of the moment estimators and the MLEs of the hyperparameters as varies for and , 0.5, and 0.1.
Moment estimators MLEs
1e3 0 0 0 0
2e3 0 0 0 0
4e3 0 0 0 0
8e3 0 0 0 0
1e3 0.06 0 0.01 0
2e3 0 0 0 0
4e3 0 0 0 0
8e3 0 0 0 0
1e3 0.65 0.39 0.67 0.40
2e3 0.56 0.24 0.48 0.24
4e3 0.41 0.12 0.31 0.09
8e3 0.22 0.03 0.17 0
The results of the goodness-of-fit of the model (8.1) to the simulated data are reported in table 8.5. Note that the data is simulated according to the hierarchical Poisson and gamma model (8.1) with and . In the table, is the number of groups, is the sample size, is the chi-square statistic, which is equal to or in the first or second case, respectively, is the degree of freedom of the limiting chi-square distribution, and the p-value is the probability that a value of as large as the one observed would have occurred if the null hypothesis were true. From the table, we observe the following facts.
1. In the first column of the table, the null hypothesis is
where is the marginal distribution of the hierarchical Poisson and gamma model (8.1) with and known, and thus . The p-value , and thus the distribution with and fits the simulated data well.
2. In the second column of the table, the null hypothesis specifies that is distributed to a distribution with and unknown. The unknown hyperparameters and are estimated by their moment estimators and based on the simulated sample with a sample size . Therefore, the . The p-value , and thus the distribution with and estimated by their moment estimators fits the simulated data well.
3. In the third column of the table, the null hypothesis specifies that is distributed to a distribution with and unknown. The unknown hyperparameters and are estimated by the MLEs and based on the simulated sample with a sample size . Therefore, the . The p-value , and thus the distribution with and estimated by their MLEs fits the simulated data well.
4. Comparing the second and third columns to the first column of the table, we find that the degree of freedom is lost by 2, and the p-value is increased. Nevertheless, all the columns indicate that the hierarchical Poisson and gamma model (8.1) fits the simulated data well.
5. Comparing the second column to the third column of the table, we see that the degrees of freedom are the same, the value of the MLEs is smaller, and the p-value of the MLEs is larger, which means that the distribution with the hyperparameters and estimated by the MLEs has a better fit to the simulated data than that estimated by the moment estimators.
TAB. 8.5 — P-G: The results of the goodness-of-fit of the model (8.1) to the simulated data.
10 10 10
11.011 8.679 7.600
9 7 7
p-value 0.275 0.277 0.369
图

8.3.4 Marginal pmfs for Various Hyperparameters

In this subsection, we will plot the marginal pmfs of the hierarchical Poisson and gamma model (8.1) for various hyperparameters and . The motivation of this subsection is that we want to know what kind of data can be modeled by the hierarchical Poisson and gamma model (8.1). Note that the marginal pmf of is given by (8.3) specified by two hyperparameters and . We will explore how the marginal pmfs change around the marginal pmf with hyperparameters specified by and . Other numerical values of the hyperparameters can also be specified.
Figure 8.4 plots the marginal pmfs for varied , holding fixed. From the figure, we see that as increases, the peak value of the marginal pmf decreases. In other words, the variance of the marginal pmf increases as
(8.14)
is an increasing function of . Moreover, the peak is shifted to the right. In addition, the sum of the marginal pmfs for for are respectively computed as
FIG. 8.4 — P-G: The marginal pmfs for varied , holding fixed.
We observe that as increases, the sum of the marginal pmfs for decreases.
Figure 8.5 plots the marginal pmfs for varied , holding fixed. From the figure, we see that as increases, the peak value of the marginal pmf increases. In other words, the variance of the marginal pmf decreases, as (8.14) is a decreasing function of . Moreover, the peak is shifted to the left. In addition, the sum of the marginal pmfs for for are respectively computed as
We observe that as increases, the sum of the marginal pmfs for increases.
It is important to point out that the marginal pmfs only take values on 0 and positive integers. They are equal to 0 at other points. The lines in figures 8.4 and 8.5 are used to indicate tendencies of the marginal pmfs, not for the values of the marginal pmfs.
图

8.4 A Real Data Example

In this section, we exploit the attendance data on high school juniors from two urban high schools in the file nb_data (see UCLA Institute for Digital Research and Education (2018)). The variable of interest is days absent, daysabs.
The sample unconditional mean and variance of and are summarized in table 8.6. From the table, we observe that the sample unconditional mean of our outcome variable is much lower than its variance, and thus a Poisson model is not appropriate. We will see in the following that the hierarchical Poisson and gamma model (8.1) fits the data very well.
FIG. 8.5 — P-G: The marginal pmfs for varied , holding fixed.
TAB. 8.6 — P-G: The sample unconditional mean and variance of and .
5.968 5.955
49.627 49.519
Note that with . is used in the goodness-of-fit of the model to the data.
The frequencies of are summarized in table 8.7.
TAB. 8.7 — P-G: The frequencies of .
Value 0 1 2 3 4 5 6 7 8 9 10 11
Frequency 57 41 27 27 25 20 16 14 10 13 5 7
Value 12 13 14 15 16 17 18 19 20 21 22 23
Frequency 7 6 4 3 7 1 2 3 2 2 0 2
Value 24 25 26 27 28 29 30 31 32 33 34 35
Frequency 1 0 0 2 2 1 2 0 0 0 2 2
The histogram of the sample is depicted in figure 8.6. From the figure, we see that the data are right-skewed with a large variance.
FIG. 8.6 — P-G: The histogram of the sample .
The estimators of the hyperparameters and , the goodness-of-fit of the model, the empirical Bayes estimators of the parameter of the Poisson distribution with a conjugate gamma prior (8.1) and the PESLs, and the mean and variance of the attendance data by the moment method and the MLE method are summarized in table 8.8. From the table, we observe the following facts.
TAB. 8.8 — P-G: The estimators of the hyperparameters, the goodness-of-fit of the model, the empirical Bayes estimators of the parameter of the Poisson distribution with a conjugate gamma prior and the PESLs, and the mean and variance of the attendance data by the moment method and the MLE method.
Moment method MLE method
Estimators of the hyperparameters
Goodness-of-fit of the model 36 36
313 313
31.379 30.702
33 33
p-value 0.548 0.582
Empirical Bayes estimators and PESLs 1.5994 1.5863
2.4787 2.4683
0.2504 0.2530
0.3621 0.3668
Mean and variance of the attendance data 5.968 5.968
49.469 50.574
1. The sample size is , which is divided into groups.
2. The degrees of freedom , since two hyperparameters and are estimated by the sample.
3. The p-value of the moment method is , and thus the distribution with and estimated by their moment estimators, fits the sample well. Similarly, the p-value of the MLE method is , and thus the distribution with and estimated by their MLEs fits the sample well. Comparing the two methods, the value of the MLEs is smaller, and the p-value of the MLEs is larger, which means that the distribution with the hyperparameters and estimated by the MLEs has a better fit to the sample than that estimated by the moment estimators.
4. When the hyperparameters are estimated by the MLE method, we have
and
When the hyperparameters are estimated by the moment method, we observe a similar phenomenon for the Bayes estimators and the PESLs. Therefore, the two inequalities (8.6) and (8.9) are exemplified. Comparing the moment method and the MLE method, we see that the estimators of the hyperparameters, the Bayes estimators, the PESLs, and the mean and variance of the attendance data are very similar.
图

8.5 Conclusions and Discussions

For the hierarchical Poisson and gamma model (8.1), we first calculate the posterior distribution of , , and the marginal pmf of , , in Theorem 8.1. We then calculate the Bayes estimators and , and the PESLs and , and they satisfy two inequalities (8.6) and (8.9). After that, the estimators of the hyperparameters of the model (8.1) by the moment method and their consistencies are summarized in Theorem 8.2. Moreover, the estimators of the hyperparameters of the model (8.1) by the MLE method and their consistencies are summarized in Theorem 8.3. Finally, the empirical Bayes estimators of the parameter of the model (8.1) under Stein’s loss function by the moment method and the MLE method are summarized in Theorem 8.4.
We carry out the numerical simulations for the hierarchical Poisson and gamma model (8.1) in the simulations section in four aspects. First, we have exemplified the two inequalities (8.6) and (8.9). Second, we have illustrated that the moment estimators and the MLEs are consistent estimators of the hyperparameters in table 8.4. Third, we have calculated the goodness-of-fit of the model (8.1) to the simulated data in table 8.5. Two cases of the goodness-of-fit have been considered. In the first case, the hyperparameters and are assumed to be known. In the second case, the hyperparameters and are unknown, and this is also the case encountered in real applications. Finally, we have plotted the marginal pmfs of the model (8.1) for various hyperparameters.
In the real data example section, we exploit the attendance data on 314 high school juniors from two urban high schools in the file nb_data. The variable of interest is days absent, daysabs. The estimators of the hyperparameters, the goodness-of-fit of the model, the empirical Bayes estimators of the parameter of the Poisson distribution with a conjugate gamma prior and the PESLs, and the mean and variance of the attendance data by the moment method and the MLE method are summarized in table 8.8. Comparing the two methods, the value of the MLEs is smaller, and the p-value of the MLEs is larger, which means that the distribution with the hyperparameters estimated by the MLEs has a better fit to the sample than that estimated by the moment estimators.
In empirical Bayes analysis, the hyperparameters are unknown, and the marginal distribution is used to estimate the hyperparameters from the observations. There are two common methods to estimate the hyperparameters by exploiting the marginal distribution: the moment method and the MLE method. In this chapter, we use the two methods to estimate the hyperparameters of the hierarchical Poisson and gamma model (8.1).
Exercise 4.32 (p. 196) of Casella and Berger (2002) and the particular part of Theorem 8.1 state that when is a positive integer, the marginal distribution of the hierarchical Poisson and gamma model (8.1) is a negative binomial distribution. Therefore, the negative binomial data should have a good result of the goodness-of-fit of the model (8.1). In addition, the hierarchical Poisson and gamma model (8.1) is more general than the negative binomial distribution, as could be a general positive number in the model (8.1).
Inspired by the real data example, when the sample unconditional mean of the outcome variable is lower than its variance, then the Poisson model is not appropriate; however, the hierarchical Poisson and gamma model (8.1) should be adopted.
Comparing the two Bayes estimators and , we prefer the former one, not because it is larger or smaller than the latter one, but because Stein’s loss function is more appropriate than the squared error loss function for the positive parameter , as Stein’s loss function penalizes gross overestimation and gross underestimation equally for , while the squared error loss function does not.
Now we present some future work. One may consider extending the hierarchical Poisson and gamma model (8.1) to different types of non-conjugate priors for the parameter of the Poisson distribution (see Berger et al. (2015); Berger (1985, 2006) and the references therein). In these situations, one may not obtain analytical solutions, then one should be able to derive the estimators numerically.
图

Chapter 9 Several Common Loss Functions

In this chapter, we will introduce several common loss functions.
As discussed in Zhang et al. (2023), a good loss function on should have the following seven properties:
(a) for all ;
(b) ;
(c) ;
(d) ;
(e) convex in ;
(f) ;
(g) for some .
Property (a) means that any action of the parameter should incur a non-negative loss. Property (b) means that when , or , or correctly estimates , the loss is 0. Property (c) means that when , that is, is moving away from and tends to , it will incur an infinite loss. Property (d) means that when , that is, is moving away from and tends to , it will also incur an infinite loss. Properties (c) and (d) mean that the loss function will penalize gross overestimation and gross underestimation equally. Property (e) is useful in the proofs of some propositions of the minimaxity and admissibility of the Bayes estimator (see Robert (2007)). Property (f) implies that , that is, the loss incurred by an action near () is very small compared to . Property (f) seems strange; however, it is satisfied by many loss functions. Property (g) means that and for some tend to at the same rate, that is,
And we say and are asymptotically equivalent. We also say that has balanced convergence rates or penalties for too large and too small. Property (g) may hold only when properties (c) and (d) hold.
It is worth mentioning that all the loss functions in this chapter, except the two loss functions in section 9.3, satisfy properties (a)–(c). Moreover, all the loss functions satisfy
The rest of the chapter is organized as follows. In section 9.1, we will introduce two loss functions on , the squared error loss function and the weighted squared error loss function. In section 9.2, we will introduce two loss functions on , Stein’s loss function and the power-power loss function. In section 9.3, we will introduce two loss functions on , the power-log loss function and Zhang’s loss function. In section 9.4, we will give three strings of inequalities among six Bayes estimators under six loss functions in sections 9.19.3. In section 9.5, we will introduce several other loss functions, which are meaningful on . In section 9.6, we will give a summary of the loss functions.
图

9.1 Two Loss Functions on Θ = (−∞, ∞)

图

9.1.1 Squared Error Loss Function

The squared error loss function in terms of is given by
(9.1)
where and . It is useful to point out that is used to guarantee that satisfies (c). Note that . The squared error loss function in terms of and is given by
(9.2)
where .
The squared error loss function in terms of and the squared error loss function in terms of and are plotted in figure 9.1. From the figure, we observe the following facts.
1. with and satisfies (a)–(f).
2. Plots (a) and (c) are the same, with the only difference being the -axis ranges and labels, which are and with a relation . Plots (b) and (d) are the same, with the only difference being the -axis ranges and labels, which are and with a relation .
3. The ranges of for plots (a) and (b) are . The range of for plot (c) is , as . The range of for plot (d) is , as .
FIG. 9.1 — SCLF: The squared error loss function in terms of and the squared error loss function in terms of and . (a) with . (b) with . (c) with . (d) with .
图

9.1.2 Weighted Squared Error Loss Function

The weighted squared error loss function in terms of is given by
(9.3)
where . Note that . The weighted squared error loss function in terms of and is given by
(9.4)
where and . Note that the weighted squared error loss function has weight .
The weighted squared error loss function in terms of and the weighted squared error loss function in terms of and are plotted in figure 9.2. From the figure, we observe the following facts.
1. satisfies (a)–(f).
2. Plots (a) and (b) ((a) and (c)) are the same, with the only differences being the -axis ranges and labels, which are and with a relation .
3. The range of for plot (a) is . The range of for plot (b) is , as . The range of for plot (c) is , as .
FIG. 9.2 — SCLF: The weighted squared error loss function in terms of and the weighted squared error loss function in terms of and . (a) . (b) with . (c) with .
图

9.2 Two Loss Functions on Θ = (0, ∞)

图

9.2.1 Stein’s Loss Function

Stein’s loss function in terms of is given by
(9.5)
where . Note that . Stein’s loss function in terms of and is given by
(9.6)
where . Stein’s loss function penalizes gross overestimation and gross underestimation equally, that is, an action a will incur an infinite loss when it tends to 0 or ∞. Therefore, Stein’s loss function is a good loss function and it is recommended to use for the positive parameter space by many authors (see for instance Li et al. (2025); Shi et al. (2025); Zhang (2025); Sun et al. (2024); Zhang et al. (2024); Sun et al. (2021); Xie et al. (2018); Zhang et al. (2018, 2019b); Zhang (2017); Bobotas and Kourouklis (2010); Petropoulos and Kourouklis (2005); Oono and Shinozaki (2006); Parsian and Nematollahi (1996); Brown (1968, 1990); James and Stein (1961)).
Stein’s loss function in terms of and Stein’s loss function in terms of and are plotted in figure 9.3. From the figure, we observe the following facts.
1. satisfies (a)–(f).
2. Plots (a) and (b) ((a) and (c)) are the same, with the only differences being the -axis ranges and labels, which are and with a relation .
3. The range of for plot (a) is . The range of for plot (b) is , as . The range of for plot (c) is , as .
图

9.2.2 Power-Power Loss Function

The main reference of this subsection is Zhang et al. (2023).
FIG. 9.3 — SCLF: Stein’s loss function in terms of and Stein’s loss function in terms of and . (a) . (b) with . (c) with .
Many authors have used the (weighted) squared error loss function for the problem of estimating the variance, , based on a random sample from a normal distribution with mean unknown (see, for instance, Maatta and Casella (1990); Stein (1964)). As pointed out by Casella and Berger (2002), the (weighted) squared error loss function penalizes equally for overestimation and underestimation, which is fine in the location case with . In the positive parameter case with where 0 is a natural lower bound and the estimation problem is not symmetric, we should not choose the (weighted) squared error loss function, but choose a loss function which penalizes gross overestimation and gross underestimation equally, that is, an action will incur an infinite loss when it tends to 0 or . Stein’s loss function has this property, and thus it is recommended to use for the positive parameter space by many authors. However,
that is, tends to much faster than for any , which means that has unbalanced convergence rates or penalties for too large and too small. Zhang et al. (2023) propose the power-power loss function which has the property that and tend to at the same rate, that is, has balanced convergence rates or penalties for too large and too small. Therefore, the power-power loss function is recommended to use for the positive parameter space .
The power-power loss function (see Zhang et al. (2023)) in terms of is given by
(9.7)
where . Note that . The power-power loss function in terms of and is given by
(9.8)
where .
The power-power loss function has all the seven properties (a)-(g). In particular, the power-power loss function penalizes gross overestimation and gross underestimation equally, that is, an action will incur an infinite loss when it tends to 0 or .
The power-power loss function in terms of and the power-power loss function in terms of and are plotted in figure 9.4. From the figure, we observe the following facts.
1. satisfies (a)–(g) with .
2. From plot (a), we see that the values of the markers are given by
We see that
Therefore, satisfies (g) with .
3. Plots (a) and (b) ((a) and (c)) are the same, with the only differences being the -axis ranges and labels, which are and with a relation .
4. The range of for plot (a) is . The range of for plot (b) is , as . The range of for plot (c) is , as .
In Zhang et al. (2023), they calculate the Bayes estimator of the parameter under the power-power loss function , the Posterior Expected Power-power Loss (PEPL) at , , and the Integrated Risk under Power-power Loss (IRPL) at , , which is also the Bayes Risk under Power-power Loss (BRPL). They also calculate three other Bayes estimators , , and , and each Bayes estimator minimizes some posterior expected loss function. It is interesting to note that the four Bayes estimators satisfy a string of inequalities. After that, they analytically calculate the Bayes estimator , the PEPL at , and the BRPL under a hierarchical normal and normal-inverse-gamma model.
FIG. 9.4 — SCLF: The power-power loss function in terms of and the power-power loss function in terms of and . (a) . (b) with . (c) with .
图

9.3 Two Loss Functions on Θ = (0, 1)

图

9.3.1 Power-Log Loss Function

The main reference of this subsection is Zhang et al. (2017).
The (weighted) squared error loss function has been used by many authors for the problem of estimating the variance, , based on a random sample from a normal distribution with unknown mean (see, for example Maatta and Casella (1990); Stein (1964)). As pointed out by Casella and Berger (2002), the (weighted) squared error loss function penalizes overestimation and underestimation equally, which is fine for the unrestricted parameter space . In the positive parameter space where 0 is a natural lower bound and the estimation problem is not symmetric, we should not select the (weighted) squared error loss function, but select a loss function which penalizes gross overestimation and gross underestimation equally, that is, an action will incur an infinite loss when it tends to 0 or . Stein’s loss function has this property, and thus it is recommended to use it for the positive parameter space by many authors. Similarly, for the restricted parameter space , where 0 and 1 are two natural bounds and the estimation problem is not symmetric, we should not choose the (weighted) squared error loss function, but choose a loss function which penalizes gross overestimation and gross underestimation equally, that is, an action will incur an infinite loss when it tends to 0 or 1. Note that Stein’s loss function is also not appropriate in this case. Zhang et al. (2017) list 6 properties summarized in table 9.3 for a good loss function on . After that, they propose the power-log loss function plotted in figure 9.5 on , which satisfies all the 6 properties listed in table 9.1. In particular, the power-log loss function penalizes gross overestimation and gross underestimation equally, is convex in or , and attains its global minimum at or . Therefore, the power-log loss function is recommended to use for . Finally, they remark that the power-log loss function on is an analog of the power-log loss function on , which is the popular Stein’s loss function.
TAB. 9.1 — SCLF: The 6 properties of a good loss function on . is fixed.
Properties
(a) for all for all
(b)
(c)
(d)
(e) convex in for all convex in for all
(f)
A natural model with the restricted parameter space is the beta-binomial mode, which has been investigated extensively. For instance, Prentice (1986) extended the beta-binomial distribution to allow negative correlations among binary variates within an experimental unit. Lee and Sabavala (1987) proposed a Bayesian approach with a conjugate-type beta family of priors for suitably transformed parameters in the beta-binomial, and demonstrated the simulations for a special case of two trials. Lee and Lio (1999) extended the study of Lee and Sabavala (1987) by a numerical double integration, which can be used for the case of general trials. Ali-Mousa (1988) studied the risk of the linear empirical Bayes estimate of the binomial parameter . Rosner (1989) proposed a compound beta-binomial distribution that generalized the beta-binomial distribution to more than one level of nesting. Wypij and Santner (1990) studied the problem of confidence interval estimation of the common marginal probability of success for correlated binary observations, focusing on the beta-binomial model. Srivastava and Wu (1993) introduced the beta-binomial model as a Markov chain. They have shown that, locally, the moment estimator for the mean is efficient up to the second order of the extra-binomial variation. Aerts and Claeskens (1997) illustrated how the local likelihood estimation procedure can be implemented for fitting a dose-response curve based on the beta-binomial model. Karunamuni and Prasad (2003) investigated empirical Bayes sequential procedures for estimates of binomial probabilities. Hunt et al. (2009) exploited the beta-binomial distribution for estimating the number of false rejections in microarray gene expression studies. Moreover, an estimator of the beta-binomial false discovery rate is then derived. Kolossiatis et al. (2011) modeled overdispersion with the multivariate normalized tempered stable distribution. The univariate version of the distribution was used as a mixing distribution for the success probability of a binomial distribution to define an alternative to the beta-binomial distribution. Hout et al. (2013) presented the binomial and the beta-binomial distributions as alternatives to the normal distribution for the sum score of a cognitive test. Larson et al. (2015) took into account novel application of beta-binomial models to assess x chromosome inactivation patterns in RNA-seq expression of ovarian tumors. Chen et al. (2016) investigated meta-analysis of studies with bivariate binary outcomes by using a marginal beta-binomial model approach. Tak and Morris (2017) researched data-dependent posterior propriety of a Bayesian beta-binomial-logit model. Luo and Paul (2018) considered estimation for a zero-inflated beta-binomial regression model with missing response data. Najera-Zuloaga et al. (2019) proposed a beta-binomial mixed-effects model approach for analysing longitudinal discrete and bounded outcomes. Zhang et al. (2020) considered the Bayes rule of the parameter in under Zhang’s loss function with an application to the beta-binomial model. Palm et al. (2021) studied signal detection and inference based on the beta-binomial autoregressive moving average model. Felsch et al. (2022) researched the performance of several types of beta-binomial models in comparison to standard approaches for meta-analyses with very few studies. Cmiel et al. (2024) studied generalised score distribution by using underdispersed continuation of the beta-binomial distribution.
A good loss function on
A good loss function on should have the 6 properties summarized in table 9.1. In the table, we observe the following facts.
1. Property (a) means that any action of the parameter should incur a non-negative loss.
2. Property (b) means that when , or , that is, correctly estimates , the loss is 0.
3. Property (c) means that when , that is, is moving away from and tends to , it will incur an infinite loss.
4. Property (d) means that when , that is, is moving away from and tends to , it will also incur an infinite loss.
5. Properties (c) and (d) mean that the loss function will penalize gross overestimation and gross underestimation equally.
6. Property (e) is useful in the proofs of some propositions of the minimaxity and the admissibility of the Bayes estimator (see Robert (2007)).
7. Property (f) means that 1 and are the local extrema of and respectively. Property (f) also implies that , that is, the loss incurred by an action near () is very small compared to .
Now let us give the analytical forms of the power-log loss function. Let
Define
(9.9)
Thus
(9.10)
Note that is the power-log loss function in terms of and is the power-log loss function in terms of and . It is easy to check that the power-log loss functions and satisfy all 6 properties listed in table 9.1. Therefore, the power-log loss function is a good loss function on . We remark that the power-log loss function on is an analog of the power-log loss function on , which is the popular Stein’s loss function given by (9.6).
Figure 9.5 plots the power-log loss functions and . The two curves coincide in the two plots, with the only difference being the -axis ranges and labels, which are and with a relation . The 6 properties listed in table 9.1 of and are easily seen in the figure.
In Zhang et al. (2017), they calculate the Bayes estimator of the parameter under the power-log loss function, the Posterior Expected Power-Log Loss (PEPLL) at , , and the Integrated Risk under the Power-Log Loss (IRPLL) at , , which is also the Bayes Risk under the Power-Log Loss (BRPLL). They also calculate the usual Bayes estimator . It is interesting to note that whose proof exploits the Covariance Inequality. After that, they analytically calculate and , the PEPLL at and under a beta-binomial model.
FIG. 9.5 — SCLF: The power-log loss function in terms of and the power-log loss function in terms of and . in both plots. (a) for . (b) for .
图

9.3.2 Zhang’s Loss Function

The main reference of this subsection is Zhang et al. (2020).
For the restricted parameter space , where 0 and 1 are two natural bounds and the estimation problem is not symmetric, we should not choose the (weighted) squared error loss function, but choose a loss function which penalizes gross overestimation and gross underestimation equally, that is, an action will incur an infinite loss when it tends to 0 or 1. Note that Stein’s loss function is also not appropriate in this case. Zhang et al. (2017) propose the power-log loss function, which has this property with an application to the beta-binomial model. They propose 6 properties for a good loss function on . In particular, the power-log loss function penalizes gross overestimation and gross underestimation equally, is convex in its argument, and attains its global minimum at the true unknown parameter. In addition to the 6 properties, Zhang et al. (2020) propose the 7th property (balanced convergence rates or penalties for the argument too large and too small) for a good loss function on . The 7 properties for a good loss function on are summarized in table 9.2. After that, they propose Zhang’s loss function plotted in figure 9.6 on , which satisfies all the 7 properties listed in table 9.2. Therefore, Zhang’s loss function is recommended for use for .
A natural model with the restricted parameter space is the beta-binomial model. See Cmiel et al. (2024); Felsch et al. (2022); Palm et al. (2021); Zhang et al. (2020); Najera-Zuloaga et al. (2019); Luo and Paul (2018); Tak and Morris (2017); Zhang et al. (2017); Chen et al. (2016); Larson et al. (2015); Hout et al. (2013); Singh et al. (2013); Kolossiatis et al. (2011); Hunt et al. (2009); Karunamuni and Prasad (2003); Lee and Lio (1999); Aerts and Claeskens (1997); Srivastava and Wu (1993); Wypij and Santner (1990); Rosner (1989); Ali-Mousa (1988); Lee and Sabavala (1987); Prentice, (1986).
The 7 properties for a good loss function on are summarized in table 9.2. The explanations of the first 6 properties in table 9.2 can be found in Zhang et al. (2017) or subsection 9.3.1 in this book. In table 9.2, property (g) means that and , and tend to at the same rate, that is,
And we say and , and are asymptotically equivalent. We also say that () has balanced convergence rates or penalties for () too large and too small. Note that
and
That is, and at the same order . Similarly, and at the same order . Property (g) may hold only when properties (c) and (d) hold.
TAB. 9.2 — SCLF: The 7 properties of a good loss function on . is fixed.
Properties
(a) for all for all
(b)
(c)
(d)
(e) convex in for all convex in for all
(f)
(g)
Now let us give the analytical forms of Zhang’s loss function. Let
Let
(9.11)
Thus
(9.12)
Note that is Zhang’s loss function in terms of and is Zhang’s loss function in terms of and . It is easy to check that Zhang’s loss function and satisfy all the 7 properties listed in table 9.2. The check can be found in the supplement of Zhang et al. (2020). Therefore, Zhang’s loss function is a good loss function on .
Figure 9.6 plots Zhang’s loss functions and . The two curves coincide in the two plots, with the only difference being the -axis ranges and labels, which are and with a relation . The first 6 properties of and are easily seen in the figure. Property (g) means that when is large,
and
We place the same markers on
for in the left plot of the figure. Similarly, we place the same markers on
for in the right plot of the figure. We see from both plots that the loss functions and have balanced convergence rates or penalties for and large and small, which means that property (g) holds.
FIG. 9.6 — SCLF: Zhang’s loss function in terms of and Zhang’s loss function in terms of and . in both plots. (a) for . (b) for .
图

9.4 Three Strings of Inequalities among Six Bayes Estimators

The main reference of this section is Zhang et al. (2018).
There are four basic elements in Bayesian decision theory: The data, the model, the prior, and the loss function. A Bayes point estimator minimizes some posterior expected loss function. In this section, we confine our interests to six loss functions: The weighted squared error loss function (Robert (2007) p. 78), the squared error loss function (well known), Stein’s loss function (Li et al. (2025); Shi et al. (2025); Zhang (2025); Sun et al. (2024); Zhang et al. (2024); Sun et al. (2021); Zhang et al. (2018, 2019b); Xie et al. (2018); Zhang (2017); Bobotas and Kourouklis (2010); Ye and Wang (2009); Oono and Shinozaki (2006); Petropoulos and Kourouklis (2005); Parsian and Nematollahi (1996); Brown (1990, 1968); James and Stein (1961)), the power-power loss function (Zhang et al. (2023)), the power-log loss function (Zhang et al. (2017)), and Zhang’s loss function (Zhang et al. (2020)). Note that among the six loss functions, the first two loss functions are defined on and penalize overestimation and underestimation equally. The middle two loss functions are defined on and penalize gross overestimation and gross underestimation equally, that is, an action will incur an infinite loss when it tends to 0 or . The last two loss functions are defined on and penalize gross overestimation and gross underestimation equally, that is, an action will incur an infinite loss when it tends to 0 or 1.
For the six loss functions, we have the corresponding six Bayes estimators , , , , , and . Interestingly, for the six Bayes estimators, we discover three strings of inequalities which are summarized in Theorem 9.1. Surprisingly, there does not exist an order between the two Bayes estimators and on . Note that the three strings of inequalities only depend on the loss functions, and the inequalities are independent of the chosen models and the used priors, provided the Bayes estimators exist, and thus they exist in a general setting, which makes them quite interesting. Numerical simulations in Zhang et al. (2018) exemplify this result.
The domains of the loss functions, the six Bayes estimators, the Posterior Expected Losses (PELs), and the smallest PELs are summarized in table 9.3. The PELs are: Posterior Expected Weighted Squared Error Loss (PEWSEL), Posterior Expected Power-Log Loss (PEPLL), Posterior Expected Stein’s Loss (PESL), Posterior Expected Power-power Loss (PEPL), Posterior Expected Squared Error Loss (PESEL), and Posterior Expected Zhang’s Loss (PEZL). In this table, the Bayes estimator minimizes the corresponding Posterior Expected Loss (PEL), and the smallest PEL is the PEL evaluated at the corresponding Bayes estimator.
TAB. 9.3 — SCLF: The six Bayes estimators, the PELs, and the smallest PELs.
Domain Bayes estimators PELs Smallest PELs
All six loss functions are well defined on , and thus all six Bayes estimators are well defined on . Since the power-log loss function and Zhang’s loss function are only defined on , there are only four loss functions defined on , and thus only four Bayes estimators are well defined on . Among the six loss functions, there are only two loss functions defined on , that is, the weighted squared error loss function and the squared error loss function, and thus only two Bayes estimators are well defined on . Among the six Bayes estimators, we have three strings of inequalities which are summarized in the following theorem.
Theorem 9.1. Assume the prior satisfies some regularity conditions such that the posterior expectations involved in the definitions of the six Bayes estimators exist. Then for , there is a string of inequalities among the six Bayes estimators,
(9.13)
For , there is a string of inequalities among the four Bayes estimators,
(9.14)
For , there is an inequality between the two Bayes estimators,
(9.15)
It is worth mentioning that not all priors are allowed for the parameters characterizing the models. The calculations of expected losses involve expectations, so only the prior that guarantees the existence of these expectations should be allowed. This should not be taken for granted. See, for instance, the discussion of the log-normal model by Fabrizi and Trivisano (2012) for details.
The proof of Theorem 9.1 exploits a key, important, and unified tool, the Covariance Inequality (see Theorem 4.7.9 (p. 192) in Casella and Berger (2002)), and the proof can be found in the supplement of Zhang et al. (2018). Surprisingly, there does not exist an order between the two Bayes estimators and , that is, for some samples, , and for other samples, . A discussion of the two Bayes estimators and can be found in the supplement of Zhang et al. (2018).
Note that the six Bayes estimators and the six smallest PELs are all functions of , , and the loss function. Since there exist three strings of inequalities among the six Bayes estimators, we would wonder whether there exists a string of inequalities among the six smallest PELs, that is, , , , , , and ? The answer to this question is no! The numerical simulations of the smallest PELs in Zhang et al. (2018) exemplify this fact.
图

9.5 Other Loss Functions

In this section, we will introduce several other loss functions, which are meaningful on . As discussed at the beginning of this chapter, a good loss function on should have seven properties (a)–(g). It is worth mentioning that all the loss functions in this section satisfy properties (a)–(c).
图

9.5.1 LINEX Loss Function

The Linear Exponential (LINEX) loss function (Zhang et al. (2022); Robert (2007); Zellner (1986); Varian (1975)) in terms of is given by
(9.16)
where , , and . It is useful to point out that and are used to guarantee that satisfies (c). The parameters product serving to determine its shape. In particular, when , the LINEX loss function tends to exponentially, while when , the LINEX loss function tends to linearly. Note that . The LINEX loss function in terms of and is given by
(9.17)
where . The LINEX loss function is an asymmetric loss function. The parameter serving to determine its shape. In particular, when , the LINEX loss function tends to exponentially, while when , the LINEX loss function tends to linearly.
The LINEX loss function in terms of and the LINEX loss function in terms of and are plotted in figure 9.7. From the figure, we observe the following facts.
1. with and satisfy (a)–(f).
2. The ranges of for plots (a) and (b) are . The range of for plot (c) is , as . The range of for plot (d) is , as .
3. For plot (a) with , when , the LINEX loss function tends to exponentially; when , the LINEX loss function tends to linearly.
4. For plot (b) with , when , the LINEX loss function tends to exponentially; when , the LINEX loss function tends to linearly.
5. From plots (a) and (b), we see that when , the LINEX loss function tends to exponentially; when , the LINEX loss function tends to linearly.
6. For plot (c) with , when , the LINEX loss function tends to exponentially; when , the LINEX loss function tends to linearly.
7. For plot (d) with , when , the LINEX loss function tends to exponentially; when , the LINEX loss function tends to linearly.
8. From plots (c) and (d) with , we see that when , the LINEX loss function tends to exponentially; when , the LINEX loss function tends to linearly.
图

9.5.2 Absolute Error Loss Function

The absolute error loss function in terms of is given by
(9.18)
where and . It is useful to point out that is used to guarantee that satisfies (c). Note that . The absolute error loss function in terms of and is given by
(9.19)
where .
The absolute error loss function in terms of and the absolute error loss function in terms of and are plotted in figure 9.8. From the figure, we observe the following facts.
1. with and satisfy (a)–(e).
2. Plots (a) and (c) are the same, with the only difference being the -axis ranges and labels, which are and with a relation . Plots (b) and (d) are the same, with the only difference being the -axis ranges and labels, which are and with a relation .
FIG. 9.7 — SCLF: The LINEX loss function in terms of and the LINEX loss function in terms of and . (a) with and . (b) with and . (c) with and . (d) with and .
FIG. 9.8 — SCLF: The absolute error loss function in terms of and the absolute error loss function in terms of and . (a) with . (b) with . (c) with . (d) with .
3. The ranges of for plots (a) and (b) are . The range of for plot (c) is , as . The range of for plot (d) is , as .
图

9.5.3 Weighted Absolute Error Loss Function

The weighted absolute error loss function in terms of is given by
(9.20)
where . Note that . The weighted absolute error loss function in terms of and is given by
(9.21)
where and . Note that the weighted absolute error loss function has weight .
The weighted absolute error loss function in terms of and the weighted absolute error loss function in terms of and are plotted in figure 9.9. From the figure, we observe the following facts.
FIG. 9.9 — SCLF: The weighted absolute error loss function in terms of and the weighted absolute error loss function in terms of and . (a) . (b) with . (c) with .
1. satisfies (a)–(e).
2. Plots (a) and (b) ((a) and (c)) are the same, with the only differences being the -axis ranges and labels, which are and with a relation .
3. The range of for plot (a) is . The range of for plot (b) is , as . The range of for plot (c) is , as .
图

9.5.4 Power Loss Function

The power loss function in terms of is given by
(9.22)
where , , and . It is useful to point out that is used to guarantee that satisfies (c). Note that . The power loss function in terms of and is given by
(9.23)
where .
The power loss function, with , includes the absolute error loss function () and the squared error loss function () as special cases.
图

9.5.5 Weighted Power Loss Function

The weighted power loss function in terms of is given by
(9.24)
where and . Note that . The weighted power loss function in terms of and is given by
(9.25)
where and . Note that the weighted power loss function has weight .
The weighted power loss function, with , includes the weighted absolute error loss function () and the weighted squared error loss function () as special cases.
图

9.5.6 Log-1 Loss Function

The log-1 loss function in terms of is given by
(9.26)
where . Note that . The log-1 loss function in terms of and is given by
(9.27)
where .
The log-1 loss function in terms of and the log-1 loss function in terms of and are plotted in figure 9.10. From the figure, we observe the following facts.
FIG. 9.10 — SCLF: The log-1 loss function in terms of and the log-1 loss function in terms of and . (a) . (b) with . (c) with .
1. satisfies (a)–(d), and (g) with .
2. We place the same markers on
for in plot (a). We see from plot (a) that the loss function has balanced convergence rates or penalties for large and small, which means that property (g) holds.
3. Plots (a) and (b) ((a) and (c)) are the same, with the only differences being the -axis ranges and labels, which are and with a relation .
4. The range of for plot (a) is . The range of for plot (b) is , as . The range of for plot (c) is , as .
图

9.5.7 Log-2 Loss Function

The log-2 loss function in terms of is given by
(9.28)
where . Note that . The log-2 loss function in terms of and is given by
(9.29)
where .
The log-2 loss function in terms of and the log-2 loss function in terms of and are plotted in figure 9.11. From the figure, we observe the following facts.
FIG. 9.11 — SCLF: The log-2 loss function in terms of and the log-2 loss function in terms of and . (a) . (b) with . (c) with .
1. satisfies (a)–(d), (f), and (g) with .
2. We place the same markers on
for in plot (a). We see from plot (a) that the loss function has balanced convergence rates or penalties for large and small, which means that property (g) holds.
3. Plots (a) and (b) ((a) and (c)) are the same, with the only differences being the -axis ranges and labels, which are and with a relation .
4. The range of for plot (a) is . The range of for plot (b) is , as . The range of for plot (c) is , as .
图

9.5.8 Generalized Log Loss Function

The generalized log loss function (see Brown (1968)) in terms of is given by
(9.30)
where and . Note that . The generalized log loss function in terms of and is given by
(9.31)
where and .
The generalized log loss function, with , includes the log-1 loss function () and the log-2 loss function () as special cases.
图

9.5.9 Generalized Stein’s Loss Function

The generalized Stein’s loss function (see Zhang et al. (2023)) in terms of is given by
(9.32)
where and . Note that . The generalized Stein’s loss function in terms of and is given by
(9.33)
where and .
Stein’s loss function is a special case of the generalized Stein’s loss function with .
The generalized Stein’s loss function in terms of and the generalized Stein’s loss function in terms of and are plotted in figure 9.12. From the figure, we observe the following facts.
FIG. 9.12 — SCLF: The generalized Stein’s loss function in terms of and the generalized Stein’s loss function in terms of and . (a) with and . (b) with and . (c) with and . (d) with and .
1. satisfies (a) for , (b)–(f) for .
2. The ranges of for the four plots are . The ranges of for the four plots are .
3. For plot (a) with , for all when . However, when or 2, may be less than 0. This is because
But
and
We know that when , then satisfies (f), , and this property ensures that satisfies (a), for all .
4. Similarly, for plots (b)–(d), for all when . However, when , , or , may be less than 0, because now
From figure 9.12, we see that for all only when . In figure 9.13, we will plot the generalized Stein’s loss function in terms of and the generalized Stein’s loss function in terms of and for three parameter sets
FIG. 9.13 — SCLF: The generalized Stein’s loss function in terms of and the generalized Stein’s loss function in terms of and . (a) with . (b) with and . (c) with and .
so that the parameters satisfy . From the figure, we observe the following facts.
1. satisfies (a) for , (b)–(f) for .
2. Plots (a) and (b) ((a) and (c)) are the same, with the only differences being the -axis ranges and labels, which are and with a relation .
3. The range of for plot (a) is . The range of for plot (b) is , as . The range of for plot (c) is , as .
4. Stein’s loss function is a special case of the generalized Stein’s loss function with . However, the generalized Stein’s loss function is more flexible than Stein’s loss function by changing the parameter values of , while keeping .
图

9.5.10 Generalized Power-Power Loss Function

The generalized power-power loss function (see Zhang et al. (2023)) in terms of is given by
(9.34)
where and . Note that . The generalized power-power loss function in terms of and is given by
(9.35)
where and .
The power-power loss function is a special case of the generalized power-power loss function with .
The generalized power-power loss function in terms of and the generalized power-power loss function in terms of and are plotted in figure 9.14. From the figure, we observe the following facts.
FIG. 9.14 — SCLF: The generalized power-power loss function in terms of and the generalized power-power loss function in terms of and . (a) with and . (b) with and . (c) with and . (d) with and .
1. satisfies (a) for , (b)–(f) for , and (g) with .
2. The ranges of for the four plots are . The ranges of for the four plots are .
3. For plot (a) with , for all when . However, when or 2, may be less than 0. This is because
But
and
We know that when , then satisfies (f), , and this property ensures that satisfies (a), for all .
4. Similarly, for plots (b)–(d), for all when . However, when , , or , may be less than 0, because now
From figure 9.14, we see that for all only when . In figure 9.15, we will plot the generalized power-power loss function in terms of and the generalized power-power loss function in terms of and for three parameter sets
FIG. 9.15 — SCLF: The generalized power-power loss function in terms of and the generalized power-power loss function in terms of and . (a) with . (b) with and . (c) with and .
so that the parameters satisfy . From the figure, we observe the following facts.
1. satisfies (a) for , (b)–(f) for , and (g) with .
2. Plots (a) and (b) ((a) and (c)) are the same, with the only differences being the -axis ranges and labels, which are and with a relation .
3. The range of for plot (a) is . The range of for plot (b) is , as . The range of for plot (c) is , as .
4. The power-power loss function is a special case of the generalized power-power loss function with . However, the generalized power-power loss function is more flexible than the power-power loss function by changing the parameter values of , while keeping .
图

9.6 Summary of the Loss Functions

In this section, we will give a summary of the loss functions.
The forms and comments of some loss functions which are meaningful on are given in table 9.4. From the table, we have the following observations.
TAB. 9.4 — SCLF: The forms and comments of some loss functions which are meaningful on .
Loss functions Comments on
LINEX (e), (f)
(e)
(e), (f)
(e),
Absolute error (e)
Squared error (e), (f)
Power (e),
log-1 (d), (g) with
log-2
Stein’s
(Generalized Stein’s)
Power–power
(Generalized power–power)
1. All the loss functions have properties (a)–(c).
2. The weighted power loss function, with , includes the weighted absolute error loss function () and the weighted squared error loss function () as special cases.
3. The power loss function, with , includes the absolute error loss function () and the squared error loss function () as special cases.
4. The power loss function in Zhang et al. (2023) is the weighted power loss function in this book; The absolute error loss function in Zhang et al. (2023) is the weighted absolute error loss function in this book; The squared error loss function in Zhang et al. (2023) is the weighted squared error loss function in this book. We are sorry for the inconvenience.
5. The generalized log loss function, with , includes the log-1 loss function () and the log-2 loss function () as special cases.
6. Stein’s loss function is a special case of the generalized Stein’s loss function with .
7. The power-power loss function is a special case of the generalized power-power loss function with .
8. The weighted power loss functions (and thus and ) do not have properties (d) and (g), since
9. The power loss functions (and thus and ) do not have properties (d) and (g), since
10. The weighted power loss functions , the power loss functions , and the generalized log loss functions for odd do not have property (f). Moreover, they are not differentiable at .
11. The generalized log loss functions do not have property (e), since they are convex to the left of ( for , for , ) and concave to the right of .
12. The following loss functions have both properties (c) and (d), and thus they penalize gross overestimation and gross underestimation equally, that is, an action will incur an infinite loss when it tends to 0 or : log-1, log-2, generalized log, Stein’s, generalized Stein’s, power-power, and generalized power-power.
13. Stein’s loss function and the generalized Stein’s loss function have properties (d)–(f). However, they have unbalanced convergence rates or penalties for too large and too small.
14. The power-power loss function and the generalized power-power loss function have properties (d)–(g). They have balanced convergence rates or penalties for too large and too small. That is, they have all seven properties of a good loss function on .
15. The power-log loss function and Zhang’s loss function are defined on , and thus they are not listed in this table.
图

Chapter 10 Summaries and Discussions

In this chapter, we will give some summaries and discussions of the book.
1. For a hierarchical model (1.1), we calculate the posterior density and the marginal density . Since is a positive parameter in the model (1.1), the Bayes estimator of under the squared error loss function is not appropriate. In contrast, we should choose Stein’s loss function because it penalizes gross overestimation and gross underestimation equally, that is, an action will incur an infinite loss when it tends to 0 or . After that, we calculate the Bayes estimators of ( and and the PESLs of and ).
2. In order to calculate the empirical Bayes estimators of the positive parameter , we must calculate the estimators of the hyperparameters of the model (1.1). The estimators of the hyperparameters of the model (1.1) by the moment method and their consistencies are summarized in a theorem. Moreover, the estimators of the hyperparameters of the model (1.1) by the MLE method and their consistencies are summarized in another theorem. Finally, the empirical Bayes estimators of the positive parameter of the model (1.1) under Stein’s loss function by the moment method and the MLE method are summarized in yet another theorem.
3. We carry out the numerical simulations for the hierarchical model (1.1) in the simulations section in at least four aspects. First, we have exemplified the two inequalities of the Bayes estimators and the PESLs. Second, we have illustrated that the moment estimators and the MLEs are consistent estimators of the hyperparameters. Third, we have calculated the goodness-of-fit of the hierarchical model (1.1) to the simulated data. Fourth, we have plotted the marginal pdfs/pmfs of the hierarchical model (1.1) for various hyperparameters.
4. Numerical results indicate that the MLE method is better than the moment method when estimating the hyperparameters in terms of consistency, goodness-of-fit, Bayes estimators, and PESLs (or posterior Stein’s risks). However, nothing comes for free. Compared to the moment estimators, the MLEs have a heavier computational burden, suffer from numerical instability, require positivity of some hyperparameters in all the iteration processes, and have no analytical solutions. Note also that the MLEs of the hyperparameters are very sensitive to the initial estimators, and the moment estimators are usually proven to be good initial estimators. Moreover, if there is any case where MLE does not exist, then we have a good reason to take moment estimators.
5. In empirical Bayes analysis, the hyperparameters are unknown, and the marginal distribution is used to estimate the hyperparameters from the observations. There are two common methods to estimate the hyperparameters by exploiting the marginal distribution: the moment method and the MLE method. In this book, we use the two methods to estimate the hyperparameters of the hierarchical model (1.1).
6. Comparing the two Bayes estimators and , we prefer the former one, not because it is larger or smaller than the latter one, but because Stein’s loss function is more appropriate than the squared error loss function for the positive parameter , as Stein’s loss function penalizes gross overestimation and gross underestimation equally for , while the squared error loss function does not.
7. Now we present some future works. One may consider extending the hierarchical model (1.1) to different types of non-conjugate priors for the positive parameter of the model (see Berger et al. (2015); Berger (1985, 2006) and the references therein). In these situations, one may not obtain analytical solutions; then one should be able to derive the estimators numerically.
8. For the positive parameter of the hierarchical model (1.1), one may consider using the power-power loss function which has the property that and tend to at the same rate, that is, has balanced convergence rates or penalties for too large and too small. The power-power loss function satisfies all seven properties for a good loss function on . Therefore, the power-power loss function is recommended to use for the positive parameter space .
9. Note that in theorems of MLEs, we only stated that the estimators of the hyperparameters of the hierarchical model (1.1) by the MLE method are the solutions to some equations. We can exploit Newton’s method to solve the equations and to numerically obtain the MLEs of the hyperparameters. However, we can not prove the existence and uniqueness of the solutions to our system. The interested readers who have such knowledge and skills are encouraged to solve this issue.
10. In general, the analytical calculations of the MLEs of the hyperparameters by solving some equations are impossible, and thus, we have to resort to numerical solutions. In this book, we exploit Newton’s method to solve the equations and to numerically obtain the MLEs of the hyperparameters. One may consider utilizing the Expectation–Maximization (EM) algorithm to numerically obtain the MLEs of the hyperparameters.
图

Appendix A: Some Technical Derivations

In this appendix, we will give some technical derivations of the results in chapters 28.
图

A.1 IG-IG: The Proof of Theorem 2.1

In this section, we will prove Theorem 2.1.
First, we derive the posterior density of . By the Bayes Theorem, we have
It is easy to see that
for and , and
Therefore,
where
Second, we derive the marginal density of . By straightforward calculations, the marginal density of is
Now recognizing the integrand of the above integral as a kernel of the inverse gamma distribution
we have
The proof of the theorem is complete.
图

A.2 IG-IG: The Proof of Theorem 2.2

In this section, we will prove Theorem 2.2.
Now, let us derive the moment estimators of the hyperparameters (, , and ) of model (2.1). The first three moments of are respectively given by
and
which can be obtained by iterated expectation. More specifically,
where
and
Note that the pdf of the distribution integrates to 1, that is,
(A.1)
Moreover,
where
and
Furthermore,
where
and
The moment estimators of , , and are calculated by equating the population moments to the sample moments, that is,
(A.2)
(A.3)
(A.4)
where , , is the sample th moment of . Substituting (A.2) into (A.3) and (A.3) into (A.4), we obtain
(A.5)
(A.6)
(A.7)
Substituting (A.5) into (A.6) and (A.7), we obtain
We can first solve the above equations for , and then for . After some tedious calculations, we obtain
(A.8)
(A.9)
Substituting (A.8) and (A.9) into (A.5), we obtain
(A.10)
Finally, the moment estimators of , , and are given by (A.8)–(A.10).
Now, let us show that the moment estimators are consistent estimators of the hyperparameters. It is easy to show that
for , where means convergence in probability. Hence,
Therefore,
The proof of the theorem is complete.
图

A.3 IG-IG: The Proof of Theorem 2.3

In this section, we will prove Theorem 2.3.
Proof. The marginal density of is given by (2.3). Then the likelihood function of , , and is
Consequently, the log-likelihood function of , , and is
Taking partial derivatives with respect to , , and and setting them to zeros, we obtain
Since
which can be directly calculated in R software by digamma(x) (R Core Team (2023)), after some algebra, the above equations reduce to
The Jacobian matrix of , , and is given by
where
Note that
which can be directly calculated in R software by trigamma(x) (R Core Team (2023)).
We can exploit Newton’s method to solve the equations (2.13)–(2.15) and to numerically obtain the MLEs of , , and . The iterative scheme of Newton’s method is
where is the Jacobian matrix of , and . Note that the MLEs of , , and are very sensitive to the initial estimators, and the moment estimators are usually proved to be good initial estimators.
Now, let us show that the MLEs are consistent estimators of the hyperparameters. From Theorem 10.1.6 in Casella and Berger (2002), we know that the MLEs are consistent estimators of the hyperparameters under some regularity conditions in Miscellanea 10.6.2 in Casella and Berger (2002). The regularity conditions are listed below:
(C1). We observe , where are iid.
(C2). The parameter is identifiable; that is, if , then .
(C3). The densities have common support, and is differentiable in , , and .
(C4). The parameter space contains an open set of which the true parameter value is an interior point.
It remains to show that the marginal density satisfies all the regularity conditions.
First, (C1) is satisfied, as is a random sample from .
Second, let us show that (C2) is satisfied. The parameter is identifiable
(A.11)
We have
(A.12)
Note that
and thus
Therefore, (A.12) is equivalent to
which is equivalent to the following equations
(A.13)
(A.14)
(A.15)
From (A.14), we obtain
(A.16)
Substituting (A.16) into (A.15), we have
Hence,
Consequently, (A.11) is correct, and (C2) is satisfied.
Third, (C3) is satisfied, as the densities have common support , and is differentiable in , , and .
Finally, (C4) is satisfied, as the true parameter value
which is an open set.
Therefore, the marginal density satisfies all the regularity conditions, and the MLEs are consistent estimators of the hyperparameters.
The proof of the theorem is complete.
图

A.4 IG-IG: The Simulation Design of subsection 2.3.2

The simulation design of subsection 2.3.2 is detailed as follows.
We will use these notations.
is the th entry of the matrix .
is the th row of the matrix .
is the th column of the matrix .
is a zero matrix of size .
The simulation design consists of the following five steps.
Step 1. Initialization.
, , , (1e4, 2e4, 4e4, 8e4),
Step 2. Simulate the samples.
# Allocate a zero matrix for .
For from 1 to do
set.seed() # Set the random seed.
generate from # is a vector of length 8e4.
generate from # is a vector of length 8e4.EndFor
Step 3. Compute the moment estimators and the MLEs of the hyperparameters , , and .
alpha_1 = beta_1 = v_1 = alpha_2 = beta_2 = v_2 = 
For from 1 to 4 do.
# The th component of .
alpha_1_beta_1_v_1 = alpha_2_beta_2_v_2 = 
For from 1 to do
# is the sample. It is the th row, th columns of the matrix .
alpha_1_beta_1_v_1 holds the moment estimators of , , and computed from .
alpha_2_beta_2_v_2 holds the MLEs of , , and computed from by Newton’s method with the initial estimators being the moment estimators alpha_1_beta_1_v_1 .
EndFor.
alpha_1 = alpha_1_beta_1_v_1
beta_1 = alpha_1_beta_1_v_1
v_1 = alpha_1_beta_1_v_1
alpha_2 = alpha_2_beta_2_v_2
beta_2 = alpha_2_beta_2_v_2
v_2 = alpha_2_beta_2_v_2
EndFor.
Step 4. Calculate the absolute errors.
Abs_alpha_1 = # A matrix of size .
Abs_beta_1 = 
Abs_v_1 = 
Abs_alpha_2 = 
Abs_beta_2 = 
Abs_v_2 = 
Step 5. Calculate the frequencies of the moment estimators and the MLEs.
F = 
F1 = F2 = 
# the moment estimators
F1
 = apply(X = (Abs_alpha_1 = ), MARGIN = 1, FUN = mean) # Compute the frequencies of the moment estimators of efficiently using the R built-in function apply().
F1
 = apply(X = (Abs_beta_1 = ), MARGIN = 1, FUN = mean)
F1
 = apply(X = (Abs_v_1 = ), MARGIN = 1, FUN = mean)
F = F1
F1
 = apply(X = (Abs_alpha_1 = ), MARGIN = 1, FUN = mean)
F1
 = apply(X = (Abs_beta_1 = ), MARGIN = 1, FUN = mean)
F1
 = apply(X = (Abs_v_1 = ), MARGIN = 1, FUN = mean)
F = F1
F1
 = apply(X = (Abs_alpha_1 = ), MARGIN = 1, FUN = mean)
F1
 = apply(X = (Abs_beta_1 = ), MARGIN = 1, FUN = mean)
F1
 = apply(X = (Abs_v_1 = ), MARGIN = 1, FUN = mean)
F = F1
# the MLEs
F2
 = apply(X = (Abs_alpha_2 = ), MARGIN = 1, FUN = mean) # Compute the frequencies of the MLEs of efficiently using the R built-in function apply().
F2
 = apply(X = (Abs_beta_2 = ), MARGIN = 1, FUN = mean)
F2
 = apply(X = (Abs_v_2 = ), MARGIN = 1, FUN = mean)
F = F2
F2
 = apply(X = (Abs_alpha_2 = ), MARGIN = 1, FUN = mean)
F2
 = apply(X = (Abs_beta_2 = ), MARGIN = 1, FUN = mean)
F2
 = apply(X = (Abs_v_2 = ), MARGIN = 1, FUN = mean)
F = F2
F2
 = apply(X = (Abs_alpha_2 = ), MARGIN = 1, FUN = mean)
F2
 = apply(X = (Abs_beta_2 = ), MARGIN = 1, FUN = mean)
F2
 = apply(X = (Abs_v_2 = ), MARGIN = 1, FUN = mean)
F = F2
The simulation design is complete.
图

A.5 G-G: The Proof of Theorem 3.1

In this section, we will prove Theorem 3.1.
First, we derive the posterior density of . By the Bayes Theorem, we have
It is easy to see that
for and , and
Therefore,
where
Second, we derive the marginal density of . By straightforward calculations, the marginal density of is
Now recognizing the integrand of the above integral as a kernel of the gamma distribution, we have
The proof of the theorem is complete.
图

A.6 G-G: The Calculations of

In this section, we will calculate and the two PESLs and .
First, let us calculate . For the sake of simplicity, the *’s are dropped from and . We have
where
is the digamma function.
Second, let us calculate and . We have
and
The calculations are complete.
图

A.7 G-G: The Proof of Theorem 3.2

In this section, we will prove Theorem 3.2.
Now, let us derive the moment estimators of the hyperparameters (, , and ) of model (3.1). The first three moments of are respectively given by
and
which can be obtained by iterated expectation. More specifically, for ,
where
and
Note that the pdf of the distribution integrates to 1, that is,
(A.17)
Moreover, for ,
where
and
Furthermore, for ,
where
and
The moment estimators of , , and are calculated by equating the population moments to the sample moments, that is,
(A.18)
(A.19)
(A.20)
where , , is the sample th moment of . Substituting (A.18) into (A.19) and (A.19) into (A.20), we obtain
(A.21)
(A.22)
(A.23)
Substituting (A.21) into (A.22) and (A.23), we obtain
We can first solve the above equations for , and then for . After some tedious calculations, we obtain
(A.24)
(A.25)
Substituting (A.24) and (A.25) into (A.21), we obtain
(A.26)
Finally, the moment estimators of , , and are given by (A.24)–(A.26).
Now, let us show that the moment estimators are consistent estimators of the hyperparameters. It is easy to show that
for , where means convergence in probability. Hence,
Therefore,
The proof of the theorem is complete.
图

A.8 G-G: The Proof of Theorem 3.3

In this section, we will prove Theorem 3.3.
The marginal density of is
for and , where is the gamma function. Then the likelihood function of , , and is
Consequently, the log-likelihood function of , , and is
Taking partial derivatives with respect to , , and and setting them to zeros, we obtain
Since
which can be directly calculated in R software by digamma(x) (R Core Team (2023)), after some algebra, the above equations reduce to
The Jacobian matrix of , , and is given by
where
Therefore, is a real symmetric matrix. Note that
which can be directly calculated in R software by trigamma(x) (R Core Team (2023)).
We can exploit Newton’s method to solve the equations (3.13)–(3.15) and to numerically obtain the MLEs of , , and . The iterative scheme of Newton’s method is
where is the Jacobian matrix of , and . Note that the MLEs of , , and are very sensitive to the initial estimators, and the moment estimators are usually proven to be good initial estimators.
Now, let us show that the MLEs are consistent estimators of the hyperparameters. From Theorem 10.1.6 in Casella and Berger (2002), we know that the MLEs are consistent estimators of the hyperparameters under some regularity conditions in Miscellanea 10.6.2 in Casella and Berger (2002). The regularity conditions are listed below:
(C1). We observe , where are iid.
(C2). The parameter is identifiable; that is, if , then .
(C3). The densities have common support, and is differentiable in , , and .
(C4). The parameter space contains an open set of which the true parameter value is an interior point.
It remains to show that the marginal density satisfies all the regularity conditions. Let be the support set of .
First, (C1) is satisfied, as is a random sample from .
Second, let us show that (C2) is satisfied. The parameter is identifiable
(A.27)
We have
(A.28)
Note that
and thus
Therefore, (A.28) is equivalent to
which is equivalent to the following equations
(A.29)
(A.30)
(A.31)
From (A.30), we obtain
(A.32)
Substituting (A.32) into (A.31), we have
Hence,
Consequently, (A.27) is correct, and (C2) is satisfied.
Third, (C3) is satisfied, as the densities have common support , and is differentiable in , , and .
Finally, (C4) is satisfied, as the true parameter value
which is an open set.
Therefore, the marginal density satisfies all the regularity conditions, and the MLEs are consistent estimators of the hyperparameters.
The proof of the theorem is complete.
图

A.9 Exp-IG: The Proof of Theorem 4.1

In this section, we will prove Theorem 4.1.
First, let us derive the posterior density of . By the Bayes Theorem, we have
It is easy to see that
for and , and
Therefore,
where
Second, let us derive the marginal density of . By straightforward calculations, the marginal density of is
The proof of the theorem is complete.
图

A.10 Exp-IG: The Proof of Theorem 4.2

In this section, we will prove Theorem 4.2.
The first two moments of can be obtained by iterated expectation. More specifically,
for , and
for .
The moment estimators of and are calculated by equating the population moments to the sample moments, that is,
(A.33)
(A.34)
where , , is the sample th moment of . Substituting (A.33) into (A.34), we obtain
We can first solve the above equations for , and then for , and obtain
which are the moment estimators of and .
Now, let us show that the moment estimators are consistent estimators of the hyperparameters. It is easy to show that
for , where means convergence in probability. Hence,
Therefore,
and
The proof of the theorem is complete.
图

A.11 Exp-IG: The Proof of Theorem 4.3

In this section, we will prove Theorem 4.3.
The marginal density of is
for and . Then the likelihood function of and is
Consequently, the log-likelihood function of and is
Taking partial derivatives with respect to and and setting them to zeros, we obtain
After some algebraic operations, the above equations reduce to
Moreover, the Jacobian matrix of and is given by
where
We can exploit Newton’s method to solve the equations (4.14) and (4.15) and to obtain the MLEs of and . The iterative scheme of Newton’s method is
where is the Jacobian matrix of and . Note that the MLEs of and are very sensitive to the initial estimators, and the moment estimators are usually proved to be good initial estimators.
Now, let us show that the MLEs are consistent estimators of the hyperparameters. From Theorem 10.1.6 in Casella and Berger (2002), we know that the MLEs are consistent estimators of the hyperparameters under some regularity conditions in Miscellanea 10.6.2 in Casella and Berger (2002). The regularity conditions are listed below:
(C1). We observe , where are iid.
(C2). The parameter is identifiable; that is, if , then .
(C3). The densities have common support, and is differentiable in and .
(C4). The parameter space contains an open set of which the true parameter value is an interior point.
It remains to show that the marginal density satisfies all the regularity conditions. Let be the support set of .
First, (C1) is satisfied, as is a random sample from .
Second, let us show that (C2) is satisfied. The parameter is identifiable
(A.35)
We have
(A.36)
Note that
and thus
Therefore, (A.36) is equivalent to
which implies
(A.37)
where is a constant which does not depend on . Hence,
and (A.37) reduces to
Therefore,
Consequently, (A.35) is correct, and (C2) is satisfied.
Third, (C3) is satisfied, as the densities have common support , and is differentiable in and .
Finally, (C4) is satisfied, as the true parameter value
which is an open set.
Therefore, the marginal densities satisfy all the regularity conditions, and the MLEs are consistent estimators of the hyperparameters.
The proof of the theorem is complete.
图

A.12 N-IG: The Proof of Theorem 5.1

In this section, we will prove Theorem 5.1.
By the Bayes Theorem, we have
It is easy to see that
for and , and
Therefore,
where
The proof of the theorem is complete.
图

A.13 N-IG: The Proof of Lemma 5.1

In this section, we will prove Lemma 5.1.
The proof of the lemma exploits Stein’s lemma (see Lemma 3.6.5 in Casella and Berger (2002)). The first two moments of are familiar to all. The calculation of can be found in Example 3.6.6 in Casella and Berger (2002) and thus it is omitted. Now we calculate . We have
The proof of the lemma is complete.
图

A.14 N-IG: The Proof of Lemma 5.2

In this section, we will prove Lemma 5.2.
The expectation and variance of the inverse gamma distribution can be found in Definition B.35 in Jackman (2009), and thus it is omitted. It is easy to calculate
The proof of the lemma is complete.
图

A.15 N-IG: The Proof of Lemma 5.3

In this section, we will prove Lemma 5.3.
By straightforward calculations, the marginal density of is
Now recognizing the integrand of the above integral as a kernel of the inverse gamma distribution
we have
The proof of the lemma is complete.
图

A.16 N-IG: The Proof of Lemma 5.4

In this section, we will prove Lemma 5.4.
We will use the iterated expectation identity and Lemmas 5.15.3. Note that , , and are known hyperparameters. By Lemmas 5.1 and 5.3, we have
By Lemmas 5.2 and 5.3, we have
Therefore, we have
The proof of the lemma is complete.
图

A.17 N-IG: The Proof of Theorem 5.2

In this section, we will prove Theorem 5.2.
The hyperparameters of the model are , , and . By Lemma 5.3, we know that the marginal distribution of the model is a non-standardized Student-t distribution, that is,
Since there are three hyperparameters, if we want to obtain the estimators of the hyperparameters of the model by the moment method, we need to calculate the first three moments of at least. By Lemma 5.4, we obtain the first four population moments of as follows. Furthermore, letting the population moments be equal to the sample moments, we obtain
where
is the sample th moment of . Let
Note that the first three moments of involve only two unknown parameters and , and thus the two parameters are over-determined. Therefore, we use the first, second, and fourth moments of to determine the three parameters , , and . Note that
(A.38)
Substituting (A.38) into the expressions of the first, second, and fourth moments of , we obtain
(A.39)
Therefore, the moment estimator of is
(A.40)
Substituting (A.40) into (A.39) and simplifying, we have
(A.41)
(A.42)
Note that equation (A.42) is equivalent to
(A.43)
Substituting (A.41) into (A.43) and simplifying, we obtain
(A.44)
Dividing (A.41) by (A.44) and solving for , we obtain that the moment estimator of is
(A.45)
Substituting (A.45) into (A.41) and simplifying, we obtain that the moment estimator of is
(A.46)
Consequently, the moment estimators of the hyperparameters of the model are given by (A.40), (A.45), and (A.46).
Now, let us show that the moment estimators are consistent estimators of the hyperparameters. It is easy to show that
for , where means convergence in probability. Hence,
Therefore,
and
The proof of the theorem is complete.
图

A.18 N-IG: The Proof of Theorem 5.3

In this section, we will prove Theorem 5.3.
Now we derive the MLEs of , , and . The hyperparameters of the model are , , and . By Lemma 5.3, we know that the marginal distribution of the model is a non-standardized Student-t distribution, that is,
with a density function
where is the gamma function. Note that , , , and have the relationships given by (A.38). After the change of variables, we obtain
Then the likelihood function of , , and is
Consequently, the log-likelihood function of , , and is
Taking partial derivatives with respect to , , and and setting them to zeros, we obtain
Since
which can be directly calculated in R software by digamma(x) (R Core Team (2023)), after some algebra, the above equations reduce to
The Jacobian matrix of , , and is given by
where
Note that
which can be directly calculated in R software by trigamma(x) (R Core Team (2023)).
We can exploit Newton’s method to solve the equations (5.11)–(5.13) and to numerically obtain the MLEs of , , and . The iterative scheme of Newton’s method is
where is the Jacobian matrix of , and . Note that the MLEs of , , and are very sensitive to the initial estimators, and the moment estimators are usually proved to be good initial estimators.
Now, let us show that the MLEs are consistent estimators of the hyperparameters. From Theorem 10.1.6 in Casella and Berger (2002), we know that the MLEs are consistent estimators of the hyperparameters under some regularity conditions in Miscellanea 10.6.2 in Casella and Berger (2002). The regularity conditions are listed below:
(C1). We observe , where are iid.
(C2). The parameter is identifiable; that is, if , then .
(C3). The densities have common support, and is differentiable in , , and .
(C4). The parameter space contains an open set of which the true parameter value is an interior point.
It remains to show that the marginal density satisfies all the regularity conditions.
First, (C1) is satisfied, as is a random sample from .
Second, let us show that (C2) is satisfied. The parameter is identifiable
(A.47)
We have
(A.48)
Note that
and thus
Therefore, (A.48) is equivalent to
which is equivalent to the following equations
(A.49)
Note that (A.49)
(A.50)
(A.51)
Substituting (A.51) into (A.50), we have
Hence,
Consequently, (A.47) is correct, and (C2) is satisfied.
Third, (C3) is satisfied, as the densities have common support , and is differentiable in , , and .
Finally, (C4) is satisfied, as the true parameter value
which is an open set.
Therefore, the marginal density satisfies all the regularity conditions, and the MLEs are consistent estimators of the hyperparameters.
The proof of the theorem is complete.
图

A.19 N-NIG: The Proof of Theorem 6.1

In this section, we will prove Theorem 6.1.
Let be the hyperparameters. The marginal distribution of in the model (6.2) is
To lighten notations, the will be dropped in the densities. Some of the following derivations are quoted from Example 1.5.1 (p. 20) of Mao and Tang (2012) and Zhang et al. (2019a).
For the random variables, parameters, and hyperparameters, their domains are respectively given by
and
By the Bayes Theorem, the joint posterior distribution of and is
The joint conjugate prior distribution of and is decomposed as
which is a normal-inverse-gamma distribution. Hence,
It is easy to see that
and
Therefore,
(A.52)
The expression in the square brackets of (A.52) changes to
where
Let
(A.53)
Then (A.52) reduces to
It is shown that is a normal-inverse-gamma distribution as follows. The joint posterior distribution can be written as , where
That is,
Therefore, the joint posterior distribution is
(A.54)
The joint prior distribution is
(A.55)
Comparing (A.55) and (A.54), we find that the normal-inverse-gamma distribution is a conjugate prior for of .
Now, let us derive the marginal posterior density of . We have
by noting that the integrand of the above integral is the kernel of an inverse gamma distribution with
Therefore,
Now, let us calculate
(A.56)
Finally, let us derive the marginal density of . Combining (A.56) and (A.54), we have
The proof of the theorem is complete.
图

A.20 N-NIG: The Proof of Theorem 6.2

In this section, we will prove Theorem 6.2.
The hyperparameters of the model (6.2) are , , , and . By Theorem 6.1, we know that the marginal distribution of the model (6.2) is a non-standardized Student-t distribution, that is,
Since there are four hyperparameters, if we want to obtain the estimators of the hyperparameters of the model (6.2) by the moment method, we need to calculate the first four moments of at least. By Lemma 4 in Zhang et al. (2019a), we obtain the first six population moments of as follows. Furthermore, letting the population moments be equal to the sample moments, we obtain
From the first moment of , we obtain the moment estimator of as
Let
From the second moment of , we obtain the moment estimator of as
From the third moment of , we obtain the moment estimator of as
Obviously, the two moment estimators of are not equal. Therefore, we choose one of them as the moment estimator of . For simplicity, we use the moment estimator of calculated from , and ignore the third equation involving . Similarly, the equations involving and both have and . For simplicity, we use the equation involving , and ignore the equation involving . To have four equations, we will use the equation involving . Therefore, the moment equations become
Solving the above moment equations, we obtain
(A.57)
Let
Since and appear together in , we can not directly obtain the estimators of and by the moment method. But we can obtain the estimator of by the moment method. In the following, we are interested in obtaining the moment estimators of , , and . The moment equations involving , , and become
Since there are three equations and only two parameters and , for simplicity, we will only use the first two equations and ignore the third equation. Solving the above first two equations for and , we obtain the moment estimators of and as
Substituting the expressions of and , and after some algebra, we obtain the expressions of and in terms of as
(A.58)
(A.59)
Therefore, the moment estimators of , , and are given by (A.57)–(A.59).
Now, let us show that the moment estimators are consistent estimators of the hyperparameters. It is easy to show that
for , where means convergence in probability. Hence,
Therefore,
and
The proof of the theorem is complete.
图

A.21 N-NIG: The Proof of Theorem 6.3

In this section, we will prove Theorem 6.3.
Now we derive the MLEs of , , and . By Theorem 6.1, we know that the marginal distribution of of the model (6.2) is
for ,, , and . Then the likelihood function of , , and is
Consequently, the log-likelihood function of , , and is
Taking partial derivatives with respect to , , and and setting them to zeros, we obtain
and
where
which can be directly calculated in R software by digamma(x) (R Core Team (2023)). Let
Thus,
After some algebra, the above equations reduce to
In the above equations, the expressions involving are used for simplifying the R coding.
We can exploit Newton’s method to solve the above equations and obtain the MLEs of , , and . The iterative scheme of Newton’s method is
where is the Jacobian matrix of and . Note that the MLEs of , , and are very sensitive to the initial estimators, and the moment estimators are usually proved to be good initial estimators.
The Jacobian matrix of , , and is given by
where
where
Note that
which can be directly calculated in R software by trigamma(x) (R Core Team (2023)). In, the expressions involving are used for simplifying the R coding.
Now, let us show that the MLEs are consistent estimators of the hyperparameters. From Theorem 10.1.6 in Casella and Berger (2002), we know that the MLEs are consistent estimators of the hyperparameters under some regularity conditions in Miscellanea 10.6.2 in Casella and Berger (2002). The regularity conditions are listed below:
(C1). We observe , where are iid.
(C2). The parameter is identifiable; that is, if , then .
(C3). The densities have common support, and is differentiable in , , and .
(C4). The parameter space contains an open set of which the true parameter value is an interior point.
It remains to show that the marginal distribution satisfies all the regularity conditions. Let be the support set of .
First, (C1) is satisfied, as is a random sample from .
Second, let us show that (C2) is satisfied. The parameter is identifiable
(A.60)
We have
(A.61)
Note that
and thus
Therefore, (A.61) is equivalent to
which implies
(A.62)
where is a constant which does not depend on but may depend on , , , , , and . From (A.62), we obtain
(A.63)
and
(A.64)
Substituting (A.63) and (A.64) into (A.62), we obtain
which implies
(A.65)
Substituting (A.65) into (A.64), we obtain
(A.66)
Therefore,
Consequently, (A.60) is correct, and (C2) is satisfied.
Third, (C3) is satisfied, as the densities have common support , and is differentiable in , , and .
Finally, (C4) is satisfied, as the true parameter value
which is an open set.
Therefore, the marginal densities satisfy all the regularity conditions, and the MLEs are consistent estimators of the hyperparameters.
The proof of the theorem is complete.
图

A.22 U-IG: The Proof of Theorem 7.1

In this section, we will prove Theorem 7.1.
First, let us prove that the posterior distribution of is a truncated inverse gamma distribution. By the Bayes Theorem, we have
It is easy to see that
for and . Since , we have
where is the indicator function of , which is equal to 1 if is true and 0 otherwise. Consequently,
where
is the kernel of .
In the following, we will derive other forms of . We have
(A.67)
Note that
is the kernel of the distribution, and thus
(A.68)
where is the pdf of the distribution. Substituting (A.68) into (A.67), we obtain
It is easy to calculate the denominator of the above expression as
which is the cdf of the distribution evaluated at and it can be numerically computed by utilizing the R built-in function pgamma(). Hence,
That is, is a truncated inverse gamma distribution on . In other words, is an inverse gamma distribution truncated on .
Second, let us derive the marginal pdf of which is given by
where the likelihood is
the prior is
for and , and
is the gamma function. Therefore,
It is easy to see that the integrand of the above integral is the kernel of an distribution, that is,
for and , or equivalently,
Consequently, for and ,
where is the cdf of the distribution.
The proof of the theorem is complete.
图

A.23 U-IG: Some Key Notations and Derivatives

In this section, we will provide some key notations and derivatives.
From Wikipedia (2018a); Geddes et al. (1990); Abramowitz and Stegun (1970), the upper incomplete gamma function is defined as:
whereas the lower incomplete gamma function is defined as:
They have a simple relationship
where
is the ordinary gamma function. The normalized lower incomplete gamma function is defined as:
and the normalized upper incomplete gamma function is defined as:
They have the simple relationship
From Wikipedia (2018a); Geddes et al. (1990), the derivatives of the upper incomplete gamma function with respect to and are given by
(A.69)
(A.70)
(A.71)
where the function is a special case of the Meijer G-function (The MathWorks (2018); Geddes et al. (1990)) and it is given by
The derivatives of the function with respect to and are given by (Wikipedia (2018a); Geddes et al. (1990))
(A.72)
(A.73)
Changing the variables and to and in (A.69)–(A.73), we obtain the following derivatives
(A.74)
(A.75)
(A.76)
(A.77)
(A.78)
图

A.24 U-IG: Tedious and Complicated Calculations of E1,E2,E3

In this section, we will calculate , , and for the hierarchical uniform and inverse gamma model (7.1).
First, let us calculate . We have
Note that the integrand of the above integral is the kernel of an distribution, and thus
where is the pdf of the distribution. Therefore,
It is easy to calculate the integral in the above numerator as follows:
which is the cdf of the distribution evaluated at . Hence,
Second, let us calculate . We have
The numerator of the above expression is
Note that the integrand of the above integral is the kernel of an distribution. Therefore, the above expression reduces to
where is the cdf of the distribution evaluated at . Hence,
Third, let us calculate . We have
The numerator of the above expression is
Let . Then , and
Therefore, the numerator reduces to
where
and
For , we have
where is the lower incomplete gamma function and is the normalized lower incomplete gamma function. For , we have
where is pdf of the distribution, and
which can be numerically computed by utilizing the R built-in function integrate() very quickly and accurately. Hence,
The calculations are complete.
图

A.25 U-IG: The Proof of Theorem 7.2

In this section, we will prove Theorem 7.2.
The expectation and variance of are respectively given by
and
Next, let us calculate and . We have
and
Therefore,
The moment estimators of and are calculated by equating the population moments to the sample moments, that is,
where is the sample first-order moment of and is the sample second-order central moment of . Solving the above equations, we obtain the moment estimators of and :
Now let us show that the moment estimators are consistent estimators of the hyperparameters. It is easy to show that
and
where means convergence in probability. Therefore,
and
The proof of the theorem is complete.
图

A.26 U-IG: The Proof of Theorem 7.3

In this section, we will prove Theorem 7.3.
The likelihood function of and is
Consequently, the log-likelihood function of and is
Taking partial derivatives with respect to and and setting them to zeros, we obtain
After some algebra, the above equations reduce to
We first need to calculate . From Wikipedia (2018b), we have
where
is the upper incomplete gamma function. Hence,
We can exploit Newton’s method to solve the equations (7.8) and (7.9) and to numerically obtain the MLEs of and , and . The iterative scheme of Newton’s method is
where is the Jacobian matrix of and . Note that the MLEs of and are very sensitive to the initial estimators, and the moment estimators are usually proved to be good initial estimators.
The Jacobian matrix of and is given by
where
It remains to calculate
Now we calculate these quantities one by one. We first calculate
where
is the digamma function. Let
(A.79)
Then
(A.80)
Next, we calculate
where
Third, we calculate
where
is the trigamma function, is given by (A.80), and is calculated as follows. We have
where
Therefore,
Fourth, we calculate
where
Fifth, we calculate
where
where
Hence,
Note that
(A.81)
From Wikipedia (2018a), we find that
Changing the variables and to and in the above equation, we arrive at (A.80). Therefore,
Finally, we calculate
where
Consequently,
Hence, .
Now, let us show that the MLEs are consistent estimators of the hyperparameters. From Theorem 10.1.6 in Casella and Berger (2002), we know that the MLEs are consistent estimators of the hyperparameters under some regularity conditions in Miscellanea 10.6.2 in Casella and Berger (2002). The regularity conditions are listed below:
(C1). We observe , where are iid.
(C2). The parameter is identifiable; that is, if , then for some .
(C3). The densities have common support, and is differentiable in and .
(C4). The parameter space contains an open set of which the true parameter value is an interior point.
It remains to show that the marginal density satisfies all the regularity conditions.
First, (C1) is satisfied, as is a random sample from .
Second, let us show that (C2) is satisfied. The parameter is identifiable
(A.82)
Note that
and thus
We have
Taking derivatives with respect to on both sides of the above equation, we obtain
which is equivalent to the following equations
(A.83)
(A.84)
(A.85)
From (A.84), we obtain
By (A.85), we have
Hence,
Consequently, (A.82) is correct, and (C2) is satisfied.
Third, (C3) is satisfied, as the densities have common support , and is differentiable in and .
Finally, (C4) is satisfied, as the true parameter value
which is an open set.
Therefore, the marginal density satisfies all the regularity conditions, and the MLEs are consistent estimators of the hyperparameters.
The proof of the theorem is complete.
图

A.27 U-IG: The Analytical Calculations of Int

In this section, we will analytically calculate .
We have
It remains to calculate . By (A.69) and (A.70), we have
since
Therefore,
Consequently,
The calculations are complete.
图

A.28 P-G: The Proof of Theorem 8.1

In this section, we will prove Theorem 8.1.
By the Bayes Theorem, the posterior distribution of is
It is easy to see that
and
Therefore,
where
Now, let us calculate the marginal pmf of . We have, for and ,
In particular, when is a positive integer, the marginal pmf of is
which is a negative binomial distribution, where
The proof of the theorem is complete.
图

A.29 P-G: The Proof of Theorem 8.2

In this section, we will prove Theorem 8.2.
The hyperparameters of the model (8.1) are and . To obtain the moment estimators of the hyperparameters of the model (8.1), we need to calculate the first two moments of , and . It is easy to show that
Therefore,
and
Furthermore, letting the population moments be equal to the sample moments, we obtain
(A.86)
(A.87)
where
is the sample th moment of . Substituting (A.86) into (A.87), we obtain
(A.88)
Substituting (A.86) into (A.88) and simplifying, we have
(A.89)
From (A.86) and (A.89), we can solve
(A.90)
Consequently, the moment estimators of the hyperparameters of the model (8.1) are given by (A.89) and (A.90).
Now, let us show that the moment estimators are consistent estimators of the hyperparameters. It is easy to show that
for , where means convergence in probability. Hence,
Therefore,
and
The proof of the theorem is complete.
图

A.30 P-G: The Proof of Theorem 8.3

In this section, we will prove Theorem 8.3.
Now we derive the MLEs of and . The hyperparameters of the model are and . By Theorem 8.1, we know that the marginal distribution of of the model (8.1) is
for and . Then the likelihood function of and is
Consequently, the log-likelihood function of and is
Taking partial derivatives with respect to and and setting them to zeros, we obtain
Since
which can be directly calculated in R software by digamma(x) (R Core Team (2023)), after some algebra, the above equations reduce to
We can exploit Newton’s method to solve the equations (8.12) and (8.13) and to obtain the MLEs of and . The iterative scheme of Newton’s method is
where is the Jacobian matrix of and . Note that the MLEs of and are very sensitive to the initial estimators, and the moment estimators are usually proved to be good initial estimators.
The Jacobian matrix of and is given by
where
Note that
which can be directly calculated in R software by trigamma(x) (R Core Team (2023)).
Now, let us show that the MLEs are consistent estimators of the hyperparameters. From Theorem 10.1.6 in Casella and Berger (2002), we know that the MLEs are consistent estimators of the hyperparameters under some regularity conditions in Miscellanea 10.6.2 in Casella and Berger (2002). The regularity conditions are listed below:
(C1). We observe , where are iid.
(C2). The parameter is identifiable; that is, if , then .
(C3). The densities have common support, and is differentiable in and .
(C4). The parameter space contains an open set of which the true parameter value is an interior point.
It remains to show that the marginal distribution satisfies all the regularity conditions. Let be the support set of .
First, (C1) is satisfied, as is a random sample from .
Second, let us show that (C2) is satisfied. The parameter is identifiable
(A.91)
We have
(A.92)
Note that
and thus
Therefore, (A.92) is equivalent to
which implies
(A.93)
(A.94)
where and are constants which do not depend on but may depend on , , , and . From (A.93), we obtain
From (A.94), we obtain
Therefore,
Consequently, (A.91) is correct, and (C2) is satisfied.
Third, (C3) is satisfied, as the pmfs have common support , and is differentiable in and .
Finally, (C4) is satisfied, as the true parameter value
which is an open set.
Therefore, the marginal pmfs satisfy all the regularity conditions, and the MLEs are consistent estimators of the hyperparameters.
The proof of the theorem is complete.
图

Appendix B: Common Univariate Distributions

In this appendix, we will summarize some basic results on common univariate distributions. This appendix is adapted from “Table of Common Distributions” of Casella and Berger (2002).
图

B.1 Univariate Continuous Distributions

___________________________________________________________________________________
pdf:
mean and variance:
moment generating function (mgf):
notes:
is the (complete) beta function.
is the (complete) gamma function.
___________________________________________________________________________________
pdf:
mean and variance:
mgf:
notes: is a special case of Student’s . Moreover, if and are independent standard normal , then is .
___________________________________________________________________________________
pdf:
mean and variance:
mgf:
notes:
is a special case of the gamma distribution.
___________________________________________________________________________________
pdf:
mean and variance:
mgf:
notes: Also known as the Laplace distribution.
___________________________________________________________________________________
pdf:
mean and variance:
mgf:
notes:
is a special case of the gamma distribution. is .
___________________________________________________________________________________
pdf:
mean and variance:
mgf:
notes:
where and are independent. .
___________________________________________________________________________________
pdf:
mean and variance:
mgf:
notes: Some special cases are
and
is the inverse (inverted) gamma distribution.
___________________________________________________________________________________
pdf:
mean and variance:
notes: If , then .
_______________________________________________________________________________________
pdf:
mean and variance:
mgf:
notes: The cdf is given by
pdf:
mean and variance:
mgf:
notes:
is a normal distribution.
_______________________________________________________________________________________
pdf:
mean and variance:
mgf:
notes: Sometimes called the Gaussian distribution.
_______________________________________________________________________________________
pdf:
mean and variance:
mgf:
________________________________________________________________________________________
pdf:
mean and variance:
mgf:
notes: is the distribution.
________________________________________________________________________________________
pdf:
mean and variance:
mgf:
notes: If and , this is a special case of the beta distribution,
_______________________________________________________________________________________
pdf:
mean and variance:
mgf: The mgf exists only for . Its form is not very useful.
notes:
is the exponential distribution.
is the Weibull distribution.
_______________________________________________________________________________________
图

B.2 Univariate Discrete Distributions

_______________________________________________________________________________________
pmf:
mean and variance:
mgf:
notes:
is a special case of the binomial distribution.
_______________________________________________________________________________________
pmf:
mean and variance:
mgf:
notes:
is a Bernoulli distribution.
_______________________________________________________________________________________
pmf:
mean and variance:
mgf:
______________________________________________________________________________________
pmf:
mean and variance:
where .
mgf:
notes:
is a special case of the negative binomial distribution.
_______________________________________________________________________________________
pmf:
mean and variance:
notes: If and , the range will be appropriate.
_______________________________________________________________________________________
pmf:
mean and variance:
where .
mgf:
notes: The random variable counts the number of failures before the th success. An alternative form of the pmf is given by
The random variable is the trial at which the th success occurs. The random variable .
is the geometric distribution.
_______________________________________________________________________________________
pmf:
mean and variance:
mgf:
__________________________________________________________________________________________
图

References

Abramowitz M., Stegun I. A. (1970) Handbook of mathematical functions, 9th edn. United States Government Printing Office, New York.
Adler D., Murdoch D., others (2017) rgl: 3D visualization using OpenGL. R package version 0.98.1.
Aerts M., Claeskens G. (1997) Local polynomial estimation in multiparameter likelihood models, J. Am. Stat. Assoc. 92, 1536–1545.
Albert J. (2009) Bayesian computation with R (Use R!), 2nd edn. Springer, New York.
Aldirawi H., Yang J., Metwally A. A. (2019) Identifying appropriate probabilistic models for sparse discrete omics data. In IEEE EMBS International Conference on Biomedical and Health Informatics (BHI). IEEE.
Ali-Mousa M. A. M. (1988) Studying the risk of the linear empirical bayes estimate of the binomial parameter p, Commun. Stat. Simul. Comput. 17, 137–152.
Berger J. O. (1985) Statistical decision theory and bayesian analysis, 2nd edn. Springer, New York.
Berger J. O. (2006) The case for objective bayesian analysis, Bayesian Anal. 1, 385–402.
Berger J. O., Bernardo J. M., Sun D. C. (2015) Overall objective priors, Bayesian Anal. 10, 189–221.
Bernardo J. M., Smith A. F. M. (1994) Bayesian theory. Wiley, New York.
Bickel P. J., Doksum K. A. (1977) Mathematical statistics. Holden Day, San Francisco.
Bobotas P., Kourouklis S. (2010) On the estimation of a normal precision and a normal variance ratio, Stat. Methodol. 7, 445–463.
Box G. E., Tiao G. C. (1992) Bayesian inference in statistical analysis. Wiley, New York.
Brown L. D. (1968) Inadmissibility of the usual estimators of scale parameters in problems with unknown location and scale parameters, Ann. Math. Stat. 39, 29–48.
Brown L. D. (1990) Comment on the paper by maatta and casella, Stat. Sci. 5, 103–106.
Carlin B. P., Louis A. (2000a) Bayes and empirical bayes methods for data analysis, 2nd edn. Chapman & Hall, London.
Carlin B. P., Louis A. (2000b) Empirical bayes: Past, present and future, J. Am. Stat. Assoc. 95, 1286–1290.
Casella G., Berger R. L. (2002) Statistical inference, 2nd edn. Duxbury, Pacific Grove.
Chen M. H. (2014) Bayesian statistics lecture. Statistics Graduate Summer School, School of Mathematics and Statistics, Northeast Normal University, Changchun, China.
Chen M. H., Shao Q. M., Ibrahim J. G. (2000) Monte carlo methods in bayesian computation. Springer, New York.
Chen Y., Hong C., Ning Y., Su X. (2016) Meta-analysis of studies with bivariate binary outcomes: A marginal beta-binomial model approach, Stat. Med. 35(1), 21–40.
Cmiel B., Nawala J., Janowski L., Rusek K. (2024) Generalised score distribution: Underdispersed continuation of the beta-binomial distribution, Stat. Papers 65(1), 381–413.
Conover W. J. (1971) In Practical nonparametric statistics. John Wiley & Sons, New York, Pages 295–301 (one-sample kolmogorov test), 309–314 (two-sample smirnov test).
Coram M., Tang H. (2007) Improving population-specific allele frequency estimates by adapting supplemental data: An empirical bayes approach, Ann. Appl. Stat. 1, 459–479.
DASL (Data And Story Library) (2019) Bodyfat. https://dasl.datadescription.com/datafile/bodyfat/. Accessed: 2019-11-23.
Deely J. J., Lindley D. V. (1981) Bayes empirical bayes, J. Am. Stat. Assoc. 76, 833–841.
DeGroot M. (1970) Optimal statistical decisions. McGraw-Hill, New York.
Dimitrova D. S., Kaishev V. K., Tan S. (2020) Computing the kolmogorov-smirnov distribution when the underlying cdf is purely discrete, mixed or continuous, J. Stat. Software 95(10), 1–42.
Durbin J. (1973) Distribution theory for tests based on the sample distribution function. SIAM, Philadelphia.
Efron B. (2011) Tweedie’s formula and selection bias, J. Am. Stat. Assoc. 106, 1602–1614.
Fabrizi E., Trivisano C. (2012) Bayesian estimation of log-normal means with finite quadratic expected loss, Bayesian Anal. 7, 975–996.
Felsch M., Beckmann L., Bender R., Kuss O., Skipka G., Mathes T. (2022) Performance of several types of beta-binomial models in comparison to standard approaches for meta-analyses with very few studies, BMC Med. Res. Methodol. 22(319), 1–18.
Ferguson T. S. (1967) Mathematical statistics. Academic Press, New York.
Geddes K. O., Glasser M. L., Moore R. A., Scott T. C. (1990) Evaluation of classes of definite integrals involving elementary functions via differentiation of special functions, Appl. Algebr. Eng. Commun. Comput. 1, 149–165.
Gelman A., Carlin J. B., Stern H. S., Dunson D. B., Vehtari A., Rubin, D. B. (2013) Bayesian data analysis, 3rd edn. Chapman & Hall, London.
Ghosh M., Kubokawa T., Kawakubo Y. (2015) Benchmarked empirical bayes methods in multiplicative area-level models with risk evaluation, Biometrika 102, 647–659.
Good I. J. (1965) The estimation of probabilities: An essay on modern bayesian methods. M.I.T. Press, Cambridge.
Good I. J. (2000) Turing’s anticipation of empirical bayes in connection with the cryptanalysis of the naval enigma, J. Stat. Comput. Simul. 66(2), 101–111.
Han M. (2015) Bayesian statistics and its application. Tongji University Press, Shanghai.
Han M. (2017) Bayesian statistics: Application based on R and BUGS. Tongji University Press, Shanghai.
Hankin R. K. S. (2006) Special functions in R: Introducing the gsl package, R News 6(4), 24–26.
Hout A. V. D., Muniz-Terrera G., Matthews F. E. (2013) Change point models for cognitive tests using semi-parametric maximum likelihood, Comput. Stat. Data Anal. 57, 684–698.
Huang C. Q. (2017a) Bayesian statistics and its R implementation. Tsinghua University Press, Beijing.
Huang J. C. (2017b) Bayesian statistical analysis. Anhui Normal University Press, Wuhu.
Huang L. Y. (2021) Bayesian game: Mathematics, thinking and artificial intelligence. Posts & Telecom Press, Beijing.
Hunt D. L., Cheng C., Pounds S. (2009) The beta-binomial distribution for estimating the number of false rejections in microarray gene expression studies, Comput. Stat. Data Anal. 53, 1688–1700.
Jackman S. (2009) Bayesian analysis for the social sciences. Wiley, New York.
James W., Stein C. (1961) Estimation with quadratic loss, Proceed. Fourth Berkeley Sympos. Math. Stat. Prob. 1, 361–380.
Jiang Y. L. (2020) Bayesian statistics. Sun Yat-Sen University Press, Guangzhou.
Karunamuni R. J., Prasad, N. G. N. (2003) Empirical bayes sequential estimation of binomial probabilities, Commun. Stat.- Simul. Comput. 32, 61–71.
Kolossiatis M., Griffin J. E., Steel M. F. J. (2011) Modeling overdispersion with the normalized tempered stable distribution, Comput. Stat. Data Anal. 55, 2288–2301.
Larson N. B., Winham S., Fogarty Z., Larson M., Fridley B., Goode E. L. (2015) Novel application of beta-binomial models to assess x chromosome inactivation patterns in rna-seq expression of ovarian tumors, Genet. Epidemiol. 39(7), 562–563.
Lee J., Lio Y. L. (1999) A note on bayesian estimation and prediction for the beta-binomial model, J. Stat. Comput. Simul. 63, 73–91.
Lee J. C., Sabavala D. J. (1987) Bayesian estimation and prediction for the beta-binomial model, J. Bus. Econ. Stat. 5, 357–367.
Lee S. Y. (2011) Structural equation model: Bayesian method. Higher Education Press, Beijing.
Lehmann E. L., Casella G. (1998) Theory of point estimation, 2nd edn. Springer, New York.
Lehmann E. L., Romano J. P. (2005) Testing statistical hypotheses, 3rd edn. Springer, New York.
Li Z., Zhang Y. Y., Shi Y. G. (2025) Empirical bayes estimators for mean parameter of exponential distribution with conjugate inverse gamma prior under stein’s loss, Mathematics 13, 1–23.
Lindley D. V. (1965) Introduction to probability and statistics from a bayesian viewpoint. Part 2. Inference. Cambridge University Press, Cambridge.
Liu J. S., Xia Q. (2016) Bayesian statistical method based on MCMC algorithm. Science Press, Beijing.
Luo R., Paul S. (2018) Estimation for zero-inflated beta-binomial regression model with missing response data, Stat. Med. 37, 3789–3813.
Maatta J. M., Casella G. (1990) Developments in decision-theoretic variance estimation, Stat. Sci. 5, 90–120.
Mao S. S., Tang Y. C. (2012) Bayesian statistics, 2nd edn. China Statistics Press, Beijing.
Maritz J. S., Lwin T. (1989) Empirical bayes methods, 2nd edn. Chapman & Hall, London.
Maritz J. S., Lwin T. (1992) Assessing the performance of empirical bayes estimators, Ann. Inst. Stat. Math. 44, 641–657.
Marsaglia G., Tsang W. W., Wang J. B. (2003) Evaluating kolmogorov’s distribution, J. Stat. Software 8(18), 1–4.
Martin R., Mess R., Walker S. G. (2017) Empirical bayes posterior concentration in sparse high-dimensional linear models, Bernoulli 23, 1822–1847.
Mikulich-Gilbertson S. K., Wagner B. D., Grunwald G. K., Riggs P. D., Zerbe G. O. (2019) Using empirical bayes predictors from generalized linear mixed models to test and visualize associations among longitudinal outcomes, Stat. Methods Med. Res. 28, 1399–1411.
Morris C. (1983) Parametric empirical bayes inference: Theory and applications, J. Am. Stat. Assoc. 78, 47–65.
Najera-Zuloaga J., Lee D. J., Arostegui I. (2019) A beta-binomial mixed-effects model approach for analysing longitudinal discrete and bounded outcomes, Biom. J. 61(3), 600–615.
Noma H., Matsui S. (2013) Empirical bayes ranking and selection methods via semiparametric hierarchical mixture models in microarray studies, Stat. Med. 32(11), 1904–1916.
Novick M. R., Jackson P. H. (1974) Statistical methods for educational and psychological research. McGraw-Hill, New York.
Oono Y., Shinozaki N. (2006) On a class of improved estimators of variance and estimation under order restriction. J. Stat. Plann. Inference 136, 2584–2605.
Palm B. G., Bayer F. M., Cintra R. J. (2021) Signal detection and inference based on the beta binomial autoregressive moving average model, Digital Signal Process. 109(102911), 1–12.
Pan W., Jeong K. S., Xie Y., Khodursky A. (2008) A nonparametric empirical bayes approach to joint modeling of multiple sources of genomic data. Stat. Sin. 18(2), 709–729.
Parsian A., Nematollahi N. (1996) Estimation of scale parameter under entropy loss function, J. Stat. Plann. Inference 52, 77–91.
Pensky M. (2002) Locally adaptive wavelet empirical bayes estimation of a location parameter, Ann. Inst. Stat. Math. 54, 83–99.
Petropoulos C., Kourouklis S. (2005) Estimation of a scale parameter in mixture models with unknown location, J. Stat. Plann. Inference 128, 191–218.
Prentice R. L. (1986) Binary regression using an extended beta-binomial distribution, with discussion of correlation induced by covariate measurement errors, J. Am. Stat. Assoc. 81, 321–327.
R Core Team. (2023) R: A language and environment for statistical computing. R Foundation for Statistical Computing, Vienna, Austria.
R. E. Barlow University of California, Berkeley. (2021) Static Fatigue 90% Stress Level. https://college.cengage.com/mathematics/brase/understandable_statistics/7e/students/datasets/svls/frames/frame.html. Accessed: 2021-12-19.
Robbins H. (1955) An empirical bayes approach to statistics. In: Proceedings of Third Berkeley Symposium on Mathematical Statistics and Probability, volume 1. University of California Press.
Robbins H. (1964) The empirical bayes approach to statistical decision problems, Ann. Math. Stat. 35, 1–20.
Robbins H. (1983) Some thoughts on empirical bayes estimation, Ann. Stat. 1, 713–723.
Robert C. P. (2007) The bayesian choice: From decision-theoretic motivations to computational implementation, 2nd paperback edn. Springer, New York.
Robert C. P., Casella G. (2005) Monte carlo statistical methods, 2nd edn. Springer, New York.
Robert C. P., Casella G. (2009) Introducing monte carlo methods with R (Use R!). Springer, New York.
Rosner B. (1989) Multivariate methods for clustered binary data with more than one level of nesting, J. Am. Stat. Assoc. 84, 373–380.
Ross S. (2013) Simulation, 5th edn. Mechanical Industry Press, Beijing.
Santitissadeekorn N., Lloyd D. J. B., Short M. B., Delahaies S. (2020) Approximate filtering of conditional intensity process for poisson count data: Application to urban crime, Comput. Stat. Data Anal. 144(106850), 1–14.
Satagopan J. M., Sen A., Zhou Q., Lan Q., Rothman N., Langseth H., Engel L. S. (2016) Bayes and empirical bayes methods for reduced rank regression models in matched case-control studies, Biometrics 72, 584–595.
Savage L. J. (1972) The foundations of statistics, Revised edn. Dover Publications, New York.
Shao J. (2003) Mathematical statistics, 2nd edn. Springer, New York.
Shi N. Z., Tao J. (2008) Statistical hypothesis testing: Theory and methods. World Scientific Publishing, Singapore.
Shi Y. G., Zhang Y. Y., Li, Z. (2025) The empirical bayes estimators of the rate parameter of the gamma distribution with a conjugate gamma prior under stein’s loss function, Commun. Stat.-Theor. Meth.. DOI: https://doi.org/10.1080/03610918.2024.2369811.
Singh S. K., Singh U., Sharma V. K. (2013) Expected total test time and bayesian estimation for generalized lindley distribution under progressively type-ii censored sample where removals follow the beta-binomial probability law, Appl. Math. Comput. 222, 402–419.
Soloff J. A., Guntuboyina A., Sen B. (2024) Multivariate, heteroscedastic empirical bayes via nonparametric maximum likelihood, J. R. Stat. Soc. B. 87(1), 1–32.
Srivastava M. S., Wu Y. H. (1993) Local efficiency of moment estimators in beta-binomial model, Commun. Stat.-Theor. Meth. 22, 257–261.
Stein C. (1964) Inadmissibility of the usual estimator for the variance of a normal distribution with unknown mean, Ann. Inst. Stat. Math. 16, 155–160.
Stuart A., Ord J. K., Arnold S. (1999) Advanced theory of statistics, volume 2A: Classical inference and the linear model, 6th edn. Oxford University Press, London.
Sun J., Zhang Y. Y., Sun Y. (2021) The empirical bayes estimators of the rate parameter of the inverse gamma distribution with a conjugate inverse gamma prior under stein’s loss function, J. Stat. Comput. Simul. 91, 1504–1523.
Sun Y., Zhang Y. Y., Sun J. (2024) The empirical bayes estimators of the parameter of the uniform distribution with an inverse gamma prior under stein’s loss function, Commun. Stat.-Simul. Comput. 53, 3027–3045.
Tak H. Morris C. N. (2017) Data-dependent posterior propriety of a bayesian beta-binomial-logit model, Bayesian Anal. 12(2), 533–555.
The MathWorks. (2018) MATLAB and symbolic math toolbox release 2018b. The MathWorks, Inc., Natick, Massachusetts, United States.
UCLA Institute for Digital Research and Education. (2018) Negative binomial regression: R data analysis examples. https://stats.idre.ucla.edu/r/dae/negative-binomial-regression/.
van Houwelingen H. C. (2014) The role of empirical bayes methodology as a leading principle in modern medical statistics, Biom. J. 56, 919–932.
Varian H. R. (1975) A bayesian approach to real estate assessment, Studies in bayesian econometrics and statistics (S. E. Fienberg, A. Zellner, Eds). North Holland, Amsterdam, 195–208.
Wei C. D. (2015) Bayesian statistical analysis and its application. Science Press, Beijing.
Wei L. S. (2016) Bayesian statistics. Higher Education Press, Beijing.
Wei L. S., Zhang W. P. (2021) Bayesian analysis, 2nd edn. University of Science and Technology of China Press, Hefei.
Wikipedia. (2018a) Incomplete gamma function. https://en.wikipedia.org/wiki/Incomplete_gamma_function#Derivatives. Accessed: 2018-04-05.
Wikipedia. (2018b) Inverse-gamma distribution. https://en.wikipedia.org/wiki/Inverse-gamma_distribution. Accessed: 2018-04-05.
Wu X. Z. (2020) Bayesian data analysis – implementation based on R and python. China Renmin University Press, Beijing.
Wu X. Z. (2021) Modern bayesian statistics. China Statistics Press, Beijing.
Wypij D., Santner T. J. (1990) Interval estimation of the marginal probability of success for the beta-binomial distribution, J. Stat. Comput. Simul. 35, 169–185.
Xie Y. H., Song W. H., Zhou M. Q., Zhang Y. Y. (2018) The bayes posterior estimator of the variance parameter of the normal distribution with a normal-inverse-gamma prior under stein’s loss, Chin. J. Appl. Probab. Stat. 34, 551–564.
Xue Y., Chen L. P. (2007) Statistical modeling and R software. Tsinghua University Press, Beijing.
Ye R. D., Wang S. G. (2009) Improved estimation of the covariance matrix under stein’s loss, Stat. Probab. Lett. 79, 715–721.
Zellner A. (1971) An Introduction to bayesian inference in econometrics. Wiley, New York.
Zellner A. (1986) Bayesian estimation and prediction using asymmetric loss functions, J. Am. Stat. Assoc. 81, 446–451.
Zhang L., Zhang Y. Y. (2022) The bayesian posterior and marginal densities of the hierarchical gamma-gamma, gamma-inverse gamma, inverse gamma-gamma, and inverse gamma-inverse gamma models with conjugate priors, Mathematics 10, 1–27.
Zhang Q., Xu Z., Lai Y. (2021) An empirical bayes approach for the identification of long-range chromosomal interaction from hi-c data, Stat. Appl. Genet. Mol. Biol. 20(1), 1–15.
Zhang Y. Y. (2017) The bayes rule of the variance parameter of the hierarchical normal and inverse gamma model under stein’s loss, Commun. Stat.-Theor. Meth. 46, 7125–7133.
Zhang Y. Y. (2025) The empirical bayes estimators of the variance parameter of the normal distribution with a normal-inverse-gamma prior under stein’s loss function, Chin. J. Appl. Probab. Stat. Under review.
Zhang Y. Y., Rong T. Z., Li M. M. (2019a) The empirical bayes estimators of the mean and variance parameters of the normal distribution with a conjugate normal-inverse-gamma prior by the moment method and the mle method, Commun. Stat.-Theor. Meth. 48, 2286–2304.
Zhang Y. Y., Rong T. Z., Li M. M. (2022) The bayes estimators of the variance and scale parameters of the normal model with a known mean for the conjugate and noninformative priors under stein’s loss, Front. Big Data 4, 1–13.
Zhang Y. Y., Rong T. Z., Li M. M. (2023) The bayes estimator of the positive restricted parameter under the power-power loss with an application, Chin. J. Appl. Probab. Stat. 39, 159–177.
Zhang Y. Y., Wang Z. Y., Duan Z. M., Mi W. (2019b) The empirical bayes estimators of the parameter of the poisson distribution with a conjugate gamma prior under stein’s loss function J. Stat. Comput. Simul. 89, 3061–3074.
Zhang Y. Y., Xie Y. H., Song W. H., Zhou M. Q. (2018) Three strings of inequalities among six bayes estimators, Commun. Stat.-Theor. Meth. 47, 1953–1961.
Zhang Y. Y., Xie Y. H., Song W. H., Zhou M. Q. (2020) The bayes rule of the parameter in (0,1) under zhang’s loss function with an application to the beta-binomial model, Commun. Stat.-Theor. Meth. 49, 1904–1920.
Zhang Y. Y., Zhang Y. Y., Wang Z. Y., Sun Y., Sun J. (2024) The empirical bayes estimators of the variance parameter of the normal distribution with a conjugate inverse gamma prior under stein’s loss function, Commun. Stat.-Theor. Meth. 53, 170–200.
Zhang Y. Y., Zhou M. Q., Xie Y. H., Song W. H. (2017) The bayes rule of the parameter in (0,1) under the power-log loss function with an application to the beta-binomial model, J. Stat. Comput. Simul. 87, 2724–2737.
Zhou M. Q., Zhang Y. Y., Sun Y., Sun J., Rong T. Z., Li M. M. (2021) The empirical bayes estimators of the probability parameter of the beta-negative binomial model under zhang’s loss function, Chin. J. Appl. Probab. Stat. 37, 478–494.
AI翻译
复制
笔记
高亮
搜索
笔记 0
高亮 0
编辑
删除
笔记
0 / 500
笔记详情
2025-08-26 14:49
Stein损失函数下层次模型正参数的经验贝叶斯估计
目录
笔记
搜索
0
全部
笔记
高亮