![]() |
|
| 国防科技大学校长 | |
| 2023 年 6 月 |
| 付 强 何 峻 卜凡康 傅瑞罡 | |
| 2023 年 5 月于国防科技大学 |
| 付 强 何 峻 | |
| 2013 年 5 月于国防科学技术大学 |
| 0.90 | 0.01 | 27053 |
| 0.90 | 0.02 | 6762 |
| 0.90 | 0.05 | 1080 |
| 0.90 | 0.10 | 268 |
| 0.95 | 0.01 | 38412 |
| 0.95 | 0.02 | 9601 |
| 0.95 | 0.05 | 1534 |
| 0.95 | 0.10 | 381 |
| 0.99 | 0.01 | 66345 |
| 0.99 | 0.02 | 16583 |
| 0.99 | 0.05 | 2650 |
| 0.99 | 0.10 | 659 |
| 0.90 | 0.02 | 0.70 | 5679 |
| 0.90 | 0.02 | 0.75 | 5070 |
| 0.90 | 0.02 | 0.80 | 4324 |
| 0.90 | 0.02 | 0.85 | 3445 |
| 0.90 | 0.02 | 0.90 | 2433 |
| 0.90 | 0.05 | 0.70 | 906 |
| 0.90 | 0.05 | 0.75 | 809 |
| 0.90 | 0.05 | 0.80 | 691 |
| 0.90 | 0.05 | 0.85 | 549 |
| 0.90 | 0.05 | 0.90 | 385 |
| 0.90 | 0.10 | 0.70 | 225 |
| 0.90 | 0.10 | 0.75 | 199 |
| 0.90 | 0.10 | 0.80 | 171 |
| 0.90 | 0.10 | 0.85 | 135 |
| 0.90 | 0.10 | 0.90 | 94 |
| 0.95 | 0.02 | 0.70 | 8063 |
| 0.95 | 0.02 | 0.75 | 7199 |
| 0.95 | 0.02 | 0.80 | 6143 |
| 0.95 | 0.02 | 0.85 | 4892 |
| 0.95 | 0.02 | 0.90 | 3454 |
| 0.95 | 0.05 | 0.70 | 1288 |
| 0.95 | 0.05 | 0.75 | 1149 |
| 0.95 | 0.05 | 0.80 | 981 |
| 0.95 | 0.05 | 0.85 | 778 |
| 0.95 | 0.05 | 0.90 | 547 |
| Mean | ||||
| 0.55 | 0.75 | 8.36 | 6.84 | 15.20 |
| 0.55 | 0.80 | 5.07 | 4.15 | 9.22 |
| 0.55 | 0.85 | 3.27 | 2.67 | 5.94 |
| 0.55 | 0.90 | 2.14 | 1.75 | 3.89 |
| 0.55 | 0.95 | 1.35 | 1.10 | 2.45 |
| 0.60 | 0.75 | 15.79 | 10.52 | 26.31 |
| 0.60 | 0.80 | 8.39 | 5.60 | 13.99 |
| 0.60 | 0.85 | 4.97 | 3.31 | 8.28 |
| 0.60 | 0.90 | 3.07 | 2.05 | 5.12 |
| 0.60 | 0.95 | 1.84 | 1.23 | 3.07 |
| 0.65 | 0.75 | 37.07 | 19.96 | 57.03 |
| 0.65 | 0.80 | 15.53 | 8.36 | 23.89 |
| 0.65 | 0.85 | 8.05 | 4.33 | 12.38 |
| 0.65 | 0.90 | 4.56 | 2.46 | 7.02 |
| 0.65 | 0.95 | 2.57 | 1.38 | 3.95 |
| 0.70 | 0.75 | 151.88 | 65.09 | 216.97 |
| 0.70 | 0.80 | 35.68 | 15.29 | 50.97 |
| 0.70 | 0.85 | 14.55 | 6.24 | 27.79 |
| 0.70 | 0.90 | 7.21 | 3.09 | 10.30 |
| 0.70 | 0.95 | 3.71 | 1.59 | 5.30 |
| 0.75 | 0.80 | 142.58 | 47.52 | 190.10 |
| 0.75 | 0.85 | 32.58 | 10.86 | 43.44 |
| 0.75 | 0.9 | 12.68 | 4.23 | 16.91 |
| 0.75 | 0.95 | 5.68 | 1.89 | 7.57 |
| 0.75 | 0.99 | 2.45 | 0.81 | 3.26 |
| 0.80 | 0.85 | 126.13 | 31.53 | 157.66 |
| 0.80 | 0.9 | 27.45 | 6.86 | 34.31 |
| 0.80 | 0.95 | 9.61 | 2.40 | 12.01 |
| 0.80 | 0.99 | 3.63 | 0.91 | 4.54 |
| 0.85 | 0.90 | 101.54 | 17.92 | 119.46 |
| 0.85 | 0.95 | 19.74 | 3.48 | 23.22 |
| 0.85 | 0.99 | 5.92 | 1.05 | 6.97 |
| 0.90 | 0.95 | 67.33 | 7.48 | 74.81 |
| 0.90 | 0.99 | 11.74 | 1.31 | 13.05 |
| 0.50 | 0.70 | 38.47 | 25.45 | 63.92 |
| 0.50 | 0.75 | 24.82 | 14.65 | 39.47 |
| 0.50 | 0.80 | 17.16 | 8.96 | 26.12 |
| 0.50 | 0.85 | 12.33 | 5.61 | 17.94 |
| 0.50 | 0.90 | 8.98 | 3.48 | 12.46 |
| 0.55 | 0.75 | 39.41 | 20.95 | 60.36 |
| 0.55 | 0.80 | 24.93 | 11.69 | 36.62 |
| 0.55 | 0.85 | 16.79 | 6.85 | 23.64 |
| 0.55 | 0.90 | 11.64 | 4.02 | 15.66 |
| 0.55 | 0.95 | 7.90 | 2.19 | 10.09 |
| 0.60 | 0.75 | 70.61 | 33.70 | 104.31 |
| 0.60 | 0.80 | 38.98 | 16.37 | 55.35 |
| 0.60 | 0.85 | 24.01 | 8.74 | 32.75 |
| 0.60 | 0.90 | 15.55 | 4.78 | 20.33 |
| 0.60 | 0.95 | 10.02 | 2.45 | 12.47 |
| 0.65 | 0.75 | 158.30 | 67.51 | 225.81 |
| 0.65 | 0.80 | 68.52 | 25.63 | 94.15 |
| 0.65 | 0.85 | 36.79 | 11.88 | 48.67 |
| 0.65 | 0.90 | 21.78 | 5.89 | 27.67 |
| 0.65 | 0.95 | 13.05 | 2.79 | 15.84 |
| 0.70 | 0.80 | 150.94 | 49.94 | 200.88 |
| 0.70 | 0.85 | 63.53 | 18.03 | 81.56 |
| 0.70 | 0.90 | 32.64 | 7.72 | 40.36 |
| 0.70 | 0.95 | 17.76 | 3.29 | 21.05 |
| 0.70 | 0.99 | 9.4 | 1.21 | 10.61 |
| 0.75 | 0.85 | 136.81 | 33.77 | 170.58 |
| 0.75 | 0.9 | 54.84 | 11.18 | 66.02 |
| 0.75 | 0.95 | 25.73 | 4.05 | 29.78 |
| 0.75 | 0.99 | 12.38 | 1.33 | 13.71 |
| 0.80 | 0.90 | 114.23 | 19.68 | 133.91 |
| 0.80 | 0.95 | 41.47 | 5.42 | 46.89 |
| 0.80 | 0.99 | 17.27 | 1.50 | 18.77 |
| 0.85 | 0.95 | 81.75 | 8.57 | 90.32 |
| 0.85 | 0.99 | 26.61 | 1.78 | 28.39 |
| 0.90 | 0.95 | 269.42 | 21.32 | 290.74 |
| 0.90 | 0.99 | 49.72 | 2.36 | 52.08 |
| 2 | 3 | 4 | |
| 0.01 | 13527 | 18360 | 21259 |
| 0.02 | 3381 | 4589 | 5314 |
| 0.03 | 1502 | 2039 | 2361 |
| 0.04 | 845 | 1146 | 1327 |
| 0.05 | 540 | 733 | 849 |
| 0.10 | 134 | 182 | 211 |
| 选优结果 置信度 | 排序结果 置信度 | |||||||||||||
| 100 | 300 | 500 | 1000 | 3000 | 100 | 300 | 500 | 1000 | 3000 | |||||
| 0.7 | 0.68 | 0.66 | 0.52 | 0.64 | 0.72 | 0.82 | 0.95 | 0.32 | 0.45 | 0.54 | 0.68 | 0.91 | ||
| 0.64 | 0.56 | 0.68 | 0.75 | 0.83 | 0.95 | 0.41 | 0.58 | 0.68 | 0.81 | 0.95 | ||||
| 0.62 | 0.59 | 0.70 | 0.75 | 0.83 | 0.95 | 0.48 | 0.65 | 0.73 | 0.83 | 0.95 | ||||
| 0.6 | 0.60 | 0.70 | 0.75 | 0.83 | 0.95 | 0.53 | 0.69 | 0.75 | 0.83 | 0.95 | ||||
| 0.66 | 0.64 | 0.64 | 0.82 | 0.90 | 0.97 | 1.00 | 0.40 | 0.57 | 0.67 | 0.80 | 0.95 | |||
| 0.62 | 0.68 | 0.84 | 0.91 | 0.97 | 1.00 | 0.49 | 0.71 | 0.82 | 0.94 | 1.00 | ||||
| 0.6 | 0.70 | 0.85 | 0.91 | 0.97 | 1.00 | 0.57 | 0.80 | 0.89 | 0.97 | 1.00 | ||||
| 0.64 | 0.62 | 0.75 | 0.93 | 0.98 | 1.00 | 1.00 | 0.46 | 0.64 | 0.73 | 0.82 | 0.95 | |||
| 0.6 | 0.78 | 0.94 | 0.98 | 1.00 | 1.00 | 0.56 | 0.79 | 0.88 | 0.97 | 1.00 | ||||
| 0.62 | 0.6 | 0.84 | 0.98 | 1.00 | 1.00 | 1.00 | 0.52 | 0.68 | 0.74 | 0.82 | 0.94 | |||
| 0.75 | 0.73 | 0.71 | 0.53 | 0.66 | 0.73 | 0.84 | 0.96 | 0.33 | 0.47 | 0.56 | 0.70 | 0.92 | ||
| 0.69 | 0.57 | 0.70 | 0.76 | 0.85 | 0.96 | 0.42 | 0.60 | 0.70 | 0.82 | 0.96 | ||||
| 0.67 | 0.60 | 0.71 | 0.76 | 0.85 | 0.96 | 0.49 | 0.67 | 0.75 | 0.84 | 0.96 | ||||
| 0.65 | 0.61 | 0.71 | 0.76 | 0.85 | 0.96 | 0.54 | 0.70 | 0.76 | 0.85 | 0.96 | ||||
| 0.71 | 0.69 | 0.66 | 0.84 | 0.91 | 0.98 | 1.00 | 0.41 | 0.59 | 0.69 | 0.82 | 0.95 | |||
| .67 | 0.69 | 0.86 | 0.92 | 0.98 | 1.00 | 0.51 | 0.73 | 0.84 | 0.95 | 1.00 | ||||
| 0.65 | 0.72 | 0.86 | 0.92 | 0.98 | 1.00 | 0.58 | 0.81 | 0.90 | 0.98 | 1.00 | ||||
| 0.69 | 0.67 | 0.77 | 0.94 | 0.98 | 1.00 | 1.00 | 0.48 | 0.66 | 0.74 | 0.83 | 0.95 | |||
| 0.65 | 0.80 | 0.95 | 0.98 | 1.00 | 1.00 | 0.58 | 0.81 | 0.89 | 0.97 | 1.00 | ||||
| 0.67 | 0.65 | 0.85 | 0.98 | 1.00 | 1.00 | 1.00 | 0.53 | 0.68 | 0.75 | 0.83 | 0.95 | |||
| 0.80 | 0.78 | 0.76 | 0.54 | 0.68 | 0.76 | 0.86 | 0.97 | 0.34 | 0.49 | 0.58 | 0.73 | 0.94 | ||
| 0.74 | 0.58 | 0.71 | 0.78 | 0.86 | 0.97 | 0.43 | 0.62 | 0.72 | 0.85 | 0.97 | ||||
| 0.72 | 0.61 | 0.72 | 0.78 | 0.86 | 0.97 | 0.51 | 0.69 | 0.77 | 0.86 | 0.97 | ||||
| 0.70 | 0.62 | 0.73 | 0.78 | 0.86 | 0.97 | 0.56 | 0.72 | 0.78 | 0.86 | 0.97 | ||||
| 0.76 | 0.74 | 0.68 | 0.86 | 0.93 | 0.98 | 1.00 | 0.43 | 0.61 | 0.71 | 0.84 | 0.96 | |||
| 0.72 | 0.71 | 0.88 | 0.94 | 0.98 | 1.00 | 0.53 | 0.76 | 0.87 | 0.96 | 1.00 | ||||
| 0.70 | 0.73 | 0.88 | 0.94 | 0.98 | 1.00 | 0.61 | 0.84 | 0.92 | 0.98 | 1.00 | ||||
| 0.74 | 0.72 | 0.79 | 0.95 | 0.99 | 1.00 | 1.00 | 0.49 | 0.67 | 0.75 | 0.84 | 0.96 | |||
| 0.70 | 0.82 | 0.96 | 0.99 | 1.00 | 1.00 | 0.60 | 0.83 | 0.91 | 0.98 | 1.00 | ||||
| 0.72 | 0.70 | 0.87 | 0.99 | 1.00 | 1.00 | 1.00 | 0.54 | 0.70 | 0.76 | 0.84 | 0.96 | |||
| 0.85 | 0.83 | 0.81 | 0.56 | 0.71 | 0.79 | 0.88 | 0.98 | 0.36 | 0.52 | 0.62 | 0.78 | 0.96 | ||
| 0.79 | 0.61 | 0.74 | 0.80 | 0.89 | 0.98 | 0.46 | 0.66 | 0.76 | 0.88 | 0.98 | ||||
| 0.77 | 0.63 | 0.75 | 0.81 | 0.89 | 0.98 | 0.54 | 0.72 | 0.80 | 0.89 | 0.98 | ||||
| 0.75 | 0.64 | 0.75 | 0.81 | 0.89 | 0.98 | 0.59 | 0.74 | 0.80 | 0.89 | 0.98 | ||||
| 0.81 | 0.79 | 0.71 | 0.89 | 0.95 | 0.99 | 1.00 | 0.45 | 0.65 | 0.75 | 0.86 | 0.97 | |||
| 0.77 | 0.74 | 0.90 | 0.95 | 0.99 | 1.00 | 0.56 | 0.80 | 0.90 | 0.98 | 1.00 | ||||
| 0.75 | 0.76 | 0.90 | 0.95 | 0.99 | 1.00 | 0.64 | 0.87 | 0.94 | 0.99 | 1.00 | ||||
| 0.79 | 0.77 | 0.82 | 0.97 | 0.99 | 1.00 | 1.00 | 0.52 | 0.70 | 0.77 | 0.86 | 0.97 | |||
| 0.75 | 0.84 | 0.97 | 0.99 | 1.00 | 1.00 | 0.63 | 0.85 | 0.93 | 0.98 | 1.00 | ||||
| 0.77 | 0.75 | 0.90 | 0.99 | 1.00 | 1.00 | 1.00 | 0.56 | 0.71 | 0.77 | 0.85 | 0.97 | |||
| 0.90 | 0.88 | 0.86 | 0.60 | 0.75 | 0.83 | 0.92 | 0.99 | 0.39 | 0.58 | 0.69 | 0.84 | 0.98 | ||
| 0.84 | 0.64 | 0.78 | 0.84 | 0.92 | 0.99 | 0.50 | 0.72 | 0.81 | 0.92 | 0.99 | ||||
| 0.82 | 0.66 | 0.78 | 0.84 | 0.92 | 0.99 | 0.58 | 0.77 | 0.84 | 0.92 | 0.99 | ||||
| 0.80 | 0.67 | 0.78 | 0.84 | 0.92 | 0.99 | 0.62 | 0.78 | 0.84 | 0.92 | 0.99 | ||||
| 0.86 | 0.84 | 0.75 | 0.92 | 0.97 | 1.00 | 1.00 | 0.49 | 0.70 | 0.79 | 0.89 | 0.98 | |||
| 0.82 | 0.78 | 0.93 | 0.97 | 1.00 | 1.00 | 0.61 | 0.85 | 0.93 | 0.99 | 1.00 | ||||
| 0.80 | 0.80 | 0.93 | 0.97 | 1.00 | 1.00 | 0.69 | 0.91 | 0.97 | 1.00 | 1.00 | ||||
| 0.84 | 0.82 | 0.86 | 0.98 | 1.00 | 1.00 | 1.00 | 0.56 | 0.73 | 0.80 | 0.88 | 0.98 | |||
| 0.80 | 0.88 | 0.99 | 1.00 | 1.00 | 1.00 | 0.67 | 0.88 | 0.95 | 0.99 | 1.00 | ||||
| 0.82 | 0.80 | 0.93 | 1.00 | 1.00 | 1.00 | 1.00 | 0.59 | 0.73 | 0.79 | 0.87 | 0.98 | |||
| 0.95 | 0.93 | 0.91 | 0.66 | 0.83 | 0.90 | 0.97 | 1.00 | 0.46 | 0.68 | 0.79 | 0.92 | 1.00 | ||
| 0.89 | 0.70 | 0.84 | 0.91 | 0.97 | 1.00 | 0.58 | 0.81 | 0.89 | 0.97 | 1.00 | ||||
| 0.87 | 0.71 | 0.85 | 0.91 | 0.97 | 1.00 | 0.65 | 0.84 | 0.91 | 0.97 | 1.00 | ||||
| 0.85 | 0.71 | 0.85 | 0.91 | 0.97 | 1.00 | 0.69 | 0.84 | 0.91 | 0.97 | 1.00 | ||||
| 0.91 | 0.89 | 0.83 | 0.97 | 0.99 | 1.00 | 1.00 | 0.56 | 0.77 | 0.85 | 0.93 | 1.00 | |||
| 0.87 | 0.85 | 0.97 | 0.99 | 1.00 | 1.00 | 0.69 | 0.91 | 0.97 | 1.00 | 1.00 | ||||
| 0.85 | 0.86 | 0.97 | 0.99 | 1.00 | 1.00 | 0.77 | 0.96 | 0.99 | 1.00 | 1.00 | ||||
| 0.89 | 0.87 | 0.92 | 1.00 | 1.00 | 1.00 | 1.00 | 0.61 | 0.77 | 0.83 | 0.92 | 0.99 | |||
| 0.85 | 0.93 | 1.00 | 1.00 | 1.00 | 1.00 | 0.74 | 0.92 | 0.97 | 1.00 | 1.00 | ||||
| 0.87 | 0.85 | 0.97 | 1.00 | 1.00 | 1.00 | 1.00 | 0.63 | 0.76 | 0.82 | 0.90 | 0.99 | |||
| 选优结果置信度 | 排序结果置信度 | |||||
| 0.90 | 0.95 | 0.90 | 0.95 | |||
| 0.7 | 0.68 | 0.66 | 1792.55 | 2902.88 | 2902.34 | 4156.28 |
| 0.64 | 1758.00 | 2894.66 | 1834.69 | 2915.30 | ||
| 0.62 | 1757.76 | 2894.66 | 1759.11 | 2894.74 | ||
| 0.60 | 1757.76 | 2894.66 | 1757.78 | 2894.65 | ||
| 0.66 | 0.64 | 500.90 | 771.00 | 1929.12 | 3091.50 | |
| 0.62 | 457.16 | 739.20 | 748.00 | 1070.91 | ||
| 0.60 | 448.95 | 737.04 | 535.45 | 795.90 | ||
| 0.64 | 0.62 | 242.61 | 365.72 | 1915.87 | 3154.27 | |
| 0.60 | 217.08 | 340.30 | 557.42 | 839.85 | ||
| 0.62 | 0.60 | 145.18 | 216.76 | 1954.63 | 3219.21 | |
| 0.75 | 0.73 | 0.71 | 1613.45 | 2611.64 | 2629.02 | 3764.97 |
| 0.69 | 1581.68 | 2604.00 | 1655.21 | 2624.67 | ||
| 0.67 | 1581.44 | 2604.00 | 1582.89 | 2604.04 | ||
| 0.65 | 1581.44 | 2604.00 | 1581.44 | 2604.04 | ||
| 0.71 | 0.69 | 454.55 | 699.19 | 1777.27 | 2852.62 | |
| 0.67 | 414.76 | 669.98 | 686.43 | 982.84 | ||
| 0.65 | 407.07 | 667.89 | 489.97 | 726.02 | ||
| 0.69 | 0.67 | 221.76 | 334.07 | 1788.56 | 2944.68 | |
| 0.65 | 198.55 | 310.81 | 519.16 | 784.60 | ||
| 0.67 | 0.65 | 133.61 | 199.33 | 1843.89 | 3036.62 | |
| 0.80 | 0.78 | 0.76 | 1392.65 | 2252.74 | 2289.08 | 3278.39 |
| 0.74 | 1364.43 | 2245.86 | 1433.42 | 2266.36 | ||
| 0.72 | 1364.19 | 2245.86 | 1365.80 | 2245.87 | ||
| 0.70 | 1364.19 | 2245.86 | 1364.20 | 2245.83 | ||
| 0.76 | 0.74 | 396.85 | 609.81 | 1583.07 | 2545.90 | |
| 0.72 | 362.02 | 583.90 | 608.25 | 871.04 | ||
| 0.70 | 355.04 | 581.93 | 432.59 | 638.40 | ||
| 0.74 | 0.72 | 195.56 | 294.27 | 1620.30 | 2667.54 | |
| 0.70 | 175.26 | 273.73 | 468.98 | 711.59 | ||
| 0.72 | 0.70 | 118.92 | 177.17 | 1692.14 | 2786.51 | |
| 0.85 | 0.83 | 0.81 | 1130.29 | 1826.26 | 1882.63 | 2696.62 |
| 0.79 | 1106.38 | 1820.23 | 1169.55 | 1840.60 | ||
| 0.77 | 1106.16 | 1820.23 | 1107.97 | 1820.27 | ||
| 0.75 | 1106.16 | 1820.23 | 1106.17 | 1820.21 | ||
| 0.81 | 0.79 | 327.89 | 502.93 | 1346.70 | 2171.55 | |
| 0.77 | 299.04 | 481.06 | 513.51 | 735.66 | ||
| 0.75 | 292.95 | 479.23 | 363.40 | 533.21 | ||
| 0.79 | 0.77 | 164.08 | 246.36 | 1411.11 | 2322.86 | |
| 0.75 | 147.26 | 229.15 | 406.99 | 621.01 | ||
| 0.77 | 0.75 | 101.16 | 150.32 | 1499.44 | 2468.84 | |
| 0.90 | 0.88 | 0.86 | 826.68 | 1332.48 | 1409.80 | 2020.11 |
| 0.84 | 807.89 | 1327.43 | 864.20 | 1348.21 | ||
| 0.82 | 807.65 | 1327.43 | 809.95 | 1327.54 | ||
| 0.80 | 807.65 | 1327.43 | 807.68 | 1327.44 | ||
| 0.86 | 0.84 | 247.90 | 378.74 | 1068.62 | 1729.83 | |
| 0.82 | 226.08 | 361.67 | 402.34 | 576.96 | ||
| 0.80 | 221.08 | 360.02 | 282.57 | 410.88 | ||
| 0.84 | 0.82 | 127.47 | 190.49 | 1161.09 | 1910.72 | |
| 0.80 | 114.75 | 177.23 | 333.38 | 513.22 | ||
| 0.82 | 0.80 | 80.47 | 118.88 | 1265.86 | 2083.68 | |
| 0.95 | 0.93 | 0.91 | 483.28 | 772.65 | 871.34 | 1250.66 |
| 0.89 | 470.42 | 768.70 | 519.46 | 792.41 | ||
| 0.87 | 470.14 | 768.70 | 473.95 | 769.05 | ||
| 0.85 | 470.14 | 768.70 | 470.30 | 768.71 | ||
| 0.91 | 0.89 | 157.67 | 237.94 | 750.24 | 1221.58 | |
| 0.87 | 144.03 | 226.58 | 275.11 | 395.94 | ||
| 0.85 | 140.40 | 225.14 | 190.66 | 272.57 | ||
| 0.89 | 0.87 | 86.30 | 127.11 | 870.56 | 1431.34 | |
| 0.85 | 78.26 | 118.47 | 248.82 | 389.35 | ||
| 0.87 | 0.85 | 57.24 | 83.18 | 991.57 | 1631.15 | |


| 选优结果 置信度 | 排序结果 置信度 | |||||||||||||
| 300 | 500 | 1000 | 3000 | 300 | 500 | 1000 | 3000 | |||||||
| 0.70 | 0.68 | 0.66 | 0.64 | 0.48 | 0.63 | 0.71 | 0.82 | 0.95 | 0.15 | 0.28 | 0.38 | 0.55 | 0.86 | |
| 0.62 | 0.50 | 0.64 | 0.72 | 0.82 | 0.95 | 0.20 | 0.37 | 0.48 | 0.66 | 0.90 | ||||
| 0.60 | 0.51 | 0.64 | 0.72 | 0.82 | 0.95 | 0.24 | 0.42 | 0.52 | 0.68 | 0.91 | ||||
| 0.64 | 0.62 | 0.54 | 0.68 | 0.75 | 0.83 | 0.95 | 0.21 | 0.39 | 0.50 | 0.66 | 0.90 | |||
| 0.60 | 0.55 | 0.68 | 0.75 | 0.83 | 0.95 | 0.27 | 0.48 | 0.61 | 0.78 | 0.95 | ||||
| 0.66 | 0.64 | 0.62 | 0.61 | 0.82 | 0.90 | 0.97 | 1.00 | 0.19 | 0.36 | 0.47 | 0.65 | 0.90 | ||
| 0.60 | 0.63 | 0.82 | 0.90 | 0.97 | 1.00 | 0.25 | 0.47 | 0.60 | 0.77 | 0.95 | ||||
| 0.62 | 0.60 | 0.66 | 0.84 | 0.91 | 0.97 | 1.00 | 0.26 | 0.47 | 0.60 | 0.77 | 0.94 | |||
| 0.64 | 0.62 | 0.60 | 0.73 | 0.93 | 0.98 | 1.00 | 1.00 | 0.23 | 0.41 | 0.51 | 0.66 | 0.89 | ||
| 0.75 | 0.73 | 0.71 | 0.69 | 0.49 | 0.65 | 0.73 | 0.84 | 0.96 | 0.16 | 0.30 | 0.40 | 0.58 | 0.88 | |
| 0.67 | 0.51 | 0.66 | 0.73 | 0.84 | 0.96 | 0.21 | 0.39 | 0.50 | 0.68 | 0.92 | ||||
| 0.65 | 0.52 | 0.66 | 0.73 | 0.84 | 0.96 | 0.25 | 0.44 | 0.54 | 0.70 | 0.92 | ||||
| 0.69 | 0.67 | 0.55 | 0.69 | 0.76 | 0.85 | 0.96 | 0.22 | 0.40 | 0.52 | 0.68 | 0.91 | |||
| 0.65 | 0.56 | 0.70 | 0.76 | 0.85 | 0.96 | 0.28 | 0.50 | 0.63 | 0.80 | 0.96 | ||||
| 0.71 | 0.69 | 0.67 | 0.63 | 0.83 | 0.91 | 0.98 | 1.00 | 0.20 | 0.38 | 0.49 | 0.67 | 0.91 | ||
| 0.65 | 0.64 | 0.84 | 0.91 | 0.98 | 1.00 | 0.26 | 0.49 | 0.62 | 0.79 | 0.95 | ||||
| 0.67 | 0.65 | 0.68 | 0.86 | 0.92 | 0.98 | 1.00 | 0.27 | 0.49 | 0.62 | 0.79 | 0.95 | |||
| 0.69 | 0.67 | 0.65 | 0.75 | 0.94 | 0.98 | 1.00 | 1.00 | 0.24 | 0.42 | 0.52 | 0.68 | 0.90 | ||
| 0.80 | 0.78 | 0.76 | 0.74 | 0.51 | 0.67 | 0.75 | 0.86 | 0.97 | 0.17 | 0.32 | 0.43 | 0.62 | 0.90 | |
| 0.72 | 0.53 | 0.68 | 0.75 | 0.86 | 0.97 | 0.23 | 0.41 | 0.54 | 0.72 | 0.94 | ||||
| 0.70 | 0.54 | 0.68 | 0.76 | 0.86 | 0.97 | 0.27 | 0.46 | 0.57 | 0.73 | 0.94 | ||||
| 0.74 | 0.72 | 0.57 | 0.71 | 0.78 | 0.86 | 0.97 | 0.24 | 0.43 | 0.55 | 0.71 | 0.93 | |||
| 0.70 | 0.58 | 0.71 | 0.78 | 0.86 | 0.97 | 0.30 | 0.53 | 0.67 | 0.83 | 0.97 | ||||
| 0.76 | 0.74 | 0.72 | 0.65 | 0.86 | 0.93 | 0.98 | 1.00 | 0.22 | 0.40 | 0.52 | 0.70 | 0.92 | ||
| 0.70 | 0.67 | 0.86 | 0.93 | 0.98 | 1.00 | 0.28 | 0.52 | 0.65 | 0.82 | 0.96 | ||||
| 0.72 | 0.70 | 0.70 | 0.88 | 0.94 | 0.98 | 1.00 | 0.29 | 0.52 | 0.65 | 0.81 | 0.96 | |||
| 0.74 | 0.72 | 0.70 | 0.77 | 0.95 | 0.99 | 1.00 | 1.00 | 0.25 | 0.44 | 0.54 | 0.70 | 0.92 | ||
| 0.85 | 0.83 | 0.81 | 0.79 | 0.54 | 0.70 | 0.78 | 0.88 | 0.98 | 0.19 | 0.36 | 0.48 | 0.67 | 0.94 | |
| 0.77 | 0.55 | 0.71 | 0.79 | 0.88 | 0.98 | 0.25 | 0.46 | 0.58 | 0.77 | 0.96 | ||||
| 0.75 | 0.56 | 0.71 | 0.79 | 0.88 | 0.98 | 0.29 | 0.50 | 0.62 | 0.78 | 0.96 | ||||
| 0.79 | 0.77 | 0.59 | 0.74 | 0.80 | 0.89 | 0.98 | 0.26 | 0.47 | 0.59 | 0.75 | 0.95 | |||
| 0.75 | 0.60 | 0.74 | 0.80 | 0.89 | 0.98 | 0.33 | 0.58 | 0.71 | 0.86 | 0.98 | ||||
| 0.81 | 0.79 | 0.77 | 0.69 | 0.89 | 0.95 | 0.99 | 1.00 | 0.24 | 0.44 | 0.56 | 0.73 | 0.94 | ||
| 0.75 | 0.70 | 0.89 | 0.95 | 0.99 | 1.00 | 0.31 | 0.56 | 0.69 | 0.85 | 0.97 | ||||
| 0.77 | 0.75 | 0.73 | 0.90 | 0.95 | 0.99 | 1.00 | 0.31 | 0.56 | 0.68 | 0.83 | 0.97 | |||
| 0.79 | 0.77 | 0.75 | 0.81 | 0.97 | 0.99 | 1.00 | 1.00 | 0.27 | 0.47 | 0.57 | 0.73 | 0.94 | ||
| 0.90 | 0.88 | 0.86 | 0.84 | 0.58 | 0.75 | 0.83 | 0.92 | 0.99 | 0.22 | 0.42 | 0.55 | 0.75 | 0.97 | |
| 0.82 | 0.59 | 0.75 | 0.83 | 0.92 | 0.99 | 0.29 | 0.52 | 0.66 | 0.83 | 0.98 | ||||
| 0.80 | 0.59 | 0.75 | 0.83 | 0.92 | 0.99 | 0.33 | 0.56 | 0.68 | 0.84 | 0.98 | ||||
| 0.84 | 0.82 | 0.63 | 0.78 | 0.84 | 0.92 | 0.99 | 0.30 | 0.52 | 0.65 | 0.81 | 0.97 | |||
| 0.80 | 0.64 | 0.78 | 0.84 | 0.92 | 0.99 | 0.37 | 0.64 | 0.77 | 0.91 | 0.99 | ||||
| 0.86 | 0.84 | 0.82 | 0.74 | 0.92 | 0.97 | 1.00 | 1.00 | 0.27 | 0.49 | 0.62 | 0.78 | 0.97 | ||
| 0.80 | 0.75 | 0.92 | 0.97 | 1.00 | 1.00 | 0.35 | 0.62 | 0.75 | 0.88 | 0.98 | ||||
| 0.82 | 0.80 | 0.78 | 0.93 | 0.97 | 1.00 | 1.00 | 0.35 | 0.61 | 0.73 | 0.86 | 0.98 | |||
| 0.84 | 0.82 | 0.80 | 0.85 | 0.98 | 1.00 | 1.00 | 1.00 | 0.30 | 0.51 | 0.61 | 0.77 | 0.96 | ||
| 0.95 | 0.93 | 0.91 | 0.89 | 0.65 | 0.83 | 0.90 | 0.97 | 1.00 | 0.28 | 0.53 | 0.67 | 0.86 | 0.99 | |
| 0.87 | 0.66 | 0.83 | 0.90 | 0.97 | 1.00 | 0.36 | 0.64 | 0.78 | 0.92 | 1.00 | ||||
| 0.85 | 0.66 | 0.83 | 0.90 | 0.97 | 1.00 | 0.41 | 0.67 | 0.79 | 0.92 | 1.00 | ||||
| 0.89 | 0.87 | 0.69 | 0.84 | 0.91 | 0.97 | 1.00 | 0.37 | 0.62 | 0.75 | 0.89 | 0.99 | |||
| 0.85 | 0.70 | 0.84 | 0.91 | 0.97 | 1.00 | 0.45 | 0.75 | 0.87 | 0.97 | 1.00 | ||||
| 0.91 | 0.89 | 0.87 | 0.82 | 0.97 | 0.99 | 1.00 | 1.00 | 0.33 | 0.57 | 0.70 | 0.85 | 0.99 | ||
| 0.85 | 0.82 | 0.97 | 0.99 | 1.00 | 1.00 | 0.42 | 0.71 | 0.82 | 0.93 | 1.00 | ||||
| 0.87 | 0.85 | 0.85 | 0.97 | 0.99 | 1.00 | 1.00 | 0.42 | 0.69 | 0.79 | 0.90 | 0.99 | |||
| 0.89 | 0.87 | 0.85 | 0.92 | 1.00 | 1.00 | 1.00 | 1.00 | 0.35 | 0.56 | 0.67 | 0.82 | 0.98 | ||
| 选优结果置信度 | 排序结果置信度 | |||||||
| 0.90 | 0.95 | 0.90 | 0.95 | |||||
| 0.70 | 0.68 | 0.66 | 0.64 | 1792.71 | 2902.88 | 3653.93 | 4970.61 | |
| 0.62 | 1792.55 | 2902.88 | 2914.08 | 4158.83 | ||||
| 0.60 | 1792.55 | 2902.88 | 2902.36 | 4156.26 | ||||
| 0.64 | 0.62 | 1758.00 | 2894.66 | 2987.08 | 4273.43 | |||
| 0.60 | 1758.00 | 2894.66 | 1907.94 | 2940.48 | ||||
| 0.66 | 0.64 | 0.62 | 505.69 | 772.43 | 3079.46 | 4401.72 | ||
| 0.60 | 501.26 | 771.04 | 1995.59 | 3111.17 | ||||
| 0.62 | 0.60 | 457.95 | 739.27 | 2063.58 | 3243.56 | |||
| 0.64 | 0.62 | 0.60 | 249.86 | 369.66 | 3142.33 | 4499.92 | ||
| 0.75 | 0.73 | 0.71 | 0.69 | 1613.61 | 2611.64 | 3331.76 | 4533.05 | |
| 0.67 | 1613.45 | 2611.64 | 2641.13 | 3767.79 | ||||
| 0.65 | 1613.45 | 2611.64 | 2629.03 | 3764.99 | ||||
| 0.69 | 0.67 | 1581.68 | 2604.00 | 2739.90 | 3921.69 | |||
| 0.65 | 1581.68 | 2604.00 | 1729.94 | 2652.64 | ||||
| 0.71 | 0.69 | 0.67 | 459.07 | 700.56 | 2858.15 | 4086.46 | ||
| 0.65 | 454.91 | 699.23 | 1842.82 | 2872.57 | ||||
| 0.67 | 0.65 | 415.54 | 670.04 | 1937.36 | 3056.29 | |||
| 0.69 | 0.67 | 0.65 | 228.54 | 337.81 | 2948.99 | 4223.14 | ||
| 0.80 | 0.78 | 0.76 | 0.74 | 1392.81 | 2252.74 | 2927.07 | 3983.62 | |
| 0.72 | 1392.65 | 2252.74 | 2301.58 | 3281.44 | ||||
| 0.70 | 1392.65 | 2252.74 | 2289.12 | 3278.39 | ||||
| 0.74 | 0.72 | 1364.43 | 2245.86 | 2425.88 | 3475.37 | |||
| 0.70 | 1364.43 | 2245.86 | 1508.86 | 2297.66 | ||||
| 0.76 | 0.74 | 0.72 | 400.99 | 611.11 | 2570.13 | 3675.87 | ||
| 0.70 | 397.21 | 609.85 | 1646.59 | 2565.94 | ||||
| 0.72 | 0.70 | 362.79 | 583.97 | 1768.02 | 2801.34 | |||
| 0.74 | 0.72 | 0.70 | 201.71 | 297.72 | 2689.00 | 3850.92 | ||
| 0.85 | 0.83 | 0.81 | 0.79 | 1130.45 | 1826.26 | 2440.08 | 3322.87 | |
| 0.77 | 1130.29 | 1826.26 | 1895.62 | 2700.12 | ||||
| 0.75 | 1130.29 | 1826.26 | 1882.68 | 2696.62 | ||||
| 0.79 | 0.77 | 1106.38 | 1820.23 | 2045.07 | 2935.35 | |||
| 0.75 | 1106.38 | 1820.23 | 1245.22 | 1876.70 | ||||
| 0.81 | 0.79 | 0.77 | 331.56 | 504.13 | 2215.49 | 3169.92 | ||
| 0.75 | 328.25 | 502.97 | 1407.18 | 2191.53 | ||||
| 0.77 | 0.75 | 299.78 | 481.13 | 1556.03 | 2478.83 | |||
| 0.79 | 0.77 | 0.75 | 169.43 | 249.45 | 2362.40 | 3383.35 | ||
| 0.90 | 0.88 | 0.86 | 0.84 | 826.86 | 1332.51 | 1871.18 | 2552.18 | |
| 0.82 | 826.70 | 1332.48 | 1423.88 | 2024.54 | ||||
| 0.80 | 826.68 | 1332.48 | 1409.89 | 2020.11 | ||||
| 0.84 | 0.82 | 807.89 | 1327.43 | 1597.54 | 2303.77 | |||
| 0.80 | 807.89 | 1327.43 | 940.07 | 1392.45 | ||||
| 0.86 | 0.84 | 0.82 | 250.97 | 379.83 | 1794.46 | 2568.96 | ||
| 0.80 | 248.24 | 378.79 | 1125.27 | 1749.91 | ||||
| 0.82 | 0.80 | 226.79 | 361.76 | 1302.44 | 2089.38 | |||
| 0.84 | 0.82 | 0.80 | 131.86 | 193.12 | 1969.24 | 2820.56 | ||
| 0.95 | 0.93 | 0.91 | 0.89 | 483.46 | 772.65 | 1222.21 | 1676.78 | |
| 0.87 | 483.28 | 772.65 | 888.62 | 1257.83 | ||||
| 0.85 | 483.28 | 772.65 | 871.61 | 1250.69 | ||||
| 0.89 | 0.87 | 470.42 | 768.70 | 1084.22 | 1589.48 | |||
| 0.85 | 470.42 | 768.70 | 596.15 | 853.68 | ||||
| 0.91 | 0.89 | 0.87 | 160.03 | 238.90 | 1307.52 | 1873.58 | ||
| 0.85 | 158.02 | 238.01 | 802.71 | 1242.49 | ||||
| 0.87 | 0.85 | 144.71 | 226.70 | 1009.65 | 1633.51 | |||
| 0.89 | 0.87 | 0.85 | 89.49 | 129.17 | 1509.65 | 2162.97 | ||
| 单次比较法 | 序贯比较法 | |||||
| 方法 1 点估计值比较法 | 方法 2 区间估计值比较法 [4] | 方法 3 区间差值法 [5] | 方法 4R&S 法 [6] | 方法 5Wald 序贯检验法 [7] | 方法 6Wald MSRB 法 [8] | |
| 基本原理 | 点估计值排序 | 以不交叠的置信区间排序 | 对识别率的差值做假设检验 | 选出识别率最大的算法 | 对 “效率” 比进行假设检验 | 多次 Wald 序贯检验 |
| 适用范围 | 多个算法排序 | 多个算法排序 | 两个算法比较 | 多个算法选优 | 两个算法比较 | 多个算法选优 |
| 优点 | 简单易行 | 得到算法识别率的置信区间 | 统计意义明显 | ① 简单易行 ② 统计意义明显 |
① 实际使用测试样本可能减少 ② 可设置两类错误容限 |
|
| 局限性 | 无法度量比较结果的不确定程度 | 置信区间存在交叠时无法有效排序 | ① 只能进行多次两两比较 ② 只能得到比较结果的显著性水平 |
① 只能选出最优的算法 ② 只能得到结论的显著性水平 |
① 只能进行多次两两比较 ② 只能预测样本容量的均值 |
① 只能选出最优的算法 ② 不能确定实际所需样本数 |
| [0.68,0.74] | [0.65,0.73] | [0.56,0.65] | [4.79,5.49] | 39 | |
| [0.69,0.74] | [0.63,0.71] | [0.55,0.64] | [1.32,2.01] | 12 | |
| [0.64,0.70] | [0.57,0.65] | [0.51,0.59] | [3.05,3.74] | 48 |
| betapdf( ; 56,16) | betapdf( ; 38,24) | [4.13,4.83] | 23045 | |
| betapdf( ; 51,21) | betapdf( ; 42,20) | [4.79,5.49] | 38740 | |
| betapdf( ; 52,20) | betapdf( ; 40,22) | [1.32,2.01] | 12088 | |
| betapdf( ; 50,22) | betapdf( ; 46,16) | [2.46,3.15] | 30742 | |
| betapdf( ; 58,14) | betapdf( ; 45,17) | [4.87,5.57] | 39567 | |
| betapdf( ; 48,24) | betapdf( ; 37,25) | [3.05,3.74] | 46112 |
| 4 | 1 | 2 | 4 | |
| 2 | 3 | 1 | 2 | |
| 3 | 2 | 5 | 5 | |
| 1 | 5 | 4 | 3 | |
| 5 | 4 | 0 | 1 | |
| 0 | 0 | 3 | 0 |
| 评估指标 | ATR 系统 | |||||
| [0.30,0.45] | [0.40,0.45] | [0.60,0.70] | [0.15,0.25] | [0.30,0.40] | [0.45,0.50] | |
| [0.25,0.45] | [0.35,0.50] | [0.45,0.55] | [0.40,0.45] | [0.20,0.25] | [0.65,0.70] | |
| [0.15,0.25] | [0.60,0.70] | [0.45,0.55] | [0.35,0.40] | [0.05,0.10] | [0.80,0.85] | |
| [0.50,0.60] | [0.35,0.40] | [0.15,0.35] | [0.55,0.60] | [0.45,0.65] | [0.25,0.30] | |
| [0.35,0.55] | [0.25,0.40] | [0.05,0.10] | [0.80,0.85] | [0.15,0.25] | [0.60,0.70] | |
| [0.65,0.70] | [0.15,0.25] | [0.30,0.40] | [0.35,0.55] | [0.55,0.70] | [0.15,0.20] | |
| 指标权重 | 评估指标 | |||||
| 主观权重 | 0.183 | 0.212 | 0.145 | 0.191 | 0.108 | 0.161 |
| 熵权重 | 0.135 | 0.134 | 0.200 | 0.157 | 0.199 | 0.175 |
| 组合权重 | 0.160 | 0.171 | 0.173 | 0.176 | 0.149 | 0.171 |
| ATR 系统 | 距离 | 灰色关联度 | ||
| 0.090 | 0.094 | 0.780 | 0.574 | |
| 0.098 | 0.087 | 0.745 | 0.632 | |
| 0.107 | 0.083 | 0.727 | 0.680 | |
| ATR 系统 | 距离 | 灰色关联度 | ||
| 0.841 | 1.000 | 1.000 | 0.844 | |
| 0.920 | 0.930 | 0.955 | 0.929 | |
| 1.000 | 0.883 | 0.932 | 1.000 | |
| ATR 系统 | 排序 | |||
| 1.000 | 0.843 | 0.543 | 1 | |
| 0.943 | 0.925 | 0.505 | 2 | |
| 0.908 | 1.000 | 0.476 | 3 |

| 带宽/MHz | 系统编号 | 效率值 | 评估指标值 | ||
| 代价指标 | 性能指标 | ||||
| 60 | 9
12 |
1 1 |
1 1 |
=(945, 1150, 1150) =(1215, 1150, 1240) |
=(0.46, 0.43) =(0.52, 0.53) |
| 120 | 9
10 11 12 |
1 1 1 1 |
1 1 1 1 |
=(2570, 2800, 2800) =(5150, 5000, 5200) =(4100, 4000, 4150) =(2840, 2800, 2890) |
=(0.53, 0.47) =(0.72, 0.64) =(0.71, 0.64) =(0.70, 0.63) |
| 180 | 6
10 11 12 |
1 1 1 1 |
1 1 1 1 |
=(4350, 4500, 4500) =(8375, 8250, 8450) =(6825, 6750, 6900) =(4965, 4950, 5040) |
=(0.61, 0.57) =(0.75, 0.70) =(0.73, 0.69) =(0.72, 0.68) |
| 240 | 6
11 12 |
1 1 1 |
1 1 1 |
=(5850, 6000, 6000) =(10050, 10000, 10150) =(7590, 7600, 7690) |
=(0.64, 0.60) =(0.78, 0.73) =(0.76, 0.71) |
| 300 | 6
10 11 12 |
1 1 0.95 1 |
1 1 0.998 1 |
=(7350, 7500, 7500) =(16325, 16250, 16450) =(13775, 13750, 13900) =(10715, 10750, 10840) |
=(0.66, 0.59) =(0.77, 0.72) =(0.77, 0.72) =(0.75, 0.72) |
| 360 | 6
10 11 12 15 |
1 1 0.95 1 0.97 |
1 1 0.998 1 0.99 |
=(8850, 9000, 9000) =(21050, 21000, 21200) =(18000, 18000, 18150) =(14340, 14400, 14490) =(10620, 10860, 14896) |
=(0.70, 0.61) =(0.79, 0.73) =(0.79, 0.72) =(0.77, 0.72) =(0.78, 0.66) |
| 420 | 6
11 12 15 |
1 1 1 1 |
1 1 1 1 |
=(10350, 10500, 10500) =(22725, 22750, 22900) =(18465, 18550, 18640) =(12420, 12670, 16696) |
=(0.73, 0.62) =(0.82, 0.75) =(0.81, 0.73) =(0.81, 0.70) |
| 480 | 6
12 13 14 15 |
1 0.92 1 0.94 1 |
1 0.995 1 0.997 1 |
=(11850, 12000, 12000) =(23090, 23200, 23290) =(23700, 24080, 28096) =(17775, 18080, 22096) =(14220, 14480, 18496) |
=(0.77, 0.65) =(0.81, 0.73) =(0.86, 0.72) =(0.85, 0.71) =(0.84, 0.70) |
| ATR 系统编号 | 带宽变化/MHz | ||||||
| 60 120 | 120 180 | 180 240 | 240 300 | 300 360 | 360 420 | 420 480 | |
| 1 | 1.2494 | 1.0717 | 1.0416 | 0.9966 | 1.0128 | 1.0256 | 0.9866 |
| 2 | 1.2494 | 1.0717 | 1.0416 | 0.9966 | 1.0128 | 1.0256 | 0.9866 |
| 3 | 1.2494 | 1.0717 | 1.0416 | 0.9966 | 1.0128 | 1.0256 | 0.9866 |
| 4 | 1.2494 | 1.0717 | 1.0416 | 0.9966 | 1.0128 | 1.0256 | 0.9866 |
| 5 | 1.2433 | 1.0561 | 1.0306 | 0.9829 | 0.9756 | 1.0008 | 0.9883 |
| 6 | 1.2274 | 0.8809 | 0.8723 | 0.8582 | 0.9520 | 0.9807 | 1.0073 |
| 7 | 1.2494 | 1.0717 | 1.0416 | 0.9966 | 1.0128 | 1.0256 | 0.9866 |
| 8 | 1.2382 | 1.0558 | 1.0398 | 0.9894 | 1.0032 | 1.0248 | 0.9866 |
| 9 | 0.9151 | 1.0065 | 1.0144 | 0.9765 | 0.9954 | 1.0153 | 0.9794 |
| 10 | 1.2494 | 1.0717 | 1.0416 | 0.9966 | 1.0128 | 1.0256 | 0.9866 |
| 11 | 1.2403 | 1.0577 | 1.0416 | 0.9899 | 1.0037 | 1.0256 | 0.9866 |
| 12 | 1.2262 | 1.0397 | 1.0246 | 0.9818 | 0.9980 | 1.0159 | 0.9797 |
| 13 | 1.2494 | 1.0717 | 1.0416 | 0.9966 | 1.0094 | 1.0256 | 0.9866 |
| 14 | 1.2494 | 1.0717 | 1.0416 | 0.9883 | 0.9983 | 1.0116 | 0.9827 |
| 15 | 1.2494 | 1.0629 | 1.0332 | 0.9824 | 0.9614 | 0.9951 | 0.9968 |
| 16 | 1.2494 | 1.0717 | 1.0416 | 0.9966 | 1.0128 | 1.0256 | 0.9866 |
| 17 | 1.2494 | 1.0717 | 1.0416 | 0.9966 | 1.0100 | 1.0256 | 0.9866 |
| 18 | 1.2494 | 1.0639 | 1.0343 | 0.9827 | 0.9639 | 0.9957 | 0.9961 |
| 平均值 | 1.2269 | 1.0522 | 1.0282 | 0.9834 | 0.9978 | 1.0164 | 0.9879 |
| ATR 系统编号 | 带宽变化/MHz | ||||||
| 60 120 | 120 180 | 180 240 | 240 300 | 300 360 | 360 420 | 420 480 | |
| 1 | 0.9418 | 1.0269 | 1.0222 | 1.0145 | 1.0183 | 1.025 | 1.0226 |
| 2 | 0.9029 | 1.0671 | 0.9945 | 1.0217 | 1.0297 | 1.0393 | 0.9987 |
| 3 | 0.9052 | 1.0212 | 1.0234 | 1.0316 | 1.0365 | 1.0083 | 1.0238 |
| 4 | 0.9310 | 1.0455 | 1.0426 | 1.011 | 1.0335 | 0.9903 | 1.0176 |
| 5 | 0.8787 | 1.0977 | 1.0407 | 1.0056 | 1.0635 | 1.0093 | 1.0113 |
| 6 | 0.8964 | 1.2936 | 1 | 1 | 1 | 1 | 1 |
| 7 | 0.9634 | 1.0262 | 1.0317 | 1.0115 | 1.026 | 0.988 | 1.0495 |
| 8 | 0.9278 | 1.0681 | 1.0105 | 0.9915 | 1.0326 | 1.0011 | 1.0427 |
| 9 | 1 | 0.8888 | 0.9583 | 1.0053 | 1.032 | 0.9891 | 1.0233 |
| 10 | 1.0433 | 1 | 0.9933 | 1.0068 | 1 | 0.995 | 0.9985 |
| 11 | 1.0181 | 1 | 1 | 0.9980 | 0.9996 | 1.0024 | 0.9958 |
| 12 | 1 | 1 | 1 | 1 | 1 | 1 | 0.9953 |
| 13 | 0.9553 | 1.0216 | 1.0565 | 1.0072 | 1.0446 | 1.0359 | 1.0421 |
| 14 | 0.8908 | 1.0500 | 1.0885 | 0.9957 | 1.0593 | 1.0289 | 1.0247 |
| 15 | 0.9356 | 1.069 | 1.0583 | 1.0121 | 1.1143 | 1.011 | 1 |
| 16 | 0.9177 | 0.9745 | 1.0952 | 0.9691 | 1.0296 | 0.9347 | 1.0201 |
| 17 | 0.9525 | 0.9776 | 1.0258 | 0.9623 | 1.0739 | 0.9341 | 0.9858 |
| 18 | 0.9243 | 0.9819 | 1.0258 | 0.9894 | 1.0867 | 0.9629 | 0.9743 |
| 平均值 | 0.9436 | 1.0339 | 1.026 | 1.0018 | 1.0378 | 0.9975 | 1.0126 |
| ATR 系统编号 | Malmquist 指数 | 技术变化指数 | 效率变化指数 |
| 1 | 1.0499 | 1.0432 | 1.0064 |
| 2 | 1.0473 | 1.0432 | 1.0039 |
| 3 | 1.0466 | 1.0432 | 1.0033 |
| 4 | 1.0488 | 1.0424 | 1.0061 |
| 5 | 1.039 | 1.0277 | 1.011 |
| 6 | 0.9783 | 0.9624 | 1.0166 |
| 7 | 1.0502 | 1.0432 | 1.0067 |
| 8 | 1.0422 | 1.0381 | 1.0039 |
| 9 | 0.9730 | 0.9906 | 0.9823 |
| 10 | 1.0477 | 1.0432 | 1.0044 |
| 11 | 1.041 | 1.039 | 1.002 |
| 12 | 1.0268 | 1.0292 | 0.9977 |
| 13 | 1.0557 | 1.0413 | 1.0138 |
| 14 | 1.0516 | 1.0368 | 1.0143 |
| 15 | 1.0486 | 1.027 | 1.0211 |
| 16 | 1.0371 | 1.0432 | 0.9942 |
| 17 | 1.0375 | 1.0414 | 0.9962 |
| 18 | 1.0315 | 1.0276 | 1.0038 |
| 平均值 | 1.0363 | 1.0312 | 1.0049 |
| 样本 | ||||||||||
| 1 | 0.21 | 0.576 | 0.26 | 0.53 | 0.67 | 0.563 | 0.762 | 0.53 | 0.152 | 0.47 |
| 2 | 0.16 | 0.659 | 0.24 | 0.32 | 0.84 | 0.432 | 0.363 | 0.54 | 0.154 | 0.43 |
| 3 | 0.14 | 0.631 | 0.23 | 0.71 | 0.88 | 0.478 | 0.766 | 0.91 | 0.158 | 0.53 |
| 48 | 0.11 | 0.721 | 0.27 | 0.61 | 0.106 | 0.828 | 0.566 | 0.59 | 0.158 | 0.4502 |
| 49 | 0.32 | 0.734 | 0.26 | 0.53 | 0.54 | 0.789 | 0.681 | 0.51 | 0.184 | 0.4931 |
| 50 | 0.22 | 0.614 | 0.24 | 0.51 | 0.51 | 0.904 | 0.798 | 0.52 | 0.096 | 0.4901 |
| 参数寻优方法 | 适应度值 | 惩罚因子 | 核函数参数 |
| CAGWO | 3.39 10 | 10.16 | 0.01 |
| 样本 | 评估值 | 预测值 | 训练误差 |
| 36 | 0.4701 | 0.4719 | 0.38% |
| 37 | 0.4608 | 0.4660 | 1.12% |
| 38 | 0.4892 | 0.4947 | 1.13% |
| 39 | 0.4993 | 0.4893 | 2.00% |
| 40 | 0.4901 | 0.4887 | 0.28% |
| 41 | 0.4803 | 0.4702 | 2.10% |
| 42 | 0.4605 | 0.4598 | 0.14% |
| 43 | 0.4708 | 0.4642 | 1.41% |
| 44 | 0.4784 | 0.4778 | 0.12% |
| 45 | 0.4912 | 0.4880 | 0.64% |
| 46 | 0.4952 | 0.4917 | 0.72% |
| 47 | 0.5104 | 0.5026 | 1.52% |
| 48 | 0.4502 | 0.4580 | 1.73% |
| 49 | 0.4931 | 0.4892 | 0.79% |
| 50 | 0.4901 | 0.4838 | 1.28% |
| (1) | (0) | |
| (1) | (1) | (0) |
| (0) | (0) | (0) |
| (0) | (0.1) | (0.9) | |
| (0.9) | (0) | (0.09) | (0.81) |
| (0.1) | (0) | (0.01) | (0.09) |
| (0) | (0) | (0) | (0) |
| 评估项 | 评估专家 | ||||
| 专家 I | 专家 II | 专家 III | 专家 IV | 专家 V | |
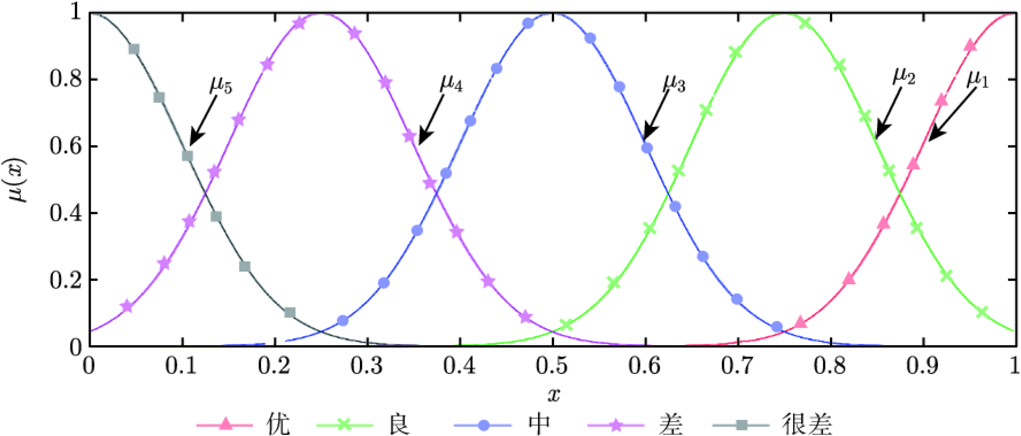
| 模糊评语 | 良 | 中 | 优 | 中 | 良 |
| 量化值 | 0.7 | 0.5 | 0.9 | 0.5 | 0.7 |
| 不确定度 | 0.15 | 0.2 | 0.1 | 0.15 | 0.1 |
| 评估专家 | 信任等级 | ||||
| 优 | 良 | 中 | 差 | 很差 | |
| 专家 I | 0.0900 | 0.6292 | 0.2734 | 0.0074 | 0 |
| 专家 II | 0.0219 | 0.2285 | 0.4991 | 0.2285 | 0.0219 |
| 专家 III | 0.6511 | 0.3485 | 0.0004 | 0 | 0 |
| 专家 IV | 0.0026 | 0.1655 | 0.6638 | 0.1655 | 0.0026 |
| 专家 V | 0.0108 | 0.8576 | 0.1315 | 0 | 0 |